TruthArchive.ai - Tweets Saved By @1stacyphillips

Saved - May 16, 2024 at 2:13 AM
reSee.it AI Summary
The Wuhan Institute of Virology, Bat Lady, gain-of-function experiments, and funding from Peter Daszak's EcoHealth Alliance and NIAID are consistently mentioned in posts before 2019. The research involving Bat Lady and Ralph S. Baric in 2015 was funded by USAID's PREDICT program through EcoHealth Alliance. There were corrections made to studies in 2015 and 2020, including the failure to upload the genetic sequence of a man-made gain-of-function SARS-like Corona Chimera. Ralph Baric's 2016 G.O.F. study, funded by NIAID, involved the use of bat CoV sequences to infect "humanized mice." Concerns are raised about the potential of accidental or intentional release of lab-made chimeric viruses causing a pandemic. Dr. Francis A. Boyle, drafter of the 1989 BioWeapon Treaty Act, connected the dots and believes the virus is a super-bioweapon. Moderna's early patent submission for the Covid-19 vaccine in 2019 raises questions, as does the lawsuit filed by the NIH against Moderna. The involvement of Hunter Biden in Ukrainian biowarfare labs is mentioned. The development and testing timeline of the mRNA-1273 vaccine by Moderna is questioned, along with the sponsorship by the Chan/Zuckerberg Initiative. Mark Zuckerberg's alleged censorship of vaccine dangers and natural immunity is also brought up.

@1stacyphillips - Stacy Phillips

Why is it that every time I see anything before 2019 involving the Wuhan Institute of Virology, Bat Lady & gain-of-function experiments w/ Sars-like Corona viruses, Peter Daszak's EcoHealth Alliance & NIAID are named as funding the work? There's this one: https://www.ncbi.nlm.nih.gov/pmc/articles/PMC4936131/

Bat Severe Acute Respiratory Syndrome-Like Coronavirus WIV1 Encodes an Extra Accessory Protein, ORFX, Involved in Modulation of the Host Immune Response Bats harbor severe acute respiratory syndrome (SARS)-like coronaviruses (SL-CoVs) from which the causative agent of the 2002-2003 SARS pandemic is thought to have originated. However, despite the fact that a large number of genetically diverse SL-CoV ... ncbi.nlm.nih.gov

@1stacyphillips - Stacy Phillips

And this one from 2015 with Ralph S. Baric which was AMENDED in 2015 to show that Wuhan's top Bat Corona-virus researchers, "Bat Lady" Shi Zhenli-Li, was specifically funded for HER work on THAT research by none other than USAID's PREDICT program via EcoHealth Allliance (Daszak).

@1stacyphillips - Stacy Phillips

Oddly enough, that 2015 study at UNC at Chapel Hill (Ralph Baric & Bat Lady) was yet corrected AGAIN in 2020 when they realized they had FAILED to upload the genetic sequence of their man-made gain-of-function SARS-like Corona Chimera to the Genetic Bank. https://ncbi.nlm.nih.gov/nuccore/MT308984

Mutant SARS coronavirus Urbani clone SARS-Urbani-MA_SHC014-spike, comp - Nucleotide - NCBITwitterFacebookLinkedInGitHubNCBI Insights BlogTwitterFacebookYoutube ncbi.nlm.nih.gov

@1stacyphillips - Stacy Phillips

Ralph Baric's (2016 UNC Chapel Hill) G.O.F. study. Bat Lady not an author but THANKS her for supplying them w/ "WIV1-CoV spike" plasmid & bat CoV sequences to infect "humanized mice" (mice w/ gen-altered lung tissue-more humanlike) with it. NIAID funded. https://pubmed.ncbi.nlm.nih.gov/26976607/

SARS-like WIV1-CoV poised for human emergence - PubMed Outbreaks from zoonotic sources represent a threat to both human disease as well as the global economy. Despite a wealth of metagenomics studies, methods to leverage these datasets to identify future threats are underdeveloped. In this study, we describe an approach that combines existing metagenomi … pubmed.ncbi.nlm.nih.gov

@1stacyphillips - Stacy Phillips

2008 Bat Lady inserted human ACE2 binding molecules of SARS-CoV into a SARS-like bat coronavirus using an HIV-based pseudovirus system w/ cell lines expressing human ACE2 receptors-creating a chimera which "gained" ability to infect humans. Lab-induced species jump. Huh. Weird.

@1stacyphillips - Stacy Phillips

They should be REALLY careful doing all this gain-of-function research or, God forbid, they could literally CAUSE a pandemic through an accidental or intentional release of any of these lab-made chimeric sars-like bat corona viruses gen-edited to be super-infectious to humans.

@1stacyphillips - Stacy Phillips

In February 2020 I happened upon interview with Dr. Francis A. Boyle, drafter of the 1989 BioWeapon Treaty Act. He found these studies & connected the dots. The virus is a super-Bioweapon. In Dec 2020 he warned the mRNA vaccines were bioweapons too. https://docs.google.com/document/d/19CmtwRSuFe6GLbv2rwjb5G8_y1aQRr_xiB71v9N8gX0/edit?usp=sharing

Page Not Found Web word processing, presentations and spreadsheets docs.google.com

@1stacyphillips - Stacy Phillips

Well gosh it looks like Moderna submitted a patent for approval to start working on the Covid-19 vaccine super-early! Like, Spring of 2019-early. Wait, what? And what's that amendment in Aug 2019, does that say what I think it says? "In case of deliberate release." August 2019?

@1stacyphillips - Stacy Phillips

By November 2021 the NIH had sued Moderna because they left the US government scientists off the vaccine patents. How did Moderna & NIH know the sequence to be able to submit a patent in Spring of 2019 if the virus supposedly came from the wild and was NOT developed in a lab?

@1stacyphillips - Stacy Phillips

WHY? "4 Stages of Ideological Subversion". Watch the first video, you'll see it is describing exactly what is going on right this moment on a global scale. "Demoralization" has occurred. That's why facts don't matter. We are in Destabilization right now. https://bit.ly/TheirUltimateStrategy

Bitly | Page Not Found | 404 bit.ly

@1stacyphillips - Stacy Phillips

I believe many orchestrating "whatever all this is" WANT a globalized centralized technocratic world order either because they are ideologues or because of economic/scientific/academic hubris fueled by greed or ego. Take your pick. Unless humanity wakes up, we're already slaves.

@1stacyphillips - Stacy Phillips

@ERINBROPHY18 - Erin Brophy - don't forget to laugh..

US State Department, NIH, provides millions in funding to Wuhan. In 2018, China asked DARPA for money to create covid. Trump declassified documents that revealed this. They killed millions with a virus funded by the US. Here is Sen Rand Paul:

Video Transcript AI Summary
The speaker raises concerns about US funding for coronavirus research in China, highlighting potential risks of lab leaks and lack of transparency. They question the safety and oversight of such research, citing instances of Chinese researchers requesting funds to create a virus similar to COVID-19. The speaker urges for bipartisan support in obtaining information from the State Department and NIH. They emphasize the need for transparency and accountability in investigating the origins of the pandemic.
Full Transcript
Speaker 0: Mr. Chairman, it's estimated that between, 5,000,000 and 18,000,000 people died from COVID 19 worldwide. To a significant number of scientists, the evidence suggests that this originated from a lab leak in Wuhan. Does the state department fund coronavirus research in China? Speaker 1: Do we fund coronavirus? I don't believe so, but I don't know. I'll double check, and we'll get back to you on that, senator. Speaker 0: The answer is yes. You do. And it's been going on for more than a decade, and it's done through a program called Predict and then the Global Virome. And why is this important is we had a 1000000 Americans die, and we really haven't had any discussion of this. No hearings. Nothing. People are unaware that they're even funding the research. We found out recently through the house unclassified report that money is going from the NIH to American universities to the, the Academy of Military Medical Sciences Research in China. We are subcontracting money and sending it over, but 1,000,000 is coming from the state department. So the idea is this, we will identify all the viruses in the world. We'll be safer because we identified them. But here's the question. Are we safer to have some guy or some woman crawling down a cave 10 hours away from Wuhan, coming up with bat guano, coming up with viruses and bringing it to a city of 15,000,000 like Wuhan. This is what's been going on for a decade. It's a setup for an accident. It's a set up for a mistake. And nobody's doing anything about it. We continue to fund it. The main group that's been getting this money is EcoHealth Alliance. Over a $100,000,000. A lot of it through the state department. They continue to get money. They don't file the reports on time. They didn't stop their experiments, and yet we reward them with more money. 15,000,000,000 people died, and we haven't done a thing about it. Nobody seems to care. We're not even sure we fund it. The State Department's a big funder of this project. It's a multi decade long project, but there are scientists as we speak from Stanford, from MIT, from prestigious universities around the country. These are not partisans. Most of them are not Republicans who stand up and say, oh my god. What are we doing? Bringing these viruses from remote bat caves to major metropolitan areas and with no controls over this. So we've been asking for information from the state department because we wanna know more about this. US Right to Know has been sending FOIA requests for two and a half years and they don't get anything. So, mister chairman, I've sent 2 letters. Some of them are 6 months old now, and we get a, you know, whatever. We're not gonna give you any information. What I would hope for is that we could have people always talk about bipartisanship. Could we not get bipartisan support for records? This is not partisan. We wanna know what the US State Department is funding. NIH resists our our request on their funds. The two things that we know for certain that have led us to believe this came from the lab that are big came because one was leaked and this was a DARPA request. So the Chinese researchers in China wanted from DARPA money to create a virus that, guess what, looks exactly like COVID 19. They asked for it in 2018. We turned them down. Fortunately, we did the right thing for once. We turned them down. That doesn't mean they didn't do the research. And so many scientists had an moment. They saw this and they said, oh my goodness. They asked for money to create something that looks almost exactly what we got. So in nature, you do not have coronaviruses that infect people that have what is called a furin cleavage site. Chinese said give us money where we're gonna stick a furin cleavage site to allow it to infect humans more. We found out that not because you let us know or not because the NIH let us know, they still resist. This is top secret. This is classified. This is a whole problem of classification, but it's also to cover up things. So we don't know anything about the 28 thing, but we had an illegal leak that went to somebody in the media that's now public that said the Chinese wanted to create a virus just like COVID 19 in 2018. The other thing we know is 3 researchers in the Wuhan lab, in the Wuhan Institute of Virology got very sick with flu like symptoms similar to COVID in November. We only know that though because the Trump administration on the way out declassified it. So we have to get overall the classification. We also have to be more forthcoming, and I'm hoping the chairman will consider looking at our request. These are not partisan. We wanna know all the information about funding of research in China. We wanna know the interactions. There were cables going back and forth between the state department saying, holy cow. They're not wearing gloves. They don't wear masks and doing this research. They're doing it in what's called a BSL 2 as opposed to a BSL 4. Most of the research that we think escaped was not done in the appropriate lab. And And the state department knew about it, but we've had no hearings about this. They refused to give us information. 15,000,000 people died. A 1,000,000 American died, and you won't give us information. So what I would ask is look at our request. This isn't partisan. This should be about discovering the origins of this. The scientific community is about 5050 now, and I would hope that we we suspect the Chinese of not being honest and withholding information, but it's sad that the US government is withholding information from its representatives. Speaker 1: I'll take back your request again, senator. I would urge, a briefing perhaps in a SCIF with the intelligence community on this, because as you know, there is not a single view, about this particular set of issues, but I understand your desire to understand what occurred. Speaker 0: We're asking you for unclassified information that you hold, not the intel. Speaker 1: I understand that.

@1stacyphillips - Stacy Phillips

@1stacyphillips - Stacy Phillips

@newstart_2024 - Camus

Russell Brand - Anthony Fauci and NIH received and hid $350 million of royalties from Pharma companies

Video Transcript AI Summary
Andy Fauci is praised as a pandemic hero, urging people to get vaccinated to stop the virus. However, an investigation revealed $350 million in royalties hidden by Fauci and the NIH from pharma companies. Fauci is now charging up to $100,000 for speaking engagements post-Biden administration. He is listed as a motivational speaker. Fauci and Bill Gates were influential voices during the pandemic, with dissenting voices labeled as conspiracy theories.
Full Transcript
Speaker 0: Another great hero of the pandemic, you love him, I love him, we all love him. Let's, in fact, dance around singing his name and get badges of him on ourselves. It's Andy Fauci. You wanna be a dead end to the virus. So when the virus gets to you, you stop it. No. Get that virus and stop that there. Get the vaccine. It stops transmission. And certainly, no one's gonna question that. Not on this platform. An investigation by Open the Books found that Anthony Fauci and the NIH received and hid $350,000,000 of royalties from pharma companies. In 2021, the National Institutes of Health, Antony Fauci's employer, doled out $30,000,000,000 in government grants to roughly 56,000 recipients. However, open the books found 100 of 1,000,000 of dollars in payments also flow the other way. Oh, wow. Like a revolving door between the NIH and the pharmaceutical companies. Sounds weird. These are royalty payments from 3rd party payers. Think pharmaceutical companies, for example, back to the NIH and individual NIH scientists. Well, that was back then. It was a crazy time for all of us, the pandemic. I remember having a mental breakdown. So let's put all of that behind us and all of your suffering as well because Anthony Fauci now is showing his true colors with his philanthrop oh, Anthony Fauci is charging as much as $100,000 for speaking engagements months after leaving his position in the Biden administration. Yeah. But remember when he would stand behind Trump and sort of go, that's a real hero. The former director of the NIAID's listing on leading motivational speakers is listed under the motivational speakers and healthcare speakers categories. Certainly motivated me to do a lot of things. I got quite cross. Were there any voices that were more significant than the voice of Bill Gates and Anthony Fauci during the pandemic? They set the narrative. They set the measures. They ultimately decided what direction things went in. The only voices of rebuttal and dissent came from what was called conspiracy theories, you know, like Joe Rogan having Robert Malone on stuff.

@1stacyphillips - Stacy Phillips

And look who is also involved in Biolabs in Ukraine? Oh yes. Hunter Biden. It's just all corrupt and all connected.

@1stacyphillips - Stacy Phillips

There are at least 5-8 Ukrainian Biowarfare labs (that we know of) the DoD financed with Hunter-related companies getting the contracts to build & run. What are the odds? Rosemont Seneca partnered w/Black & Veach to build and Metabiota to run.

@1stacyphillips - Stacy Phillips

@1stacyphillips - Stacy Phillips

Biden Inc. Crime Family Syndicate? #exposecorruption

@1stacyphillips - Stacy Phillips

So within 44 days of the specific gene sequence being confirmed, Moderna supposedly flash-developed the mRNA-1273 vaccine, tested it (for 3-7 weeks) on mice, analyzed results & shipped a fully completed & tested clinical product out to begin human trials?

@1stacyphillips - Stacy Phillips

@INFJLOVE CSH Labs (animal/human trials) was shipped the mRNA-1273💉product 25 days after the supposed first gene sequencing (Jan 4 2020). Moderna applied for a patent for💉on March 28th, 2019. BEFORE the pandemic appeared. It means they were developing it ALREADY. +Fauci earns royalties.

@1stacyphillips - Stacy Phillips

Ralph Baric "invented" the SARS-CoV2 MA for testing within that 41 day period too? May want to check the UNC Invention Report reference #18752 to see when he filed it. I'm just curious. Don't tell me they didn't already have the sequence when the Patent was filed in March 2019.

@1stacyphillips - Stacy Phillips

NIAID, NIH, Moderna, Vanderbilt, University of Texas, lots of scientists on here, including Ralph Baric. So it took 25 days to receive the specific sequenced antigen, 15 days to test immunogenicity in mice, that's 40 days right there. But OK. Sure. https://www.biorxiv.org/content/10.1101/2020.06.11.145920v1.full

SARS-CoV-2 mRNA Vaccine Development Enabled by Prototype Pathogen Preparedness bioRxiv - the preprint server for biology, operated by Cold Spring Harbor Laboratory, a research and educational institution biorxiv.org

@1stacyphillips - Stacy Phillips

And notice the Chan/Zuckerberg Initiative sponsored the Moderna Vax development. Is this why Mark Zuckerberg censored all content that spoke of the vaccine dangers or natural immunity? Because he was invested in the development of the Moderna vaccine? https://www.biorxiv.org/content/10.1101/2020.06.11.145920v1.full

SARS-CoV-2 mRNA Vaccine Development Enabled by Prototype Pathogen Preparedness bioRxiv - the preprint server for biology, operated by Cold Spring Harbor Laboratory, a research and educational institution biorxiv.org
Saved - December 5, 2023 at 8:26 PM

@1stacyphillips - Stacy Phillips🇺🇸🇺🇸

@based_coach1 That's not his YouTube video channel. His YouTube username is JamesYoo47, and that is his only YouTube channel, it is linked to from his only LinkedIn profile which is: https://www.linkedin.com/in/james-yoo-3a847a164/ https://www.youtube.com/@JamesYoo47

James Yoo - Self-Employed | LinkedIn #DefundFBI #DefundCIA #DefundNSA PURGE ALL 'NOC's! PURGE ALL SPIES!

(I) Independent ... Happy Birthday America!

Over a decade of technology related experience including product development, project and program management, proven leadership, and precedent setting foresight and drive.

Over 18 years of property management experience as private landlord.

Experienced functional / department head seeks to contribute with a broad background and skill set including direct involvement with the CFIUS (Committee on Foreign Investment in the United States) national security review process where I successfully led and managed Global Crossing’s (GC) technical and security team throughout the CFIUS process resulting in regulatory approval from the United States Government for Singapore Technologies Telemedia’s purchase of GC on or around late September 2003.

Skilled in Technology Product Development and Project Management, Risk Management, Business Process Improvement, and Microsoft Office tools.

Strong proven professional with a broad background and Bachelor of Science - BS focused in Information Resource Management from George Mason University - School of Business. | Learn more about James Yoo's work experience, education, connections & more by visiting their profile on LinkedIn
linkedin.com
Saved - October 23, 2023 at 6:52 AM
reSee.it AI Summary
The declassified "Kissinger Report" from 1974 reveals the United States' depopulation policy. It emphasizes the need to address population growth to prevent tragedies like malnutrition and starvation. The report also discusses the World Population Conference and its focus on incorporating population factors into national planning. However, there were challenges, including debates on economic development, minimizing the importance of population programs, and national sovereignty. Henry Kissinger's involvement reflects his Malthusian beliefs. A cautionary glimpse of a globalist "Great Reset" regime can be seen in Pol Pot's "Killing fields." National sovereignty should not be ceded to a centralized global governance system.

@1stacyphillips - Stacy Phillips🇺🇸🇺🇸

The Declassified "Kissinger Report" Thread National Security Study Memorandum 200 NSSM 200 - December 10, 1974 This is the Basis of Official United States Depopulation Policy (yes, it DOES exist). Link to Full PDF: https://bit.ly/kissingerreport

Kissinger Report US Population Policy.pdf drive.google.com

@1stacyphillips - Stacy Phillips🇺🇸🇺🇸

(2) Kissinger Report Thread, continued National Security Study Memorandum 200 NSSM 200 December 10, 1974 Link to full PDF: https://bit.ly/kissingerreport

Kissinger Report US Population Policy.pdf drive.google.com

@1stacyphillips - Stacy Phillips🇺🇸🇺🇸

(3) Kissinger Report Thread, continued National Security Study Memorandum 200 NSSM 200 December 10, 1974 Full PDF: https://bit.ly/kissingerreport

Kissinger Report US Population Policy.pdf drive.google.com

@1stacyphillips - Stacy Phillips🇺🇸🇺🇸

(4) Kissinger Report Thread, continued National Security Study Memorandum 200 NSSM 200 December 10, 1974 Full PDF: https://bit.ly/kissingerreport

Kissinger Report US Population Policy.pdf drive.google.com

@1stacyphillips - Stacy Phillips🇺🇸🇺🇸

(5) Excerpt from the National Security Study Memorandum 200 "The Kissinger Report" "A much more vigorous effort to slow population growth can also mean a very great difference between enormous tragedies of malnutrition and starvation as against only serious chronic conditions."

@1stacyphillips - Stacy Phillips🇺🇸🇺🇸

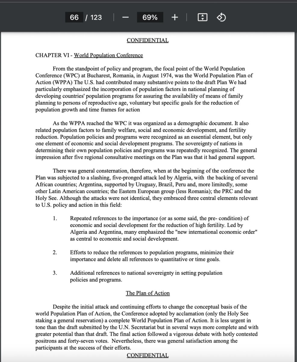
(6) How creepy! In reading the 123 page declassified "Kissinger Report" written in 1974 on developing an international depopulation plan, the "World Population Conference" where a "New International Economic Order" is referenced is found in Chapter 6 (page 66): https://bit.ly/kissingerreport 👀 "CONFIDENTIAL CHAPTER VI - World Population Conference From the standpoint of policy and program, the focal point of the World Population Conference (WPC) at Bucharest, Romania, in August 1974, was the World Population Plan of Action (WPPA) The U.S. had contributed many substantive points to the draft Plan We had particularly emphasized the incorporation of population factors in national planning of developing countries' population programs for assuring the availability of means of family planning to persons of reproductive age, voluntary but specific goals for the reduction of population growth and time frames for action As the WPPA reached the WPC it was organized as a demographic document. It also related population factors to family welfare, social and economic development, and fertility reduction. Population policies and programs were recognized as an essential element, but only one element of economic and social development programs. The sovereignty of nations in determining their own population policies and programs was repeatedly recognized. The general impression after five regional consultative meetings on the Plan was that it had general support. There was general consternation, therefore, when at the beginning of the conference the Plan was subjected to a slashing, five-pronged attack led by Algeria, with the backing of several African countries; Argentina, supported by Uruguay, Brazil, Peru and, more limitedly, some other Latin American countries; the Eastern European group (less Romania); the PRC and the Holy See. Although the attacks were not identical, they embraced three central elements relevant to U.S. policy and action in this field: 1. Repeated references to the importance (or as some said, the pre- condition) of economic and social development for the reduction of high fertility. Led by Algeria and Argentina, many emphasized the "new international economic order" as central to economic and social development. 2. Efforts to reduce the references to population programs, minimize their importance and delete all references to quantitative or time goals. 3. Additional references to national sovereignty in setting population policies and programs. The Plan of Action Despite the initial attack and continuing efforts to change the conceptual basis of the world Population Plan of Action, the Conference adopted by acclamation (only the Holy See staking a general reservation) a complete World Population Plan of Action. It is less urgent in tone than the draft submitted by the U.N. Secretariat but in several ways more complete and with greater potential than that draft. The final action followed a vigorous debate with hotly contested positrons and forty-seven votes. Nevertheless, there was general satisfaction among the participants at the success of their efforts." Oh, and I did not plan in advance on either READING this just now NOR did I plan for it to be the 6th tweet in my thread. Double creepy. 👀👀

Kissinger Report US Population Policy.pdf drive.google.com

@1stacyphillips - Stacy Phillips🇺🇸🇺🇸

Do you want a glimpse of our future under a globalist "Great Reset" regime? Study Pol Pot's "Killing fields". That's us if we cede our national sovereignty to the socio-fascist centralized global governance system envisioned by the WEF/UN. Henry Kissinger was a malthusian.

Saved - October 21, 2023 at 3:31 PM

@1stacyphillips - Stacy Phillips🇺🇸🇺🇸

@catturd2 Here's a list of the 24 who, on the record, didn't support Jim Jordan in one or both of the first 2 votes. I didn't bother w/ the 3rd vote. Who were the 100+ who defected in the SECRET CONFERENCE BALLOT, because they are HYPOCRITES. I want that list. https://t.co/3sN0CIPlmW https://t.co/eqTIO50GmT

@1stacyphillips - Stacy Phillips🇺🇸🇺🇸

We have unserious representatives who think this is all a joke. 120+ did NOT support Jordan in their "secret ballot" conference vote today, meaning over 100 Republican reps who supported him publicly are HYPOCRITES. I. WANT. THAT. LIST. ‼️ https://t.co/rR2JnSTlQP

Saved - October 8, 2023 at 8:49 PM

@1stacyphillips - Stacy Phillips🇺🇸🇺🇸

I didn't see anyone community-noting allegations against Russell Brand for lack-of-sources, did you? Apparently, "unnamed sources" and "zero evidence" is the acceptable bar now. It goes both ways. But here's some evidence for Biden, since you asked.

@1stacyphillips - Stacy Phillips🇺🇸🇺🇸

Is this the " ______ _____ Family" Business Model? This Presser was SHOCKING (but not shocking) when I first watched it in Dec. '20. Of course youtube removed it shortly after it streamed 👀. It's BREAKING NEWS 30 mos. later but was IGNORED then-another SHOCKER 🤡. THREAD:

Saved - October 1, 2023 at 6:11 AM
reSee.it AI Summary
A study suggests a significant shift in cancer and deaths since April 2021. Spike protein, found in Covid vaccines, is linked to various health issues. Repeated vaccination is questioned. The mRNA Covid vaccines are allegedly causing deaths. The eugenics movement, which aimed to improve certain races, resurfaced during Covid. The Bill & Melinda Gates Foundation funds the WHO, which promotes rebranded eugenics. The Club of Rome advocates for population reduction. The WEF and UN are connected to the Club of Rome. The WEF's Great Reset plan echoes socialist ideas. The WEF has occult roots. The World Economic Forum is criticized as a dangerous religious cult. The WEF has ties to the CIA and influential figures. Conspiracy theories abound. Trust in Me from The Jungle Book is referenced. Various links are provided for further information.

@1stacyphillips - Stacy Phillips🇺🇸🇺🇸

This study shows a marked shift beginning April 2021. Go figure. Cancers & Deaths on the Rise: Is the Covid Vax to Blame? https://thehighwire.com/ark-videos/cancers-death-on-the-rise-is-the-covid-vax-to-blame/

CANCERS & DEATH ON THE RISE: IS THE COVID VAX TO BLAME? From Episode 323: Crisis of Trust thehighwire.com

@1stacyphillips - Stacy Phillips🇺🇸🇺🇸

Look at that SHARP INCREASE in 11/22 - 12/22... And the media is working to NORMALIZE excess deaths. Spike protein causes cancer. Spike protein causes strokes. Spike protein causes myocarditis. I wonder why they injected 600B people with that same spike protein? Depopulation?

@1stacyphillips - Stacy Phillips🇺🇸🇺🇸

Repeated vaccination is complicit, says this study.

@1stacyphillips - Stacy Phillips🇺🇸🇺🇸

BOOM. The mRNA Covid vaccines are KILLING PEOPLE.

@1stacyphillips - Stacy Phillips🇺🇸🇺🇸

Eugenics.

@1stacyphillips - Stacy Phillips🇺🇸🇺🇸

The eugenics movement swept through the UK and the United States in the early 1900's, and in fact laws were passed in many states requiring forced sterilization including by vaccination. Who do you think "seeded" Hitler's "final solution"? American & British ideas. Then, after WW2 we brought back all their top scientists, including Biologists, in Operation Paperclip.

@1stacyphillips - Stacy Phillips🇺🇸🇺🇸

As of 1935, most states of the United States had forced sterilization laws in place or pending. This went on for decades.

@1stacyphillips - Stacy Phillips🇺🇸🇺🇸

California came out and apologized in the early 2000's for this horrible eugenics-based forced sterilization chapter in their history:

@1stacyphillips - Stacy Phillips🇺🇸🇺🇸

Eugenics was pushed back THEN by the likes of Margaret Sanger, The Rockefeller Foundation, The Carnegie Institute, etc. Bill Gates' father served on the board of Planned Parenthood, which was founded by Margaret Sanger.

@1stacyphillips - Stacy Phillips🇺🇸🇺🇸

These people never went away. They just rebranded. During Covid, medical institutions & public/government officials stealthily sprang marxist eugenicist principles on humanity w/ blanket DNR (do not resuscitate) orders for the older & mentally disabled & "right to die" laws.

@1stacyphillips - Stacy Phillips🇺🇸🇺🇸

Today one of the largest NGO's in the WORLD, the Bill & Melinda Gates Foundation, is a major funder of the WHO. The WHO is positioning itself to be in control of GLOBAL health & force REBRANDED EUGENICS on the world through their revised IHR's & the new Global Pandemic Treaty.

@1stacyphillips - Stacy Phillips🇺🇸🇺🇸

Their "family planning" - abortion, sterilization by vaccine etc can be traced back to "The science of improving stock to give the more suitable races or strains of blood a better chance of prevailing speedily over the less suitable than they otherwise would have had." Eugenics.

@1stacyphillips - Stacy Phillips🇺🇸🇺🇸

Take Biden's pick for the head of the Covid-19 task force, Dr. Ezekiel Emanuel. He is a proponent of the "removal" of people who are unproductive. How very much he sounds like a modern-day George Bernard Shaw and HG Wells (both avid eugenicists).

@1stacyphillips - Stacy Phillips🇺🇸🇺🇸

Socialist UK Cabinet Minister Douglas Jay wrote in "Socialism & the New Society" (1962): “In the case of nutrition & health, just as in the case of education, the gentleman in Whitehall really does know better what is good for people than the people know themselves”.

@1stacyphillips - Stacy Phillips🇺🇸🇺🇸

Sound familiar? These principles were at the HEART the eugenics principles spawned after Darwins "Origin of Species" and they are at the HEART of the WHO's IHR's and Pandemic Preparedness Treaty. Eugenics and the master race of the left – archive, 1997 https://www.theguardian.com/politics/from-the-archive-blog/2019/may/01/eugenics-founding-fathers-british-socialism-archive-1997

Eugenics and the master race of the left – archive,30 August 1997 30 August 1997 Forced sterilisations in Scandinavia have shocked the world. But the great founding fathers of British socialism, reports Jonathan Freedland, had dreams almost as vile as those of the Nazis theguardian.com

@1stacyphillips - Stacy Phillips🇺🇸🇺🇸

If we let these SNAKES in the door, if we allow the socialist/marxist principles of centralized EUGENICS, (via Bill Gates/WEF-endorsed & funded WHO) to mandate medical testing, medical procedures & vaccinations, we are condemning humanity to their twisted agenda.

@1stacyphillips - Stacy Phillips🇺🇸🇺🇸

Speaking to "The Great Reset" and to quell anyone's doubts that this IS the re-incarnated version of the socialist/marxist eugenics dreamed up in the late 1800's and early 1900's, let me draw your attention to the "Club of Rome", which was founded in 1968 by Aurelio Peccei.

@1stacyphillips - Stacy Phillips🇺🇸🇺🇸

The Club of Rome's founder, Aurelio Peccei, wrote a book in 1969 called "The Chasm Ahead" where he said "if the population of the planet isn't reduced by eduction or persuasion, harsher measures may be employed..." See his "harsher measures" in this photo:

@1stacyphillips - Stacy Phillips🇺🇸🇺🇸

Far from the existence of the "Club of Rome" being a false "Conspiracy Theory", you can see for yourself it STILL EXISTS and has adopted all the same goals and terminology as WEF, UN, etc. https://clubofrome.org

Homepage - Club of Rome 15 November 2019 - clubofrome.org

@1stacyphillips - Stacy Phillips🇺🇸🇺🇸

They seek "dramatic reconfiguration of our societal arrangements through a journey into uncharted territory" by making "radical changes in our relationships w/ nature, people & time" & see global emergency as a flashpoint to implement their "Emergency New Civilization Initiatives (ENCI)" https://www.clubofrome.org/wp-content/uploads/2021/12/COR-ENCI_Learning_new-ways.pdf

Page not found - Club of Rome clubofrome.org

@1stacyphillips - Stacy Phillips🇺🇸🇺🇸

The Club of Rome has embarked on “New Generational Contract” & among their partners are the United Nation's "SDG Lab" (Sustainable Development Goals). Other partners include: https://www.clubofrome.org/impact-hubs/emerging-new-civilization/a-new-generational-contract/ Among Club of Rome's "New Generational Contract" Partners: IMD The Fifth Element ZEIT Online The Oxford Character Project Nuremberg Institute for Market Decisions The 50 Percent BCG Henderson Insight Global Change Makers Harvard Business Manager ZEIT Online Manager Magazin Dr. Bjorn Johansson Associates Global Board Advisors Zukunft-Fabrik 2050 https://www.clubofrome.org/impact-hubs/emerging-new-civilization/a-new-generational-contract/

A new generational contract - Club of Rome 27 April 2023 - clubofrome.org
A new generational contract - Club of Rome 27 April 2023 - clubofrome.org

@1stacyphillips - Stacy Phillips🇺🇸🇺🇸

Another Club of Rome endeavor is the "Planetary Emergency Initiative": https://www.clubofrome.org/impact-hubs/climate-emergency/

Planetary Emergency - Club of Rome 15 February 2023 - The Planetary Emergency Impact Hub aims to raise awareness of the need for integrated responses to the interconnected challenges humanity faces such as climate change, biodiversity loss and growing social inequality. It highlights the need to reform our governance structures and identifies opportunities and tangible pathways to reshape our finance system, rethink our economic models and reimagine our communities to allow us to emerge from emergency. clubofrome.org

@1stacyphillips - Stacy Phillips🇺🇸🇺🇸

And we can't forget the Club of Rome "The Fifth Element Project: Catalysing the Emergence of a Human Revolution", featured at the WEF's "Davos 2023" Conference. IT'S ALL CONNECTED https://www.the5thelement.earth/ "The Fifth Element is a Club of Rome program that seeks to ask better questions for the future of humanity and learn from communities acting by themselves towards equitable wellbeing within a healthy ecosystem. It intends to catalyse the conditions for people and organisations — wherever they are — to liberate from constraining frameworks and engage in their own learning processes for regenerative change. Ultimately, it looks for new syntheses of traditional wisdom, leading-edge science and humanist practices, enabling the emergence of desirable futures in a pluriversal world." Exactly what "constraining frameworks" do you think they are advocating for people to be "liberated from"? Maybe those who attended the WEF's Davos 2023 conference would clue us in? Because it appears they want us to cast off all traditional forms of religion and culture and dive head-first into the sea of a humanistic naturism/neo-paganism. But that's just me.

@1stacyphillips - Stacy Phillips🇺🇸🇺🇸

Have I missed anything or left anything out, @ClubOfRome ?

@1stacyphillips - Stacy Phillips🇺🇸🇺🇸

Klaus Schwab's "you'll own nothing and be happy" hallmark phrase of his evil socialist Great Reset plan was stolen from Socialist HG Wells' 1895 book "The Time Machine" Chapter 5. https://www.marxists.org/reference/archive/hgwells/works/1890s/time/index.htm Writing about the fictional "utopian" future, and the splitting of the species along class lines, Wells wrote: "And very vaguely there came a suggestion towards the solution of the economic problem that had puzzled me. “Here was the new view. Plainly, this second species of Man was subterranean. There were three circumstances in particular which made me think that its rare emergence above ground was the outcome of a long-continued underground habit. In the first place, there was the bleached look common in most animals that live largely in the dark—the white fish of the Kentucky caves, for instance. Then, those large eyes, with that capacity for reflecting light, are common features of nocturnal things— witness the owl and the cat. And last of all, that evident confusion in the sunshine, that hasty yet fumbling awkward flight towards dark shadow, and that peculiar carriage of the head while in the light—all reinforced the theory of an extreme sensitiveness of the retina. “Beneath my feet, then, the earth must be tunnelled enormously, and these tunnellings were the habitat of the new race. The presence of ventilating shafts and wells along the hill slopes—everywhere, in fact except along the river valley —showed how universal were its ramifications. What so natural, then, as to assume that it was in this artificial Underworld that such work as was necessary to the comfort of the daylight race was done? The notion was so plausible that I at once accepted it, and went on to assume the how of this splitting of the human species. I dare say you will anticipate the shape of my theory; though, for myself, I very soon felt that it fell far short of the truth. “At first, proceeding from the problems of our own age, it seemed clear as daylight to me that the gradual widening of the present merely temporary and social difference between the Capitalist and the Labourer, was the key to the whole position. No doubt it will seem grotesque enough to you—and wildly incredible!—and yet even now there are existing circumstances to point that way. There is a tendency to utilize underground space for the less ornamental purposes of civilization; there is the Metropolitan Railway in London, for instance, there are new electric railways, there are subways, there are underground workrooms and restaurants, and they increase and multiply. Evidently, I thought, this tendency had increased till Industry had gradually lost its birthright in the sky. I mean that it had gone deeper and deeper into larger and ever larger underground factories, spending a still-increasing amount of its time therein, till, in the end—! Even now, does not an East-end worker live in such artificial conditions as practically to be cut off from the natural surface of the earth? “Again, the exclusive tendency of richer people—due, no doubt, to the increasing refinement of their education, and the widening gulf between them and the rude violence of the poor— is already leading to the closing, in their interest, of considerable portions of the surface of the land. About London, for instance, perhaps half the prettier country is shut in against intrusion. And this same widening gulf—which is due to the length and expense of the higher educational process and the increased facilities for and temptations towards refined habits on the part of the rich—will make that exchange between class and class, that promotion by intermarriage which at present retards the splitting of our species along lines of social stratification, less and less frequent. So, in the end, above ground you must have the Haves, pursuing pleasure and comfort and beauty, and below ground the Have-nots, the Workers getting continually adapted to the conditions of their labour. Once they were there, they would no doubt have to pay rent, and not a little of it, for the ventilation of their caverns; and if they refused, they would starve or be suffocated for arrears. Such of them as were so constituted as to be miserable and rebellious would die; and, in the end, the balance being permanent, the survivors would become as well adapted to the conditions of underground life, and as happy in their way, as the Upper-world people were to theirs. As it seemed to me, the refined beauty and the etiolated pallor followed naturally enough. “The great triumph of Humanity I had dreamed of took a different shape in my mind. It had been no such triumph of moral education and general co-operation as I had imagined. Instead, I saw a real aristocracy, armed with a perfected science and working to a logical conclusion the industrial system of to-day. Its triumph had not been simply a triumph over Nature, but a triumph over Nature and the fellow-man. This, I must warn you, was my theory at the time. I had no convenient cicerone in the pattern of the Utopian books. My explanation may be absolutely wrong. I still think it is the most plausible one. But even on this supposition the balanced civilization that was at last attained must have long since passed its zenith, and was now far fallen into decay. The too-perfect security of the Upper-worlders had led them to a slow movement of degeneration, to a general dwindling in size, strength, and intelligence. That I could see clearly enough already. What had happened to the Under-grounders I did not yet suspect; but from what I had seen of the Morlocks—that, by the by, was the name by which these creatures were called—I could imagine that the modification of the human type was even far more profound than among the "Eloi," the beautiful race that I already knew." -H.G. Wells, "The Time Machine" (1895)

@1stacyphillips - Stacy Phillips🇺🇸🇺🇸

@1stacyphillips - Stacy Phillips🇺🇸🇺🇸

Club of Rome: 'The Real enemy is Humanity Itself’ Global environmentalism is a dangerous cult whose claims of apocalypse & of the efficacy of the solutions technology presents are as fantastical as the beliefs which inspired them. https://lifesitenews.com/opinion/real-enemy-is-humanity-itself-exposing-the-occult-roots-of-the-club-of-romes-climate-agenda/

'Real enemy is humanity itself': Exposing the occult roots of The Club of Rome's climate agenda - LifeSite Global environmentalism is a dangerous cult whose claims of apocalypse, and of the efficacy of the solutions technology presents, are as fantastical as the beliefs which inspired them. lifesitenews.com

@1stacyphillips - Stacy Phillips🇺🇸🇺🇸

WEF Occult roots Justifications of the UN/WEF’s anti-enlightenment global policies, aimed at subjugation, are dressed in the form of science, even though they are based on esotericism & the occult & are therefore only the irrational thinking of fools.' https://www.lifesitenews.com/opinion/finnish-professor-exposes-the-occult-roots-of-the-world-economic-forum/

Finnish professor exposes the occult roots of the World Economic Forum - LifeSite 'The justifications of the UN and the World Economic Forum’s anti-enlightenment global policies, aimed at subjugating people, are dressed in the form of science, even though they are based on esotericism and the occult and are therefore only the irrational thinking of fools.' lifesitenews.com

@1stacyphillips - Stacy Phillips🇺🇸🇺🇸

Did the Deep Ecologist Pentti Linkola Meet Heinrich Himmler? For more than thirty years, Mikko Paunio (MD, MHS) has studied the new-old nature pantheism that was born in the UN framework, with its partners, the Club of Rome and the World Economic Forum. https://www.thepostil.com/author/mikko-paunio/

Mikko Paunio Uniting Wisdom With The Soul - Vivida Vis Animi thepostil.com

@1stacyphillips - Stacy Phillips🇺🇸🇺🇸

The World Economic Forum is a Dangerous Religious Cult https://www.thepostil.com/the-world-economic-forum-is-a-dangerous-religious-cult/

The World Economic Forum is a Dangerous Religious Cult For more than 30 years, Mikko Paunio has studied the new-old nature pantheism that was born in the UN framework, with its partners the Club of Rome and the World Economic Forum. This religion has largely replaced Christianity in Western countries. Nature pantheism specifically draws from the “wisdom thepostil.com

@1stacyphillips - Stacy Phillips🇺🇸🇺🇸

The WEF wasn’t simply the brainchild of Klaus Schwab but was born out of a CIA-funded Harvard program headed by Henry Kissinger & pushed to fruition by John Kenneth Galbraith & the “real” Dr. Strangelove, Herman Kahn. https://unlimitedhangout.com/2022/03/investigative-reports/dr-klaus-schwab-or-how-the-cfr-taught-me-to-stop-worrying-and-love-the-bomb/

Dr. Klaus Schwab or: How the CFR Taught Me to Stop Worrying and Love the Bomb The World Economic Forum wasn’t simply the brainchild of Klaus Schwab, but was actually born out of a CIA-funded Harvard program headed by Henry Kissinger and pushed to fruition by John K. Galbraith and the "real" Dr. Strangelove, Herman Kahn. unlimitedhangout.com

@1stacyphillips - Stacy Phillips🇺🇸🇺🇸

"CONSPIRACY" Never attribute to stupidity that which can be adequately explained by a pathological bloodlust for control.

@1stacyphillips - Stacy Phillips🇺🇸🇺🇸

Trust in me, just in me Shut your eyes, trust in me You can sleep safe & sound knowing I am around Slip into silent slumber-Sail on a silver mist Slowly & surely your senses will cease to resist Shut your eyes, trust in me The Jungle Book - Trust in Me https://youtu.be/vDs57R6MYsY

@1stacyphillips - Stacy Phillips🇺🇸🇺🇸

@1stacyphillips - Stacy Phillips🇺🇸🇺🇸

@1stacyphillips - Stacy Phillips🇺🇸🇺🇸

@1stacyphillips - Stacy Phillips🇺🇸🇺🇸

@1stacyphillips - Stacy Phillips🇺🇸🇺🇸

Great series: https://rumble.com/vrspab-part-1-of-a-10-parts-series-about-the-fall-of-the-cabal-by-janet-ossebaard.html

PART 1 OF A 10-PARTS SERIES ABOUT THE FALL OF THE CABAL BY JANET OSSEBAARD PART 1 OF A 10-PARTS SERIES ABOUT THE FALL OF THE CABAL BY JANET OSSEBAARD Original https://www.bitchute.com/video/uWCEnegjL5Hl/ JOIN ME ON TELEGRAM https://t.me/WeAreOneAdeReid I am Banned on Fakeboo rumble.com

@1stacyphillips - Stacy Phillips🇺🇸🇺🇸

https://t.co/sdevbmeJCZ

Saved - September 19, 2023 at 7:17 PM

@1stacyphillips - Stacy Phillips🇺🇸🇺🇸

Men charged with making 8,000 fraudulent voter registrations in California

California Men Charged In Case of 8,000 Fraudulent Voter Registrations Two California men have been charged in a case involving the submission of more than 8,000 fraudulent voter applications on behalf of homeless people, the Los Angeles County District Attorney's Office announced Tuesday.... newsmax.com
View Full Interactive Feed