TruthArchive.ai - Tweets Saved By @SarahisCensored

Saved - January 28, 2026 at 1:43 AM

@SarahisCensored - Sarah Fields

Two weeks ago, I reported that Minnesota Rep. Alex Falconer and Rep. Brad Tabke are operating private networks that dispatch activists to ICE operations. When I first reported on this, I’m not sure everyone understood the full weight of it. So I’m reposting this again. https://t.co/nONlYWmGwb

@SarahisCensored - Sarah Fields

🚨REPORT🚨: Citizens of Minnesota are being organized, led, and emboldened by Democrat leaders to “patrol” and “report” on ICE activities, leading to the vi0lence we have witnessed over the last few days! According to a witness to the de@dly ICE incident: “She (referring to Renee Nicole Good) was the main car leading the protest.” “She was very successful in what she was set to do.” This led to a deeper investigation, and here is what we found: CONFIRMED: There is a group chat with other activists assigned to follow ICE agents. The craziest part about these organized activists is that they are led by Democratic state elected officials. State Rep. Alex Falconer and State Rep. Brad Tabke operate semi-private networks that dispatch activists to ICE operations. They are doing this openly with sign-up websites. Tabke’s site, “ICE Watch,” allows for one shift a week. A maximum of three shifts are encouraged. Falconer gave an interview to Eden Prairie Local News, bragging about his “ICE watching network.” Interestingly, he was also speaking against “anti-Somali rhetoric” at a Muslim event center while calling for community involvement against ICE. Both elected officials serve districts in the Twin Cities metro. It's concerning that state elected officials are instructing activists this way, because it gives these people the belief that they are on "citizens' patrol" and this makes them immune. It's also concerning that Democratic elected officials are doing this because they could be receiving real-time info about ICE whereabouts from any public safety state agencies that might need to know some details about their operations. So the question is, who/which group allegedly dispatched Renee Good to the ICE scene? Minneapolis City Councilman Jason Chavez has also joined as part of this ICE watch. He stated on his own social media that “we need people patrolling the streets now!” All of these individuals should be investigated immediately for conspiring to interfere with federal law enforcement, which is a federal crime in the US. I’m calling on Trump and JD Vance to please put eyes on this. Cut the head off of the monster. All receipts in thread 👇

Saved - October 21, 2025 at 9:31 AM

@SarahisCensored - Sarah Fields

Witness footage has emerged on TikTok from a man who was present the day Charlie Kirk was assassinated. I will share all on this thread. In this video, individuals huddle in a tunnel for safety, not knowing if this was a mass sh00ting. https://t.co/8Le3amD2Uc

Saved - July 12, 2025 at 8:22 PM
reSee.it AI Summary
I designed some humorous T-shirts that say “Camp Mystic JESUS Learn to Swim” and “Camp Mystic Swim team 2025 Dead Last But good with Jesus.” Also, I run Scotty P's Auto Purchase Consulting. Feel free to email me at scottypauto@gmail.com or message me at (303) 921-1862.

@SarahisCensored - Sarah Fields

This is Scotty’s social media. Scotty thought it would be funny to design T-shirts that say “Camp Mystic JESUS Learn to Swim” and “Camp Mystic Swim team 2025 Dead Last But good with Jesus” He owns Scotty P's Auto Purchase Consulting. You can email him at scottypauto@gmail .com or leave him a message at (303) 921-1862.

@ImMeme0 - I Meme Therefore I Am 🇺🇸

PURE EVIL MOTHERFVCKER! This progressive Jew thought it was funny to attack Christians over Alligator Alcatraz—going so far as to mock the tragic deaths of children in the Texas flood just to design T-shirts reading “Camp Mystic JESUS Learn to Swim” and “Camp Mystic Swim team 2025 Dead Last But good with Jesus” Make this POS famous—I want him to regret every fvcking single second he spent creating those designs and videos!

Video Transcript AI Summary
The speaker expresses enjoyment of "Alcatraz alligator videos" featuring alligators wearing ice. Irina is told that her profile picture of Jesus inspired a T-shirt design. The speaker announces the creation of "Camp Mystic" merchandise, motivated by "MAGA Christians who love putting brown people in concentration camps." The T-shirt design was inspired by Irina, and the speaker wishes her a blessed day. God is described as the speaker's "everything."
Full Transcript
Speaker 0: Can I just say how much I have enjoyed seeing the alligator Alcatraz alligator videos? Like, they're wearing little ice. You know? Irina, I just want you to know when I saw Jesus was in your profile, you were 100% the inspiration for this T shirt. I hope you have a blessed day. These MAGA Christians who love putting brown people in concentration camps have inspired me to create camp mystic merchandise, so God is my everything. Here is the T shirt you personally helped inspire. I hope you have a wonderful, blessed day.
Saved - July 6, 2025 at 2:16 AM

@SarahisCensored - Sarah Fields

Her name is Jesse Henness. She works at Cadence Academy as a preschool teacher in Puyallup, Washington. HER EMPLOYERS EMAIL: welisten@cadence-education . Com. Goodbye, Jesse. https://t.co/SGhqxkkLe5

Video Transcript AI Summary
The speaker mentions a ceremony for signing a "big beautiful bill" into law. They speculate about the possibility of it being held outside, suggesting July 4th as a "cool time" for such an event. The speaker also states that they would "100%" support anyone who is "on the fence."
Full Transcript
Speaker 0: I hear they're holding a ceremony so that he can sign this big beautiful bill into law. Do you think it's gonna be outside? No. They wouldn't. But, like, on the July 4, be a cool time to do it. If anyone's, like, on the fence, we would support you. 100%. That'd real nice.

@SarahisCensored - Sarah Fields

I have sent an email to her employer. I will update when I have a response.

Saved - June 30, 2025 at 11:39 AM
reSee.it AI Summary
I shared that Karmelo Anthony's application for indigent status was approved by his advocacy group. Some are questioning how this is possible, and I clarified that when applying for indigency, relatives' income is not taken into account. I referenced the fair defense plan for Collin County District courts, which outlines eligibility for indigency and emphasizes that the application must be truthful under penalty of perjury. Notably, it states that relatives' financial support cannot be considered.

@SarahisCensored - Sarah Fields

BREAKING: According to Karmelo Anthony’s advocacy group, his application for indigent status was approved. https://t.co/HCjzvlR1V2

@SarahisCensored - Sarah Fields

For those who are asking how this could be, it is because when you apply for indigency, relatives are not considered when it comes to sources of income. Crime family. All the way around, being used by professional grifters.

@SarahisCensored - Sarah Fields

This is the fair defense plan for Collin County District courts. On pages 4 and 5, it describes eligibility for indigency. An application for indigency has to be declared truthful under the penalty of perjury. Note on page 4, it states that relative’s money cannot be considered https://t.co/QmmBDEf5mI

Saved - June 26, 2025 at 5:34 PM
reSee.it AI Summary
Karmelo Anthony has submitted an Indigent Packet to the Collin County Court for court-appointed legal representation, claiming financial hardship. Meanwhile, the Anthony family updated their GiveSendGo campaign to raise an additional $1.4 million for legal fees, despite having previously stated they had access to funds. The campaign has raised $538,000 so far. Questions arise about the necessity of this amount and the management of the funds, as well as the implications of their financial claims. I’m curious if anyone has insights on this situation.

@SarahisCensored - Sarah Fields

BREAKING: Karmelo Anthony submitted an Indigent Packet to the Collin County Court, requesting court-appointed legal representation as an indigent (financially destitute) defendant. However, just 24 hours ago, the Anthony family updated their GiveSendGo campaign to reflect a need to raise an additional $1.4 million for “a legal team.” Karmelo Anthony’s mother, Kala Hayes, who manages the GiveSendGo, stated on April 17th (two months ago) that they had just gained access to the funds. At that time, they had already raised $350,000. The fundraiser has now reached $538,000. According to a source, their current known attorney, Mike Howard, is more than likely charging a retainer fee of $10,000–$30,000 and charges $400–$500 per hour. Where did the money go? Why do they need $1.4 million? Will they be granted indigence and an appointed attorney with a GiveSendGo of this magnitude? Is this considered fraud?

@SarahisCensored - Sarah Fields

Kala Admitted on April 17th that they had access to funds. (Two months ago) https://t.co/Kq8AmjHa8A

Video Transcript AI Summary
Funds can now be withdrawn, but it will still take several days to receive them after the request is made.
Full Transcript
Speaker 0: We would just notify yesterday that we could begin to withdraw funds, and it still takes several days to receive those funds once the request is made. I don't know why we have been

@SarahisCensored - Sarah Fields

Clarification- The Anthony family updated their GiveSendGo campaign to reflect a need to raise an additional amount of funds, BRINGING THE GOAL to $1.4 million for “a legal team.”

@SarahisCensored - Sarah Fields

https://t.co/30iVDhzmGL

@SarahisCensored - Sarah Fields

Hey @jacobawells care to comment?

Saved - June 16, 2025 at 12:11 PM

@SarahisCensored - Sarah Fields

Four counts of second-degree m*rder, not premeditated. How on earth do you charge someone with m*rder that is not premeditated if they claim it was by as*as*ination and a manifesto was found in the vehicle? https://t.co/Q3x8hlCNqn

Saved - June 15, 2025 at 1:52 PM

@SarahisCensored - Sarah Fields

MSM is straight up lying to you about Vance Boelter. Gee, I wonder why? https://t.co/N6zX83qBoG

Video Transcript AI Summary
The speaker claims the mainstream media is lying about Vance Luther Bolter's party affiliation. According to the speaker, some states, like Minnesota, do not register voters by party affiliation and have open primary systems. The speaker states that despite serving under Democratic governors, news outlets reported Bolter last registered to vote in 2022 as a Republican. The speaker questions why a registered Republican would work under Tim Walz until 2023. The speaker provides voter information showing Bolter registered as a Republican in Oklahoma in 2004. However, Minnesota voter registration only provides name, birth year, and registration status, not party affiliation. The speaker insists the mainstream media is lying about Bolter's affiliation.
Full Transcript
Speaker 0: So as many of you know, I have this uncanny ability to hunt down information about people. And one of the things that I consistently hunt down is voter registration and voter information. What a lot of people do not realize is that every state is different. Some states have closed primaries and some states have open primaries. And when you look up voter registration in some states, it'll tell you someone's party affiliation or it won't tell their affiliation whatsoever. It'll just say whether they're registered to vote or not. Minnesota is one of those states that does not tell you the party affiliation of a registered voter. Speaker 1: As you can see here, Minnesota does not register voters by party affiliation. There's no party declaration and they have an open primary system. So would someone like to explain to me why the mainstream media is straight up lying to people? Despite serving under Democratic governors, Bolter last registered to vote in 2022 as a Republican according to New York Post. New York Post and Newsweek, shame on you. This is exactly why I do what I do because the mainstream media is full of shit and independent journalism is where it's at. of all, he was appointed under Tim Walz until 2023. Why would a registered Republican in 2022 be working under Tim Walz until 2023? This is Vance Luther Bolter's voter information right here. This provides proof that he was registered as a Republican in Oklahoma in 02/2004, but if you look at the Minnesota voter registration, you'll see that there is no party affiliation listed under Minnesota. That would be because if you look up the direct registration of Minnesota, all it provides you is his name and his birth year and if he's registered to vote or not, which he was, but it does not tell you party affiliation. As an investigative journalist, I've been doing this for years and I have a team that looks up people's voter registration information all the time. Mainstream media is straight up lying to you about his party affiliation. Why would they do that? Why would they do that?
Saved - June 15, 2025 at 12:11 AM

@SarahisCensored - Sarah Fields

Sunday Service of August 7, 2022 in the Democratic Republic of the Congo. Vance Boelter E.d.D. Was the CEO of Red Lion Group based in the DRC. Was this perhaps a cover for intel? I find this entire situation to be very odd. https://t.co/HL3WgePnDR

Video Transcript AI Summary
The kingdom of God is not about eating and drinking, but about righteousness, peace, and joy in the Holy Spirit. Galatians 5:22 states that the fruit of the spirit is [incomplete sentence].
Full Transcript
Speaker 0: It says, for the kingdom of God is not eating and not drinking but righteousness And peace. And joy in the holy spirit. God says he gives us everything we need in this life. In Galatians five twenty two, it says Five twenty two. Chapter five verse 22. It says, but the fruit of the spirit
Saved - June 12, 2025 at 5:08 AM

@SarahisCensored - Sarah Fields

Abortion is demonic. https://t.co/FYnpDhSbcK

Saved - June 8, 2025 at 1:26 AM
reSee.it AI Summary
I can no longer remain silent about the FBI's inaction regarding Camil Maroun, who has committed extensive fraud and exploited minors. Despite providing the FBI with substantial evidence, including recorded admissions of guilt, there has been no follow-up or accountability. Camil is now operating under a new guise, continuing to prey on victims. I have connected with numerous individuals who have shared their harrowing experiences, yet the authorities seem indifferent. This situation demands urgent attention and justice for all affected.

@SarahisCensored - Sarah Fields

I’m not going to stay quiet about this anymore. The FBI is compromised, and to be frank, I am disappointed and angry with what I know. I tried to play nice and do things the correct way for several months, but my patience is gone as an investigative reporter who works hard and digs deeper than most when working on a story. Several months ago, I reported on a man named Camil Maroun. While reporting on Harry Sisson and his group of women he led on to entice nudes from them, I discovered that he had been working with Camil (allegedly, Harry stopped working with him once he found out who he was). This led me to investigate Camil, and what I found was shocking. Camil Maroun has committed fraud on a massive scale, switching from one fraudulent business to another, stealing thousands, if not millions, of dollars from young adults and minors. He has groomed and trafficked multiple minors for s*x, then extorted them into silence. I have the receipts, the evidence, the fraudulent documents, and a list of over a dozen witnesses and victims. The FBI has been given everything, EVERYTHING, on a silver platter by me. I connected with large voices, and one of them had a direct line to Kash Patel. Kash said more than once that he would investigate this. I was put in contact with FBI agent William Makaneole to work with me. I have sent him a dozen emails with documents, witness statements, and even a RECORDED PHONE CALL with Camil Maroun where he ADMITS TO COMMITTING FRAUD. There is another recorded phone call where Camil admits to SOLICITING A MINOR. The FBI has had my evidence in their possession since the end of February. They had evidence from others since 2023 (including evidence that Harry Sisson allegedly provided to them). I have been informed that Camil has not been brought in for questioning and that he is actively bragging to others about “not being caught.” I sent an email to the FBI agent a few weeks ago to follow up. The only response I received stated: “There’s a bit of coordination that must happen, and given the broad overseas and domestic ties, the net we cast takes a little bit to set up and coordinate.” This means that they are not only aware of what this man is doing, but they know it involves victims from all around the world. Another young victim contacted me just a few weeks ago, and I have never felt so helpless. It took a lot of courage for them to come forward and provide details of what happened to them: photos, documents, statements. I emailed the FBI to tell them I had another victim, and I received no reply. Yes, I can get your story out, and I can bring it forward so the public knows, but where is the follow-up? Where is the justice for these victims? Is the FBI shorthanded? Do they just not care? Where is the recourse? Currently, Camil is on a cruise ship somewhere with a young man (he likes males), using a new organization to entice more unsuspecting victims into his trap. One of the big voices I have been working with on this platform (I’ll keep this person’s identity private because I’m not sure they want to be named) told me, “I spoke to KP twice about this. Now he’s just not responding to me. I’m disgusted.” If any of you thought things were going to change just because we are under a new administration, then I have some beachfront property to sell you. We have been lied to, gaslit, and fooled. As someone who works very hard, investigates a case until the bottom is reached, and pulls no punches, I’ve never felt so helpless and discouraged.

@SarahisCensored - Sarah Fields

To see my reporting on Camil, search Camil Maroun in the search bar on my profile.

@SarahisCensored - Sarah Fields

https://t.co/M5n3xXnuyI

@SarahisCensored - Sarah Fields

‼️ Camil Maroun FBI Investigation Update - A Thread. ‼️ Camil Maroun, whom I exclusively reported on a couple of weeks ago, has reactivated all of his social media accounts and has begun operating an alleged new scam operation called “MYSTK Creator Network,” run out of Canada. Maroun is under investigation for alleged trafficking, international and domestic fraud schemes, the gr00ming of minors for s*xual exploitation, and stealing massive amounts of funds from unsuspecting content creators. This investigation began when I reported on Harry J. Sisson, a Democrat operative who was Camil’s Chief of Staff for M-Pulse, the LLC being used by founder Camil Maroun to commit fraud on a massive scale. Why are Harry, Chris, Dean, Parker, and now Olivia Julianna —all top Gen Z influencers for the Democratic Party—connected to Camil in some way? The FBI was notified a year ago regarding Camil, however, nothing was done at the time. After my report, the FBI became involved AGAIN, and I have now provided all of my evidence, documentation, and a list of countless victims who have privately shared their stories with me, including multiple minor males. This information has been public for several weeks as I have provided continuous updates; therefore, I am a little bit confused as to why Olivia Julianna, a known pro-abortion Democrat operative out of Texas, is not only followed by Camil but follows him back. Continued in thread 👇

@SarahisCensored - Sarah Fields

https://t.co/t0fSymSndw

@SarahisCensored - Sarah Fields

The following thread is about two more victims of Camil Maroun. So far, over a dozen more victims in the last 48 hours have approached me to either tell their story publicly or provide their evidence to the FBI. Every victim has provided evidence that Camil Maroun has committed fraud on a massive scale and has been doing so for years. Camil is the founder of an LLC called M-Pulse. Those involved with Camil include Harry J. Sisson, his former Chief of Staff. Please be advised that I have changed the names in this article for the victims’ safety, except for Camil’s. I will also provide a few documents with their permission to the public. However, most documentation will be reserved for the eyes of authorities only. I am going to keep this thread as close to the victims’ statements as possible. Read their story here 👉 Paul and Bella met Camil Maroun while on a Virgin Voyages cruise in Europe in October of 2024. On the second night of the cruise (October 14), Paul and Bella were eating on the ship and were seated next to Camil and a 20-year-old boy (whose name we will keep private at this time). This led to them hanging out with Camil and the young boy practically 24/7 for the duration of the 11-night cruise, including doing excursions with them and eating most meals together. Camil, quickly upon meeting them, claimed to be something that they eventually found out was not true. After talking with Camil for a short time, Camil claimed to not only be a lawyer but also one of the top legal counsels for TikTok (more specifically, the TikTok Live division). They quickly questioned Camil on this, but Camil said that his connection with TikTok was made through his marketing company. This was confirmed by the young man he was with, as he was a part of his agency as well (for a short time). Camil also made many outrageous and false claims, such as personally knowing the Obama and Biden families, that his parents had work relations with the Obama family and were high-up executives at multiple Fortune 500 companies, that he knew various famous and other political figures, “and so many other lies.” Camil also claimed to be a very wealthy individual, owning multiple properties across the country and being very liquid. After they asked how he gained this wealth at such a young age, he claimed that he had gained a majority of his money from winning a case against a county where he was charged with destruction of property at a local church and was found “not guilty.” (Read on for Part 2)

@SarahisCensored - Sarah Fields

https://t.co/Fl1cGJD6Pb https://t.co/dqIsAWdZ9l https://t.co/I0vwWyjHnG https://t.co/F2CXJ8xC2C https://t.co/ksEw1wyByU

@SarahisCensored - Sarah Fields

My exclusive reporting on Camil Maroun has reached almost 1,000,000 viewers. I want to thank everyone for sharing these victims' stories. I will not be going into an X space to discuss Camil until he is behind bars. I have released what I am capable of releasing to the public.

@SarahisCensored - Sarah Fields

Another victim of Camil’s has come forward and she has more receipts. I will be forwarding her story on to the authorities. https://t.co/IxtCl0gyOQ

@SarahisCensored - Sarah Fields

Harry Sisson is trying to make you forget about the man he partnered with, Camil Maroun—the man who committed fraud on a massive scale, groomed and manipulated minors, and will likely go to prison for the rest of his life. It won’t work. I have the receipts and the list of

@SarahisCensored - Sarah Fields

Another victim has come forward to tell her story about being scammed. She was made to think that Camil was helping her obtain a visa. And then forced to sign a statement saying that she would not come after him for any wrongdoing.

@SarahisCensored - Sarah Fields

Since NewsMax "rescheduled" my interview, I'm going to reveal what I was going to reveal in the interview. 🚨This is a PLEA to all victims of Camil Maroun, including Harry Sisson. Harry, you are either involved or a victim. You need to decide what you want to be.🚨 The file of evidence on Camil T. Maroun is extensive. It has all been provided to me and it is very damning. But here is the issue: all of this evidence was also provided to the FBI under the Biden administration and was quickly swept to the side. Here is a FEW facts that we know about Camil T. Maroun and what NEEDS to happen. This is bigger than Harry. This is bigger than any other story I have covered in the past. • Camil is the founder of an LLC named M-Pulse. Since information about Camil has begun to leak from his victims, he has deleted all of his social media, deleted his LinkedIn, and rerouted his website to TikTok. • Through an advertisement that was released, Harry Sisson admits to being "Chief of Staff" for this LLC and worked closely with Camil. However, Harry no longer works for Camil, due to the fact that Camil stole a sizable amount of money from Harry. • Camil's LLC was a company that advertised themselves as a career agency for young influencers on TikTok. But this was not the case. • Camil pretended to be an attorney who provided “legal advice” for a fee. Camil would target young influencers on TikTok and say that he could help them. He seemed to have a type, as most were young men who were 18-19. He would gain access to all of their social media, including passwords and usernames. • We have evidence that Camil extorted his victims who were minors for s*xual acts, including taking young boys on cruise ships. • He would also prey on minors and young adults in other countries, promising to help them obtain their visas. They would send $2500 via PayPal to Camil. Then Camil would send fake documents showing that he had applied. When the visa would not go through, the clients would then ask why, and Camil would ask for more money. Once a client realized they were being scammed, Camil used his fake attorney status to send a fake cease and desist letter. • Camil did gr00m and manipulate an Australian 14-year-old boy. This particular boy has released videos speaking on this that I will not be posting in this thread for legal reasons. I will not mention his name or show his face. And if you have continued to share this video, shame on you. He is a child. • A honeypot-recorded phone call with Camil, the 14-year-old minor, Harry Sisson, Chris Mowrey, and one other person I will not name revealed a full confession from Camil regarding the things he had done to the minor. • A former New York legislator, who was in office at the time and also works in emergency services dealing with victims regularly, provided all of the evidence and information to the FBI under the Biden administration. Instead of providing all of the evidence, the recorded phone call, and information provided to local authorities and conducting an investigation on their own, they closed the investigation and threatened the legislator, telling him to "stop harassing Camil". He was threatened with “charge of obstruction and harassment”. I am in contact with this former legislator. Evan is one of hundreds of victims of Camil. This is a plea to ALL VICTIMS to come forward, including Harry Sisson. Harry is either a victim or is complicit. We need to place pressure on Harry to publicly condemn Camil Maroun and call for an investigation IMMEDIATELY.

Video Transcript AI Summary
Denny Junior Camilo Maroon allegedly had the speaker invest in fake Gymshark and GNC brand deals, requiring two LLCs costing $1,400, which the speaker paid via Cash App. The speaker later realized the Gymshark deal document was edited and fake. The speaker then convinced a 17-year-old friend to invest $14,000, with the speaker adding an additional $5,000 of their own money. The speaker says Camille encouraged the underage investment, promising significant returns. After a trip together, Camille blocked people on the speaker's phone, who the speaker later learned were involved in a lawsuit against Camille or had been scammed by him. Camille allegedly wanted to get with the speaker on the trip. When the speaker asked for their money back, citing financial difficulties, Camille requested $500 upfront, which the speaker paid. Camille then claimed issues with the banking information provided. After being confronted, Camille allegedly threatened to sue the speaker for $180,000 for violating an NDA. Camille's TikTok agency was shut down after higher-ups discovered he was allegedly scamming young people. Camille then sent the speaker a picture of a gun to his head. The speaker also heard unconfirmed reports of Camille's alleged involvement with a 14-year-old and accessing the speaker's spicy content.
Full Transcript
Speaker 0: So part two here. Anyways, this this, Denny junior Camilo t Maroon here. He had me invest in these LLCs for two brand deals that he said were really amazing. And I was like, okay. Should I invest in these these it was a Gymshark and GNC brand deal that he said I was getting, which was fake, by the way. And he told me that I needed two LLCs to be created, and it costs $1,400 for both of them to be made. And I believed him. I was like, because I'm a fitness influencer. I'm young. I wanna be in sponsorships and brand deals with these awesome big companies. You know? Cool. I'm like, yeah, dude. Get get me the LLC. How do I do it? He's like, just send me $1,400 in Cash App. I'll get them created, and everything will be said and done. Well, it was fake. You know, I sent him the $1,400. He made the LLCs, but he pocketed the extra money that he didn't have to spend to make those LLCs. So then he sends me this screenshot or this thing while we're on FaceTime of him showing me the picture of, or the the the document or whatever you would say of Gymshark's brand deal, which was fake. That's also fake. So now I'm realizing that's an edited picture. That's not even from Gymshark. I know what it would look like. That is not even real. Now I'm like getting a little more sketched out. But, man, maybe I'm just overthinking everything. This is probably just all like this is probably all just not even that bad, and I'm just overthinking it because I've never been on a trip with someone to a different state that I just met. Maybe I'm overthinking it, and this is actually just opportunity that I need to chase. So I told my friend to invest with him, and my friend invested 16,000 or no, $14,000. And I wanted to to give him another $6,000 to invest, and then I invested $5,000 extra with my money. So now I just spent 11,000 more of my money, technically 5,000 because I gave him 6,000 to invest more. So now we're down tens of thousands of dollars not even knowing it at this point. And my friend was not in the agency. He's he's 17 years old. He's not even old enough to be able to be investing. So he's underage. This is illegal already. Alright? But Camille's like, you know what? It's fine. You're 17. Whatever. Blah blah blah. Just invest. You know, that you're gonna make a bunch of money. You'll be 18 with a shitload of money from this investment. I was like, okay. Yeah. Good for both of us. You know, this is my friend, my buddy. I want him to I wanna see him make it. You know, I want him to be, you know, well off financially. I'm a good guy. You know, I'm a bro. So me doing that, you know, finding out it was fake a little while back. But, yeah. So I can't remember what I said in the last thing because I did this a little this is a little bit wild further that I'm making this video. So whatever, blah blah blah. All the people that is are in this TikTok agency that I talk to on a daily basis and go live with and battle them. They are all young, you know, freshly 18, 19 year olds, handsome, you know, definitely look like they're they'd be attractive on the scale. They get a bunch of girls, whatever, blah, blah. They're fit. This is the people that he brings into his agency and he talks to and says they're cute. Yeah. He's pretty cute. You do well. You're you're hot. You do you do really good. Oh, man. And he's like 26 years old. I found that super weird. And, well, after the trip was after the trip was done, I had a good time, had a laugh. We were having a freaking great time. Golly. This was awesome. Week later, you know, I get in this livestream with someone that I had to block. He went on I didn't have to block. He went on my phone and just started blocking these people because he he's like, it's too complicated. Let me just get on your phone and block these people because these are my ops. These are people you do not wanna be talking to. These people are gonna do something in some way to you that you don't want. And that person seemed to be well, them them people found I found out were someone that was in a lawsuit with him for Camille being in the wrong. And the other person was a person that he scammed and is telling everybody on the app about what he does. So he had me block them before I could get to know about what he actually is onto. He's not actually trying to be my friend. He just wants to scam me for money and take me on this trip to make it to maybe even get with me. As scary as it sounds, he wanted to do something with me because he bought the one bed and I did not wanna sleep on it with him. He got all cranky with me. Whatever. Blah, blah, blah. Yeah. So this this story goes on. You know? I call him. I'm like, hey, Camille, need my money back. I don't have enough I'm lying. I don't have enough money for food right now. I'm in this terrible situation. You know how my life is right now. I'm sleeping on a floor. I just had to move out. You know? Everything's not going well in my favor right now. I just need my money back as soon as possible. And he's like, yes. Cash out me $500, and I'll get it out for you. Cash out him $500, said I would get my money a week later. I gave him my banking information, said it wasn't right. Must have been something wrong with the banking information. I rechecked it. It wasn't wasn't wrong. So he made me some other banking information. Sent him that. He's like he just like, no, man. I I don't know what's going on. You're just it's just not going through. I don't know why you're not getting your your money back. And I was like, really? So you're telling me that Gymshark and GNC haven't responded in in multiple days now for this brand deal that they wanted me for, and I'm not getting any confirmations on the investments that I've I've sent to you. And I'm not getting my money back. And I've been getting told by people that I am not supposed to be talking to you because you're a horrible person. And he's and he's like blows up at me. He freaking blew up at me. He's texting me, telling me that he's suing me for a hundred and $80, 9 accounts of something about I broke the rules in the NDA contract. I signed at the coffee shop that I never read, saying that I broke nine accounts and it's $20,000 each account. So I'm now down $180, I'm thinking. And keep in mind, this NDA signed was not done in good faith, so it was never a real thing. He only did that to leverage on me, make me think that I couldn't say anything or do anything or tell anybody about this because of the NDA contract. And I was like, Camille, I literally I'm in the worst situation right now. I was on the I I I had to call him. I was literally crying because I was like, my life is a fucking pile of shit right now. And you're really gonna do this to me right now, saying all of this stuff, and you're making my life so much worse. I hung up on him. I was pissed, fucking so pissed and crying. Then I ignored him. He was texting me, raging, whatever, blah blah blah. Next day, his agency got taken down. His TikTok agency that I was still in. TikTok agency got taken down. The reason it got taken down is because some higher ups found out that he was scamming multiple people, fresh 18 year olds that don't have enough money to pursue legal action against him because he took all their money, and just pocketing it. Using it to go on more trips with other fresh 18 year olds and hopefully trying to be able to get with them with, you know, being in the one bed, taking advantage of them with the weird guy that he is, freaking Diddy Junior over here. It's it's unreal. Man, it's sickening to be even even talking about this. I don't know how I got into this wrapped up in the situation and got my friend. I feel like a piece of shit. My friend's not gonna get his money back. He's still trying to get his money back to this day, and he's not even 18 yet, so still illegal. I don't know how I got wrapped up in this situation. At this point, I'm just like, holy shit. I'm just gonna do a bunch more research, find out as much people that got scammed. His agency got taken down, right, like I was saying before. Sends me a picture of a gun to his head on Snapchat. A gun to his head. And I'm like, Camille, you don't gotta do this, man. I know everything going on right now is just not good. We got a bunch of shit going on. I think it's all you know what? What's going on? He's like, my agency got taken down. I'm like, it's probably because you're fucking scamming people on the app. And I don't know how to explain this, but I was like in such mixed emotion. I was like, what is my life right now? My friend's losing tens of thousands dollars. I'm losing tens of thousands of dollars. And my friend especially does not have enough money to be able to recover from that. I'm financially okay. He is not. So I feel like the biggest piece of shit in the fucking world. Like, actually, feel horrible. And I did my research, found out that, you know, he was doing more stuff. You know, he did stuff with an autistic fourteen year old, getting pictures from him, sending pictures or something. This is not a confirmed fact. This is something that I heard, so I don't know if it's completely true. I also did spicy. I did the spicy, still do it. And he was he logged into my accounts on my spicy so he could see all my pictures and stuff, that I was, you know, doing for the spicy page. And it's it's essentially like this guy is a lunatic insane, stealing money from young kids and trying to get with them on trips.
Video Transcript AI Summary
Harry Sisson posted "MAGA is mad that I have game, l o l." The speaker agrees with Sisson's statement and calls him a "king." The speaker questions why MAGA would be mad at Sisson. The speaker suggests it's because Sisson "gets bitches." The speaker admits there may be things to dislike about Harry Sisson, but not because of his success with women.
Full Transcript
Speaker 0: Harry Sisson posted double down. He said, MAGA is mad that I have game, l o l, dude. Fucking king. That's so true. Why are they mad at him? Because he's like a player? I mean, seriously. There's a lot we cannot like Harry Sisson about, but not because he gets bitches. Okay. Let's be honest.
Video Transcript AI Summary
A woman recounts meeting a man through mutual acquaintances and trusting him when he claimed to be an attorney who could help her get a visa pro bono. She says he provided a fake bar number and she trusted him because of her friends' association with him. When she and others began to doubt him, he allegedly threatened her, demanding she sign a contract forgiving him of any wrongdoing, including posing as a fake attorney. She claims he faked submitting her papers, took $2,500 from her and donors from a TikTok fundraiser, and fabricated official documents from immigration services, including a fake USCIS fee stamp and action block. The documents falsely labeled her as an alien of extraordinary ability. She contacted the Department of Labor and the embassy, but they had no record of her case. She also says he presented her with a contract from his fake agency on TikTok, threatening legal action if she didn't sign it within three hours. She discovered that attorneys he referenced, Sergejak and Bulgar, had minimal or no association with him. She shares screenshots of unprofessional messages where he asked her and another client to call him "daddy." She urges viewers to share her video to help stop him from hurting other people.
Full Transcript
Speaker 0: My story, and I know there's many other stories that need to be Okay. So I guess this is my my turn to speak up. I'm sorry. English is not my language, so I try to be as clear as possible. But, I've been hearing a lot of stories during the past days, and I just wanna do my part, to, to stop this man and, yeah, and, and stop him from hurting other people. And, so, yeah, I have, let's start from the beginning. So, how do I met this man? So basically, I was hanging out with people that were associated with him, and we were doing, like, nothing. We were doing, like, musical chairs, so, like, a stupid silly game. And, one day, I just he just asked me, on live, how was it how how I was. And, basically, I just told him, oh, I'm good. I'm just, like, researching stuff, to, get a visa and move to The US. And that's when it all started to go down because he told me that he was an attorney, and then he knew everything about immigration because his parents, immigrated to The US. And then he could help me pro bono as a as, like, you know, as just like a favor to to get the visa. And and, I mean, I believed him. He he was very convincing. He provided us a bar number, which then turned out to be fake. And, also, he was hanging out with people that I really trusted. So, you know, I I trusted him, and, yeah, that's that's that's on me. But, I'm just gonna share some, screenshots, to see how it all went down. When I started doubting on him on him and, like, people around my circle started doubting on him, he basically just, start started with the threats. He would just, he would just tell me that if I don't sign this contract, I will get sued. And that contract basically, yeah, I cannot disclose it, but, like, basically said that, if I signed it, I would just, like, forgive him of, like, every wrongdoing, Any any wrongdoing, included being a fake attorney. He faked submitting my papers. He took $2,500 from me. He literally did, fundraising with me on TikTok to help me pay for, the visa fee, and he took from me and and people that donated their money to me, $2,500. And he faked official documents from the immigration services, that I'm gonna show, like, I'm just gonna show in a I'm sorry, I don't I really want this to be as short as possible, but I know that it's already gonna be long. But, let me show something. So, yeah, this is, the paper that he faked, put in a fee stamp and an action block from the USCIS. And this is, his fake bar number, 12695086. Like, he put that, basically, the your CIS labeled me as alien of extraordinary ability and labeled me as e one. And, yeah, this is all fake. These are all the transactions that I sent to this company related to my visa fees, the $2,500 that I was talking about. And this is also the paper that he made me sign so, like, he could prove I was assured that, like, the, $2,500, that I sent him would go to the Department of Labor for my h one b classification. Well, for sure, it's not, I contacted the Department of Labor. They don't know anything. And, yeah, so those money, he used those money for something else. This is, other proof that, he sent these these forms under my name. He said that, basically, it was a 450 page form page form. This was me basically trying my best to find to find my case because, yeah, the USCIS couldn't find it. I talked to the embassy, the embassy of, like, here in Europe to see if everything was filed under my name. Nothing was filed. Yeah. This is me also, like, trying to get a confirmation of him. I typed, You filed and signed my classification to the Department of Labor on February 7. Got the results as me being classified as E1 on the twelfth. And then I was basically asking, I can wait as much as possible to apply for the step that implied me paying other $950. And, yeah. And he admitted it. He sent the papers. After all this drama started to, coming up, I just wanted I signed a fake contract with his fake agency on TikTok, so I just wanted to get out of it. And, yeah. So he sent me a contract, the contract that I mentioned earlier about him wanting me to, like, not taking out any responsibility of undoing on his part. And he gave me two hours and fifty five minutes. As you can see, the time is four, fifty four in the morning for me. I asked him who wrote the contract and, what you can read. And I can just assure you that, this attorney, Sergejak I'm sorry if I'm pronouncing it wrong, and Bulgar. Well, Sergek doesn't even know him because I I spoke to both of them. And attorney Bulgar just, like, filed a document when he started his company and never heard from him ever again. So he's yeah. He's he wants to, like, threaten people with these big names, attorneys, and these big words, but, yeah, he cannot do he cannot do shit. Sorry. I didn't want to cuss, but yeah. So and this is, like, the following of the conversation. And yeah. He just, like he just basically said, oh, if you don't sign, I'll take you to court. And I was very confused. I'm not gonna lie. There's so much more that I should that I could say, but, like, to close everything. Yeah. Just wanted to show you what he would write to me and another client of his. Yeah. So wanted him asked to call him daddy, to get a universe, a typical universe, and, yeah, other very nonprofessional, stuff that would make us very uncomfortable. So, yeah, please share, share, share, this video and help me and other victims, stop, to stop this man. And, yeah, thank you for listening.
Saved - June 8, 2025 at 1:25 AM

@SarahisCensored - Sarah Fields

One of these is not like the other https://t.co/qWIKUc0q4V

Video Transcript AI Summary
The speaker claims that if videos existed of someone committing felonies on an island, they would be released. They assert that there are tens of thousands of videos of Epstein with children or child pornography and hundreds of victims. The speaker states that no victim information will be released due to the volume of evidence. They claim the FBI is diligently going through this evidence.
Full Transcript
Speaker 0: Again, logical play out. If there was a video of some guy or gal committing felonies on an island and I'm in charge, don't you think you'd see it? Tens of thousands of videos of Epstein with children or child porn, and there are hundreds of victims. And no one victim will ever get released. It's just the volume, and that's what they're going through right now. The FBI is diligently going
Saved - May 27, 2025 at 12:55 AM
reSee.it AI Summary
Over the past four years, I've reported on over 300 cases of sexual abuse in Texas public schools, highlighting a much larger issue of systemic neglect. Many cases were silenced or hidden by schools, with offenders often facing no real consequences due to immunity laws. It's crucial that we amplify the voices of affected parents and survivors. Thankfully, HB 4624, which aims to remove this immunity, passed committee unanimously. I urge everyone to contact their Texas Senator to support this bill and ensure it gets the attention it deserves before the deadline.

@SarahisCensored - Sarah Fields

In the last four years, I have reported on no fewer than 300 cases of s*xual abuse occurring within Texas public schools. This is only a drop in the bucket compared to the thousands of cases of children abused by school staff over decades. Some of these cases were mentioned in this Senate hearing, including one where a four-year-old child was sod0mized by school staff. Very few of the cases I have reported on ended with positive outcomes. Schools were emboldened to sweep many of these cases under the rug, turning off comments to prevent people from voicing their opinions, shutting down parents, silencing them, holding secret board meetings, and making covert decisions. Some schools were even caught in the act of erasing/hiding evidence, deleting footage and shredding documents. Many of the offenders were either kept on paid leave and allowed to return, or were passed from district to district with no accountability. Why? Because they are protected by immunity laws in the state of Texas. Some of this testimony is incredibly difficult to hear, but we owe it to these parents to ensure their voices are heard after being silenced by the very schools meant to protect their children. Thankfully, HB 4624, which will remove this immunity to hold public schools liable for these egregious cases, passed committee 11-0. The next step is to have this bill placed on the Senate intent calendar. Sadly, If it is not heard by the end of the day on Wednesday, it will be over. These parents deserve better. As a survivor myself and a parent of a child who has suffered this form of abuse, my heart breaks for them all. Please call your Texas Senator and urge them to support this bill and push to have it placed on the calendar. I ask that you like, share, and spread these testimonies. The more exposure, the more pressure we place on the Texas Senate. We all know this legislature has been disappointing for many so far. Let’s ensure something good comes out of this!

Video Transcript AI Summary
Corey Booth stated her four-year-old son was sexually assaulted by his pre-K teacher in Rockwall ISD. The child reported the incident on October 31st, and police were contacted on November 1st. According to Booth, her son said the assaults occurred during recess with another boy. Booth claims the school's SRO officer and principal reviewed video footage corroborating her son's claim that he was held back during recess, but that the school district then deleted the video. She alleges the teacher sodomized her son. Despite this, the school district allegedly put the teacher back in the school the following year with pre-K students and closed the investigation before interviewing the teacher. Booth says the teacher is well-connected in the county and that a previous state representative took no action. She says the grand jury found the teacher not guilty, and the school put her back in the classroom. Booth says two other students came forward, but one family is afraid to testify due to the father's immigration status. Booth says attorneys have told her the schools have immunity.
Full Transcript
Speaker 0: Name is Corey Booth. I'm the mother of a four year old that was sexually assaulted in Rockwall ISD. He was sexually assaulted by his pre k teacher. He told us about the incident on Halloween, October thirty first, and we contacted the police department of Rockwall PD on November 1, and he was interviewed at the CAC on November 1. The teacher was put on leave. CPS was alerted, but literally nothing was done. We're sitting at the CAC with the sheriff's investigator and they tell us my son stated that this was happening during recess, that he was being held back in recess with another little boy named David. As he was being interviewed, the sheriff let us know that the SRO officer who was also who's worked for the sheriff's department and the principal had reviewed the video, and the video corroborated my son's claim that he was being held back in recess with this other little boy. That video was then deleted. The school district deleted the video deleted the video that corroborated my four year old's testimony that the teacher had done this. This teacher did not only just touch him, she sodomized him, a four year old. So I watched the light of my beautiful, happy little boy go out in an instant because there are sick predators in schools and this bill is needed to rid those predators. The school district put her back in the school the following year, brought her back into to teach the most vulnerable students, pre k students. They closed our investigation before they even interviewed the teacher. This teacher has a lot of influence in our county. She is a very well connected individual, one of the older families in Rockwell County. I reached out to the previous state representative, Justin Holland, who's no longer here. His family has ties with her family. Nothing was done. Nothing was done to protect my son. We were told to be quiet, say nothing, do nothing. So we did. We listened. Supposedly, her case went before the grand jury and the grand jury found her not guilty. They put her back in school. They put her back in school with the most vulnerable students. So our family did the only thing that we could do. We came public. There were two other students. I don't know if I can say this. There's two other students that came forward. One is a little girl whose family will not share testimony because the father is an illegal immigrant, and they're afraid that he's going to be deported if they speak. This is a major, major problem. This bill is absolutely necessary. There is no recourse. If you had a teacher who you were suspecting had any chance of molesting, a four year old doesn't make up that someone molests them. They don't. They don't have the bandwidth. They don't have the ability to do it. He has named one person over and over and over and over. Never named anyone else. He very clearly said who his abuser was. The school district thought it was a good idea to put her back in a classroom with the most vulnerable students and thought it was okay because they will roll the dice at the expense not of just my child because this bill is not going to help my child, but it will help future children. It will help future families actually have a voice. We have reached out to every attorney in the state of Texas and California and every take our case. You know what they say? The schools have immunity. Yeah. There's nothing we can do. Thank you for your testimony. Members, any questions?
Saved - April 18, 2025 at 7:30 PM

@SarahisCensored - Sarah Fields

X. This MUST be a joke. @elonmusk https://t.co/bIMc9ZDnyD

Saved - April 18, 2025 at 7:30 PM

@SarahisCensored - Sarah Fields

Thank you for having me on!

@WBAP247NEWS - WBAP 24/7 NEWS

Sarah Fields responds to criticism from the Karmelo Anthony press conference @SarahisCensored @jamesparkershow @WBAP247NEWS https://t.co/jSdaMNPFrw

Video Transcript AI Summary
Dominic Alexander, head of Carmelo Anthony's press conference, printed tweets targeting journalist Sarah Fields, accusing her of "despicable things" and "lies" threatening the family. Fields responded that Alexander is angry because she exposed him. Fields investigated Alexander's Next Generation Action Network Foundation, a BLM-supporting 501c3, alleging he doesn't keep track of financial records and has twice filed with the IRS since 2014. She also reported on Alexander's criminal history, including felony injury to a child in 2009, forging a check, leading police on a high-speed chase, car theft, probation violations, robbery, felony assault, and violence against family, including attempted strangulation. Alexander claimed they haven't used Gibson Go money to buy a car or rent a house, stating they haven't accessed the funds. Fields countered that the family purchased a new car and is renting an $800,000 home since the incident. She questioned why, if they were living large, they told the judge they were hard up for money at the bond hearing and didn't even cover the bond amount, which a bondsman volunteered to pay.
Full Transcript
Speaker 0: So it was, toward the end of the press conference, Dominic Alexander, the the guy that was heading the Carmelo Anthony team press conference today, started holding up tweets that he printed out from social media, and he targeted one influencer in particular, journalist probably is a better word for it, Sarah. Speaker 1: I'm gonna show something up of a post. You come for me, I come for you. Sarah Fields, never heard of this woman. This is the kind of despicable things that led to the father being here. Political opt operatives motivating this family with hate. Camilo Anthony posted on something that shows. Posted here. These are the type of lies that are that are threatening this family. Posting the family's picture. Speaker 0: Oh, not Speaker 1: a These are type of lies. Speaker 0: Not a picture. Speaker 1: She's getting millions of views. Speaker 0: Pictures are lies now y'all. Speaker 1: On this. Sarah. She's even came after me. I asked. Because these racist bigots try to prevent us from standing up for our baby, our boy. Speaker 0: Yeah. Enough of that. And the racist bigot herself is now on The James Show. Sarah Fields, how's it feel to be part of the press conference today? Speaker 2: That, to be honest with you, that was pretty wild. My jaw dropped, and I had to gather myself. I was not expecting that at all today. Speaker 0: So why why would you lie about why would you lie about Dominic Alexander on social media, Sarah? Speaker 2: My goodness. I don't know. You know? There's so much documentation that, I guess I fully edited, you know, took hours to edit by myself, and, you know, AI is crazy these days. So so, man, he's angry. He's angry because I exposed him for who he is. Speaker 0: So I think most people may have heard of this guy but don't realize his backstory. Can you give, like, the thirty second summary of what you found out about our friend Dominic? Speaker 2: Oh, thirty seconds is really hard, but I'll try. My investigation basically started into his into his organization called the Next Generation Action Network Foundation, which is a BLM supporting 501 C 3 that he's actually owned five or six different ones that have been named similar the same, and he bounces from 50 1 C to 50 1 C because he does not keep track of his financial records, and he's filed records twice twice since 2014 with the IRS. Speaker 0: And you're supposed to do that every year. You know, it's fun that you were focusing on that. I figured you would focus on, you know, the going to prison and getting convicted of other crimes and then break your parole violations and going out of state without telling your parole officer and things like that? Speaker 2: So I did, actually. I did go into that Speaker 0: Oh, you got that too. Okay. Speaker 2: Probably. Yeah. Which is what also angered him. I have seven, eight, nine, 10 one, two, three, four, five, six, seven, eight, nine, 10 different photos of him, mugshot, where he caused a fellow felony injury to a child in 02/2009. It was a two year old that he caused brain injury to. I have, where he forged a check. He led police on a high speed chase in 02/2009. He, has gotten in trouble for car theft, falsely claiming that his car was stolen. Offensive physical contact. He has violated his probation multiple times, theft of property, robbery, felony assault causing serious bodily injury in 2019. Another misdemeanor assault in 2019, violence against family. I actually looked into that further, and it turns out that he actually attempted to strangle his girlfriend. Another theft, making a false report, evading arrest. It goes on and on. And I did put out an exclusive of all that plus, you know, the fraudulent organization that he runs. Right. And I guess that angered him to the point that he felt the need to mention me today in his press conference. Speaker 0: Alright, Sarah. I'm only gonna bother you for one more minute because I I know you're in the middle of something right now. But, one thing where he did push back and get some of your reporting is he was saying, well, we haven't used any of the Gibson Go money to buy a car or rent a new house. We haven't even gotten access to that money yet. But he never says we didn't rent a new big house or buy a new car. What's your response to that? Speaker 2: Well, he did. They they well, they did. The family did purchase a new car. They in are renting an 800,000 home. They don't own it. They rent it. Speaker 0: But did that start since this in in the last two weeks? Speaker 2: Yes. Wow. See, the thing is they they say that they do not have access to the funds yet, but you can make decisions based on, you know, well, I will be receiving these funds eventually. Not to mention, I would also like to point out that a lot of people are saying, oh, no. They've they've been in this home for a while. They had this car for a while. Okay. If this is true and they were living large like that, let's just say it's true for a minute. Then why did they tell the judge on Monday at the bond hearing that they were hard up for money and that they needed the bond lowered? And then because they said they were so hard up for money and they were hurting so bad, they didn't even cover the bond amount. A a bondsman is actually who volunteered his own money to cover the bond. They didn't even pay for it. Speaker 0: Alright. Get back to taking care yeah. We're out of time here. Get back to taking care of your kiddos. Keep an eye on these guys, and, you big old racist bigot. We'll have you on future shows to keep track of this because I think we made a new friend. He didn't know who you were before, but I I don't see any reason why Sarah Fields and Dominic Alexander can't be friends after all this.
Saved - April 17, 2025 at 8:18 PM
reSee.it AI Summary
Dominique Alexander, a felon known for a severe child abuse case, has reacted angrily to my exposure of his fraudulent activities while posing as an advocate for Karmelo Anthony’s family. During a press conference, he called me out by name and showcased my posts, including Karmelo’s arrest report and a threatening message I received. His actions have put a target on me and my family, but I refuse to be intimidated. I have faced numerous threats recently, and I anticipate more. I ask for prayers for my family during this time.

@SarahisCensored - Sarah Fields

Dominique Alexander, a felon who beat a baby to the point of brain injury and is acting as an advocate for Karmelo Anthony’s family, is angry that I exposed him for who he is: a grifting, racist pot-stirrer running a fraudulent organization. He called me out by name during his press conference. He held up my posts, including Karmelo’s arrest report, which I obtained through a FOIA, and a post in which I was threatened (a strange choice to highlight), among others. He claimed my intent was to interfere with Karmelo’s family receiving assistance. This man has placed a target on me and my family for reporting the truth and investigating him and his organization. This is who he is, and I will not be intimidated. I am no stranger to threats; I have received them nearly every hour for the last four days. It will likely get worse. Please pray for my family.

Video Transcript AI Summary
Sarah Fields is allegedly spreading lies and hate about the family, including posting their picture. The speaker claims Fields is targeting them and has come after them. The speaker believes these actions are motivated by racism and bigotry, attempting to prevent support for their child. The speaker argues their child should have the same rights as Kyle Rittenhouse and Daniel Pinder. They highlight that Rittenhouse, who was filmed shooting three people, raised over $2,000,000 publicly without criticism. The speaker is calling for community support to counter the disinformation deliberately aimed at preventing assistance to the family.
Full Transcript
Speaker 0: Sarah Fields. Never heard of this woman. This is the kind of despicable things that led to the father being here. Political opt operatives motivating this family with hate. Camilo Anthony posted on something that shows posted here. These are the type of lies that are that are threatening this family. Posting the family's picture. These are the type of lies. She's getting millions of views on this. Sarah, she's even came after me. She's even said all of those things. And now that the public knows exactly what is going on, I asked because these racist bigots tried to prevent us from standing up for our baby, our boy, He should be afforded the same rights that Cal Rittenhouse had. Daniel Pinder and all of the people who have claimed whatever their defense was, he should be afforded the same right. Nobody in the public media has one video camera, but we got the video of Kyle Rittenhouse with an AK 47 shooting three people in the back. We got that. And he raised more than $2,000,000 publicly and nobody said anything. So since they're trying to come for us, I call for the community's overwhelming support for this fund. The disinformation that was put out was literally deliberate to prevent you from helping this family.
Saved - April 15, 2025 at 3:30 PM

@SarahisCensored - Sarah Fields

They have already moved into a massive 3500 square-foot home valued at over 800K that they are renting from Indian investors out of Frisco. This is what GiveSendGo did. https://t.co/P8LmmZRVUW

@AFpost - AF Post

Karmelo Anthony’s family, following his murder charge in the killing of Austin Metcalf, plans to use $400,000 in donations to buy a new home and hire security amid alleged “racist threats.” Follow: @AFpost https://t.co/dghIt8Ui4N

Saved - April 8, 2025 at 2:31 PM

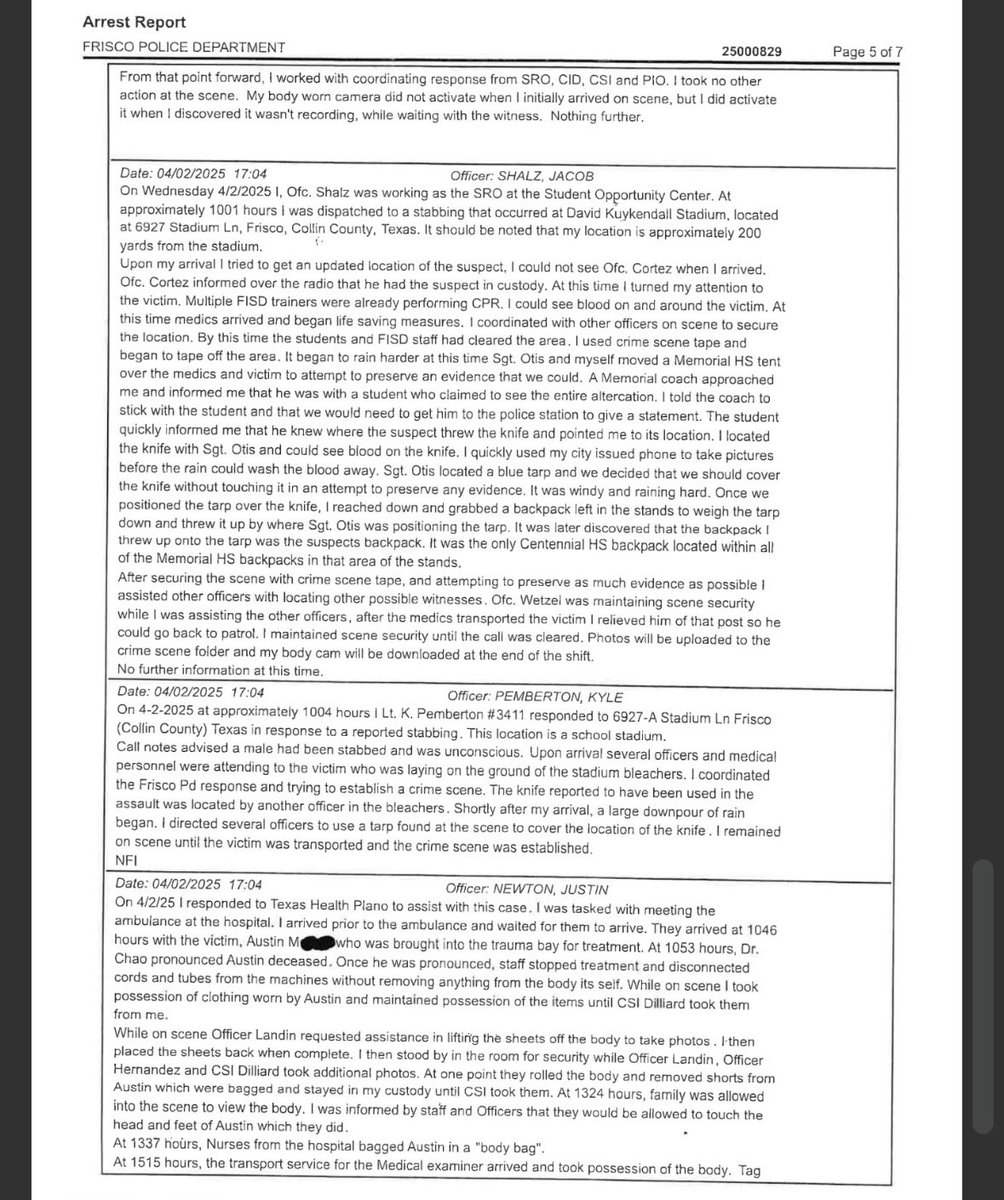
@SarahisCensored - Sarah Fields

FULL ARREST REPORT OF KARMELO ANTHONY. (a thread) https://t.co/Xwq1iDbdie

@SarahisCensored - Sarah Fields

Number 2 https://t.co/bVKb6atayx

@SarahisCensored - Sarah Fields

Number 3 https://t.co/GENLDy9WjU

Saved - April 3, 2025 at 6:54 PM

@SarahisCensored - Sarah Fields

This was posted just hours before he chose to stab Austin Metcalf. https://t.co/hbvDKsWzoh

Saved - March 21, 2025 at 11:48 PM
reSee.it AI Summary
Since NewsMax postponed my interview, I’m sharing crucial information about Camil T. Maroun. I urge all victims, including Harry Sisson, to step forward. The evidence against Camil is extensive and was previously submitted to the FBI but ignored. Camil, founder of M-Pulse, has deleted his online presence amid allegations of extortion and manipulation of young influencers, including minors. A recorded call reveals his confessions. I call on all victims, especially Harry, to publicly denounce Camil and demand an investigation.

@SarahisCensored - Sarah Fields

Since NewsMax "rescheduled" my interview, I'm going to reveal what I was going to reveal in the interview. 🚨This is a PLEA to all victims of Camil Maroun, including Harry Sisson. Harry, you are either involved or a victim. You need to decide what you want to be.🚨 The file of evidence on Camil T. Maroun is extensive. It has all been provided to me and it is very damning. But here is the issue: all of this evidence was also provided to the FBI under the Biden administration and was quickly swept to the side. Here is a FEW facts that we know about Camil T. Maroun and what NEEDS to happen. This is bigger than Harry. This is bigger than any other story I have covered in the past. • Camil is the founder of an LLC named M-Pulse. Since information about Camil has begun to leak from his victims, he has deleted all of his social media, deleted his LinkedIn, and rerouted his website to TikTok. • Through an advertisement that was released, Harry Sisson admits to being "Chief of Staff" for this LLC and worked closely with Camil. However, Harry no longer works for Camil, due to the fact that Camil stole a sizable amount of money from Harry. • Camil's LLC was a company that advertised themselves as a career agency for young influencers on TikTok. But this was not the case. • Camil pretended to be an attorney who provided “legal advice” for a fee. Camil would target young influencers on TikTok and say that he could help them. He seemed to have a type, as most were young men who were 18-19. He would gain access to all of their social media, including passwords and usernames. • We have evidence that Camil extorted his victims who were minors for s*xual acts, including taking young boys on cruise ships. • He would also prey on minors and young adults in other countries, promising to help them obtain their visas. They would send $2500 via PayPal to Camil. Then Camil would send fake documents showing that he had applied. When the visa would not go through, the clients would then ask why, and Camil would ask for more money. Once a client realized they were being scammed, Camil used his fake attorney status to send a fake cease and desist letter. • Camil did gr00m and manipulate an Australian 14-year-old boy. This particular boy has released videos speaking on this that I will not be posting in this thread for legal reasons. I will not mention his name or show his face. And if you have continued to share this video, shame on you. He is a child. • A honeypot-recorded phone call with Camil, the 14-year-old minor, Harry Sisson, Chris Mowrey, and one other person I will not name revealed a full confession from Camil regarding the things he had done to the minor. • A former New York legislator, who was in office at the time and also works in emergency services dealing with victims regularly, provided all of the evidence and information to the FBI under the Biden administration. Instead of providing all of the evidence, the recorded phone call, and information provided to local authorities and conducting an investigation on their own, they closed the investigation and threatened the legislator, telling him to "stop harassing Camil". He was threatened with “charge of obstruction and harassment”. I am in contact with this former legislator. Evan is one of hundreds of victims of Camil. This is a plea to ALL VICTIMS to come forward, including Harry Sisson. Harry is either a victim or is complicit. We need to place pressure on Harry to publicly condemn Camil Maroun and call for an investigation IMMEDIATELY.

Video Transcript AI Summary
Denny Junior Camilo Maroon had the speaker invest in LLCs for fake Gymshark and GNC brand deals, costing $1,400. The speaker sent the money via Cash App, but Camilo pocketed the extra funds. Camilo showed the speaker a fake Gymshark brand deal document. The speaker's friend invested $14,000, and the speaker invested an additional $5,000. Camilo encouraged the underage friend to invest, claiming he would make a lot of money. Camilo blocked people on the speaker's phone who were either in a lawsuit with him or had been scammed by him. The speaker asked for their money back, claiming to need it for food, but Camilo requested $500 upfront, which the speaker sent. Camilo then claimed issues with the banking information. Camilo blew up at the speaker, threatening a lawsuit for $180,000 for allegedly breaking an NDA. Camilo's TikTok agency was taken down after higher-ups discovered he was scamming young people. He sent the speaker a picture of a gun to his head. The speaker also heard unconfirmed reports of Camilo's involvement with an autistic fourteen-year-old and that he logged into the speaker's spicy account.
Full Transcript
Speaker 0: So part two here. Anyways, this this, Denny junior Camilo t Maroon here. He had me invest in these LLCs for two brand deals that he said were really amazing. And I was like, okay. Should I invest in these these it was a Gymshark and GNC brand deal that he said I was getting, which was fake, by the way. And he told me that I needed two LLCs to be created, and it costs $1,400 for both of them to be made. And I believed him. I was like, because I'm a fitness influencer. I'm young. I wanna be in sponsorships and brand deals with these awesome big companies. You know? Cool. I'm like, yeah, dude. Get get me the LLC. How do I do it? He's like, just send me $1,400 in Cash App. I'll get them created, and everything will be said and done. Well, it was fake. You know, I sent him the $1,400. He made the LLCs, but he pocketed the extra money that he didn't have to spend to make those LLCs. So then he sends me this screenshot or this thing while we're on FaceTime of him showing me the picture of, or the the the document or whatever you would say of Gymshark's brand deal, which was fake. That's also fake. So now I'm realizing that's an edited picture. That's not even from Gymshark. I know what it would look like. That is not even real. Now I'm like getting a little more sketched out. But, man, maybe I'm just overthinking everything. This is probably just all like this is probably all just not even that bad, and I'm just overthinking it because I've never been on a trip with someone to a different state that I just met. Maybe I'm overthinking it, and this is actually just opportunity that I need to chase. So I told my friend to invest with him, and my friend invested 16,000 or no, $14,000. And I wanted to to give him another $6,000 to invest, and then I invested $5,000 extra with my money. So now I just spent 11,000 more of my money, technically 5,000 because I gave him 6,000 to invest more. So now we're down tens of thousands of dollars not even knowing it at this point. And my friend was not in the agency. He's he's 17 years old. He's not even old enough to be able to be investing. So he's underage. This is illegal already. Alright? But Camille's like, you know what? It's fine. You're 17. Whatever. Blah blah blah. Just invest. You know, that you're gonna make a bunch of money. You'll be 18 with a shitload of money from this investment. I was like, okay. Yeah. Good for both of us. You know, this is my friend, my buddy. I want him to I wanna see him make it. You know, I want him to be, you know, well off financially. I'm a good guy. You know, I'm a bro. So me doing that, you know, finding out it was fake a little while back. But, yeah. So I can't remember what I said in the last thing because I did this a little this is a little bit wild further that I'm making this video. So whatever, blah blah blah. All the people that is are in this TikTok agency that I talk to on a daily basis and go live with and battle them. They are all young, you know, freshly 18, 19 year olds, handsome, you know, definitely look like they're they'd be attractive on the scale. They get a bunch of girls, whatever, blah, blah. They're fit. This is the people that he brings into his agency and he talks to and says they're cute. Yeah. He's pretty cute. You do well. You're you're hot. You do you do really good. Oh, man. And he's like 26 years old. I found that super weird. And, well, after the trip was after the trip was done, I had a good time, had a laugh. We were having a freaking great time. Golly. This was awesome. Week later, you know, I get in this livestream with someone that I had to block. He went on I didn't have to block. He went on my phone and just started blocking these people because he he's like, it's too complicated. Let me just get on your phone and block these people because these are my ops. These are people you do not wanna be talking to. These people are gonna do something in some way to you that you don't want. And that person seemed to be well, them them people found I found out were someone that was in a lawsuit with him for Camille being in the wrong. And the other person was a person that he scammed and is telling everybody on the app about what he does. So he had me block them before I could get to know about what he actually is onto. He's not actually trying to be my friend. He just wants to scam me for money and take me on this trip to make it to maybe even get with me. As scary as it sounds, he wanted to do something with me because he bought the one bed and I did not wanna sleep on it with him. He got all cranky with me. Whatever. Blah, blah, blah. Yeah. So this this story goes on. You know? I call him. I'm like, hey, Camille, need my money back. I don't have enough I'm lying. I don't have enough money for food right now. I'm in this terrible situation. You know how my life is right now. I'm sleeping on a floor. I just had to move out. You know? Everything's not going well in my favor right now. I just need my money back as soon as possible. And he's like, yes. Cash out me $500, and I'll get it out for you. Cash out him $500, said I would get my money a week later. I gave him my banking information, said it wasn't right. Must have been something wrong with the banking information. I rechecked it. It wasn't wasn't wrong. So he made me some other banking information. Sent him that. He's like he just like, no, man. I I don't know what's going on. You're just it's just not going through. I don't know why you're not getting your your money back. And I was like, really? So you're telling me that Gymshark and GNC haven't responded in in multiple days now for this brand deal that they wanted me for, and I'm not getting any confirmations on the investments that I've I've sent to you. And I'm not getting my money back. And I've been getting told by people that I am not supposed to be talking to you because you're a horrible person. And he's and he's like blows up at me. He freaking blew up at me. He's texting me, telling me that he's suing me for a hundred and $80, 9 accounts of something about I broke the rules in the NDA contract. I signed at the coffee shop that I never read, saying that I broke nine accounts and it's $20,000 each account. So I'm now down $180, I'm thinking. And keep in mind, this NDA signed was not done in good faith, so it was never a real thing. He only did that to leverage on me, make me think that I couldn't say anything or do anything or tell anybody about this because of the NDA contract. And I was like, Camille, I literally I'm in the worst situation right now. I was on the I I I had to call him. I was literally crying because I was like, my life is a fucking pile of shit right now. And you're really gonna do this to me right now, saying all of this stuff, and you're making my life so much worse. I hung up on him. I was pissed, fucking so pissed and crying. Then I ignored him. He was texting me, raging, whatever, blah blah blah. Next day, his agency got taken down. His TikTok agency that I was still in. TikTok agency got taken down. The reason it got taken down is because some higher ups found out that he was scamming multiple people, fresh 18 year olds that don't have enough money to pursue legal action against him because he took all their money, and just pocketing it. Using it to go on more trips with other fresh 18 year olds and hopefully trying to be able to get with them with, you know, being in the one bed, taking advantage of them with the weird guy that he is, freaking Diddy Junior over here. It's it's unreal. Man, it's sickening to be even even talking about this. I don't know how I got into this wrapped up in the situation and got my friend. I feel like a piece of shit. My friend's not gonna get his money back. He's still trying to get his money back to this day, and he's not even 18 yet, so still illegal. I don't know how I got wrapped up in this situation. At this point, I'm just like, holy shit. I'm just gonna do a bunch more research, find out as much people that got scammed. His agency got taken down, right, like I was saying before. Sends me a picture of a gun to his head on Snapchat. A gun to his head. And I'm like, Camille, you don't gotta do this, man. I know everything going on right now is just not good. We got a bunch of shit going on. I think it's all you know what? What's going on? He's like, my agency got taken down. I'm like, it's probably because you're fucking scamming people on the app. And I don't know how to explain this, but I was like in such mixed emotion. I was like, what is my life right now? My friend's losing tens of thousands dollars. I'm losing tens of thousands of dollars. And my friend especially does not have enough money to be able to recover from that. I'm financially okay. He is not. So I feel like the biggest piece of shit in the fucking world. Like, actually, feel horrible. And I did my research, found out that, you know, he was doing more stuff. You know, he did stuff with an autistic fourteen year old, getting pictures from him, sending pictures or something. This is not a confirmed fact. This is something that I heard, so I don't know if it's completely true. I also did spicy. I did the spicy, still do it. And he was he logged into my accounts on my spicy so he could see all my pictures and stuff, that I was, you know, doing for the spicy page. And it's it's essentially like this guy is a lunatic insane, stealing money from young kids and trying to get with them on trips.
Saved - March 20, 2025 at 1:18 PM
reSee.it AI Summary
I shared a thread about Hannah, who clarified her experience regarding Camil Maroun, who she claims was coaching and potentially grooming a 14-year-old autistic teen in Australia. Hannah informed Harry Sisson about Camil's behavior, and he expressed shock, claiming he would report it to the FBI. However, he never did and continued working with Camil. While I’m not accusing Harry of a crime, it's crucial to recognize that failing to report known crimes for personal gain can be a crime itself. Hannah's evidence is included in the thread.

@SarahisCensored - Sarah Fields

This is Hannah. Unfortunately, many content creators on X embedded her video from my thread last night and misconstrued the truth about what she said. Last night, on the space we held to give the girls a platform to share their stories, she clarified everything. Summary: Harry Sisson worked for a young man named Camil Maroun. According to Hannah, Camil was coaching and potentially gr00ming a 14-year-old autistic teen in Australia. According to Hannah, she informed Harry about Camil’s behavior. Harry acted as if he was appalled and said he was “going to report the issue to the FBI.” Once he said those things, Hannah was happy and said, “Okay, I’m glad we can be friends again.” Harry then immediately asked Hannah for nudes. However, Harry lied. He did not report the issue to anyone. He stayed silent and continued working for Camil. While we are not accusing Harry of a crime, it is important that everyone understands that knowing of a crime and not reporting it for your own benefit is considered a crime in itself. At a minimum, I hope this is investigated. Hannah’s receipts are in the thread.

Video Transcript AI Summary
The speaker met Harry in the summer of 2020 and had a friends-with-benefits relationship with him. She considered him a best friend until he recorded her getting someone to admit to graping her. After Harry started drinking, he became aggressively flirty. The speaker noticed a shift in Harry when he gained more attention and created an exclusive Discord. Harry then began working for someone named Camille, who the speaker's father warned her about. A minor in the Discord sent the speaker concerning messages regarding Camille, which she cannot legally show. The speaker told Harry about Camille's actions, but Harry continued working for him. The speaker advised Harry that she was contacting the police about Camille's behavior towards the minor, and Harry advised her not to. The speaker shares screenshots of Harry asking for nudes at inappropriate times. She confronted Harry about her suspicions regarding his relationship with Camille. She received a fake cease and desist for $500,000 accusing her of racism. The speaker also shares a recording of a threatening phone call she received, where an unidentified person threatened to kill her if she posted anything about Camille. The speaker's friendship with Molina ended because she was posting about Harry.
Full Transcript
Speaker 0: Shall we So before I get into these around 50 screenshots providing evidence and context for anything that I have said, I do wanna reiterate something just for even more context. I met Harry in summer of twenty twenty. We were both kind of like the original political TikTokers, and we were on the Dem Hype Pass, which was a huge political TikTok account. Our relationship has always been friend based. However, when I did go to Jersey to visit my aunt, he has a summer house there, so we did hook up a couple times. So it was kinda like friends with benefits, but it was kind of established that if we saw each other in person, we'd probably hook up. But our conversations outside of seeing each other in person or whatever were never really, like, flirty or anything like that. So I was never under any sort of impression that we were exclusive ever. We never were like that. So my story is gonna be different than, a lot of these girls. Just putting that out there. So up until about, maybe the beginning of twenty twenty three, I would have considered Harry one of my best friends. And let me know if you see a pattern here. But, what really kicked that off was that he was the one recording my grapest, when I called him and got him admitting to graping me on audio. Okay? Which was great. Whatever. And then Harry started drinking. So when Harry started drinking, he started getting a lot more aggressively flirty. I apologize for my hand tremors. I can't control them. But if you wanna pause and screenshot those, these are times in which Harry was getting obliterated drunk and, calling, FaceTiming, and saying very sexual things to me. I didn't really care. You know? It's whatever, drunk words, sober thoughts. You get it. And then this is when I noticed kind of a shift in Harry. He started to gain a lot more attention, a lot more of a following, and he created a Discord in which it was a very exclusive Discord, and very strange creepy people were allowed in the discord. I was in it for a little bit, but I was like never allowed to talk in it. So that's where Harry meets somebody named Camille. Okay? I was advised not to, by my father, not to pursue an internship or a job with this Camille guy because my dad said he looked sketchy. Harry decided to go ahead and do so. And this is when I started getting messages from a minor with autism who is also in the disc the discord. He was probably around 14 at the time. And he was sending me some concerning things regarding what Camille would send to him. Those are things I cannot show, for legal reasons, but very much so did happen, and I contacted his mom, everything. But you know who was working for him? Harry. And I told Harry about everything that Camille was doing. Here's a proof of that. This is a conversation between Camille and the minor in question. Camille texts him, why do they know so many details then? Why do they have screenshots? And in those same texts, will see him saying he's going to lose a business partner, a k a Harry. Now Harry would respond with, yeah. That's super messed up. I won't, like, work for him anymore. That's crazy. And then I got this message from the minor saying that Harry still is working for Camille. So I reach out to Harry. And this is the conversation from that little debacle. And then it got to a point wherein I was seeing if I should be contacting the police because this minor happens to be based internationally. He's not in America. And I advised Harry that I'm doing so, and he starts advising me not to do so through call, through FaceTime audio, mind you. But here's the conversation about him advising you not to do so. And if you see with all of the other girls too, he loves calling women lunatics. They're crazy. Conspiracy theory, his favorite. Okay. Let's continue. Oh, here's a random little tidbit, not really related to what I'm talking about, but I figured I'd share screenshots of Harry with my saved inappropriate photos in the chat. See, I am really sitting here admitting that I did send inappropriate because it was, a fun little flint. For me, this is, like, less about the romantic part of anything. I don't really mind that. I don't like that they're saved, but, like, the whole, inappropriate photos thing, not really my main, issue. The context of it is, though. So hold on. So here's me saying point blank to Harry. What's a conspiracy theory? The grooming part of me quite literally finding your relationship with Camille and all of this is suspicious. That's a speculation, not a theory. Anyway and this is after Harry called me about 20 times and me not answering and him saying this truly insane. Like, Hannah, you don't know anything about Camille in this entire situation, or do you know what Chris and I dealt with when it came to me? Essentially, like, putting his issues with Camille above the fact that he's literally grooming. A minor. Anyway, eventually, however, I was manipulated into thinking that he was no longer working for Camille. Whoops. So then October 7 happens. I I also I don't know if I showed this already, but this is also important in the context of everything. I'm sorry. This is so confusing. Everything is everywhere. Okay. So then Harry calls me saying that he's making some federal complaint against Camille. Okay? And I'm like, period. Right? And so here's that conversation. Essentially, he tells me that, two other people are in on it. And then I said, okay. We have a little tidpath behind us. We're homies now. He then asked me for nudes, unsent the unsent the message. And that's what I was talking about when I said tried to get me to send him nudes because he pretended that he cared about the predation. So I said, I saw that you freak. Are you drunk or something? Okay. But I didn't realize that until way later on, because then October 7 happened, we were constantly arguing about that. So here is me trying to call Harry because I was trying to talk to him about, you know, Middle East stuff he questions. He says he's tired. I say whatever. He goes, you know what it's a perfect time for though? Referring to nudes. I said, you're funny. Then he unsent a message, and I said, saw that you freak. Anyways, then I had a phone call with the minor. He called me at like 10PM. I was like what the fuck? I answer and he's asking these really really strange questions and I'm like what the hell? Come to find out Harry and Camille were working together to try to get me to say something so if I say anything in the future I'd lose my credibility. Okay. And here I know it's small I was trying to preserve ink and I know it's probably going to be backwards too whatever. I'll post these more straight up next time. That is the fake cease and desist I received soon after, for $500,000, accusing me of racism on TikTok because I, have anti Zionist approaches to things, amongst a ton of other insane things which I will share later on. So I confronted him about it yada yada yada and if I didn't already have enough proof of him asking me for inappropriate pictures at very inappropriate times here's more where I say to him so true he wanted me to stop picking an argument with him stupid So true. I'll meet you in the middle. Next time you want inappropriate pictures, just find someone else and leave me alone next time. He said, yeah, that definitely works for me. So there's him admitting that. Anyways, here's also more creepy texts regarding inappropriate photos. I don't remember the context of some of these. So now when the creepy texts and threats come in. This is my favorite part. All of these. Okay. All of these are all screenshots of threatening text seg off, but it doesn't end there. I have an audio. So I got a phone call from a blocked number when I was home in California. My sister recorded this, and this is kind of what happened. Who? Don't post anything about who? Camille. Who's Camille? I was lying. Maroon. Oh, Camille Maroon. Or what? Speaker 1: For your own sake. Speaker 0: Or what? Speaker 1: Or I'll fucking kill you. Speaker 0: There's an example. So when Harry and I kind of went dark, you know, like, we stopped talking to each other altogether, It was because he found out that I was still talking to this guy I used to talk to, and he called me, told me to go fuck myself. Was just super fucking pissed that that was happening. So maybe he thought I owed something to him, but I didn't, And I didn't think he thought I did. I don't I don't fucking know. Also the end all was the loss of my now regrettable friendship with my old friend Molina, whom I have a screenshot on that. This is her essentially ending the friendship with me because I was posting shit about Harry. So, I mean, who knows? I definitely I don't know if any of this made sense. I'm really sorry that all of this is backwards in regards to the screenshots. I will be kind of breaking it down in parts, but this is just kind of the full account. There are definitely things that I missed and screenshots that I did not show because it's just I don't have much time left to miss. So there is more to the story, but there's just some evidence on on some of this stuff.

@SarahisCensored - Sarah Fields

Receipts 1 https://t.co/1hJwqVJ6Sk

@SarahisCensored - Sarah Fields

Receipts 2 https://t.co/L26rHU2cAw

@SarahisCensored - Sarah Fields

Receipts 3 https://t.co/sE9QjbQmSW

@SarahisCensored - Sarah Fields

Receipts 4 https://t.co/cNVN1LIiTo

@SarahisCensored - Sarah Fields

End receipts https://t.co/UvsWFwCTfn

Saved - March 19, 2025 at 8:47 PM

@SarahisCensored - Sarah Fields

Harry Sisson’s mob has begun mass-reporting me on TikTok. They even got a video from two weeks ago removed just now and restricted five other videos. My account was in perfect health this morning. https://t.co/1ZhnIREGA5

Saved - March 19, 2025 at 4:06 PM
reSee.it AI Summary
I recorded a video in August 2024 that became my pinned post for six months, reaching nearly 1 million viewers before being deleted after I was hacked. I've received over 300 messages from survivors of abuse expressing gratitude for my message. Creating this video was one of the hardest things I've done, and I hoped it would help even one survivor. I'm now reposting it, determined to reach and encourage even more women. Here’s to making a difference for 300 more!

@SarahisCensored - Sarah Fields

I recorded this video in August 2024. It was my pinned post for six months. Unfortunately, this morning I was hacked, and it was deleted—but not before it reached nearly 1 million viewers. In the last six months, I have received over 300 direct messages from survivors of abuse thanking me for my message. This video is one of the most difficult I have ever made. It was heavy on my heart for a long time. I truly hoped it would help even one DV or SA survivor. I didn’t expect it to help hundreds. I’m dancing on the grave I once lived in. And I’m reposting and pinning it to my account. Here’s to 300 more women it may reach and encourage!

Video Transcript AI Summary
The speaker shares her experience as a domestic violence survivor, emphasizing that God told her to share her story. She describes a past where she felt hopeless and trapped in an abusive marriage with a police officer who threatened to take her children if she left. She recounts feeling alone and making difficult choices to protect her children, even if it meant personal loss. She stresses that God hates abuse and encourages those in abusive relationships to leave, despite the challenges. She notes that her abuser is now in prison. She highlights her transformation and achievements since leaving the abusive situation, including earning multiple degrees, advocating for children in schools, and fighting against child sex offenders. She is now working on Jasmine's Law. The speaker emphasizes that Satan uses her past to discourage her, but she has overcome it through her faith in God. She states that Satan cannot read thoughts, so she rebukes him out loud. She concludes by offering support to others in similar situations.
Full Transcript
Speaker 0: I have been debating whether to make this video for a long time. It's on my heart and God told me to do it. So I'm doing it. This message is for everyone, but it's especially for survivors of domestic violence, assault, and sexual abuse. Do you want to see the difference between someone who is lost, broken, and hopeless and someone who is redeemed, saved, and renewed? There is a song that says goodbye yesterday. I won't waste another minute in my old ways. I'm living in the light of a new day. I know that many of you already know the story behind this. I won't go into depth about it. It will distract from the message I want out right now, and if you want to know the story, if you want to know the full story in my thirty minute podcast, I will send you the link or I'll attach it in the thread. I've been open about this issue for almost a year now. Been talking about it very openly with my followers. God rescued me out of the mess I was in. And I traded this sorrow for something I can now sing about today. And now I'm dancing on the grave that I once lived in. That's from another wonderful song. That woman was me, nearly twelve years ago. It is the bottom of the bottom. It is the end of a rope. It's the feeling of not wanting to exist. And I remember wishing that I didn't exist. At that time, I had two children, a six year old and a two year old. I had been married for several years. This is me a couple of days before I got married. This is right before I married him. I was happy. I had just gotten out of the army. This is me a few years later. That is what abuse does to you. It will eat you alive, and you and your children will suffer. That photo I just showed you is the tipping point. My abuser put me in that position. He threatened me countless times and told me that if I ever left, that he was going to take my children away from me. He told me he would take my kids. And every time I tried to leave, he would remind me of that. Something you need to know about him is that he was a police officer, he was prior military, and a lot of people really liked him. He was very liked by everyone. No one knew what was going on behind closed doors. Every time I disrespected him or attempted to fight back, I even have a memory of him holding me against a wall with his forearm, looking me dead in the eye because I had just attempted to leave, telling me that I would never see my children again. He knew my kids were my weak point, and he knew that's how he could control me. I had made so many mistakes at that point. I thought I could change him. I got pregnant and had our son because I thought that that would change him. Let me tell you, it doesn't work. That never works. That photo of me also marks the beginning of an end to an absolute nightmare. I made choices. I made a choice in a courtroom, in a backroom, with him, his attorneys, and a whole bunch of others, I made the decision to keep my children, even if it meant losing the case that had been brought against me. I felt very alone. Very, very alone. Sometimes, God puts you in places alone, completely by yourself, and makes you feel alone so that you can understand that you don't need anybody else but Him. God hates abuse. You are allowed to hate abuse too. And if you are in an abusive relationship, get out. I know that sounds so simple, but let me explain. You're going to hear Christians say, Well, said Nope. God said that you are to be honored and that you are to be treasured. Christ does not abuse those that he loves. Christ treasures you. God also did not intend for your children to continue to be abused while you sit there and wait for a change that might never happen. I've heard all the excuses, all of them. I made them myself. I used those excuses. I'm not going to have the money. I'm not going to have anywhere to go. I'm going to end up losing everything. How will I support my kids? How I'm gonna have to ask everybody for help. I did the same thing, but not anymore. But that is you choosing abuse over your faith in God. You hate yourself. You don't value yourself. You think you are worthless. This was twelve years ago. I prayed for justice every single day. I prayed for healing every day. Finally, my abuser was found out. His abuse extended much further than I ever thought it it could. And if I had stayed, I can't imagine what would have happened. I don't I don't even know how it could have gotten worse. It was that bad. Today, he sits in prison. But this is not the way that Satan lost. The best way that he lost is that I am who I am today. The best way that Satan lost is that my children are where they are at today. My children are older now. They're beautiful, healthy children. My daughter is precious. I just took my son to his first driving lesson the other day. I have raised my children to be strong believers in the word of God. I have raised them to forgive. I went to school after that as a single parent. I got my master degree in psychology with specialty in health and wellness. I got my bachelor degree in gerontology. I have a I have an associate's in commercial broadcasting. I got my nutrition license, and now I am working in journalism. And over the past four years, I have helped over 200 parents advocate for their children in the public school system. I have exposed corruption in over three dozen school districts across America. I have fought in two legislative sessions to ban pediatric gender modification, family friendly drag shows. I have testified, and I have assisted with removing explicit materials from the school libraries. I've been to the border. I've reported on it. Been investigated by the FBI because of it. Won my case. I have also exposed multiple leftist influencers, for telling lies, being frauds, to people who just desperately want to hear the truth. Now I work on Jasmine's Law, that is the law that would raise the minimum minimum sentencing for child sex offenders. It passed the party platform in Texas, and now it goes to the Texas legislature in January where I will go to the state capital and fight there. I'm fighting for me. I'm fighting for my children. I'm fighting for all survivors of abuse. Of course, because of this, Satan loves to remind you of the worst day of your life. He will use others to try and make you quit and make you stop. He does this because he sees and he watches how you will respond. If it's working, he keeps bringing the hits. The hit pieces, the hate. Let me wrap up by saying this: Here's the crazy part about Satan that so many people tend to forget. Satan is not omniscient. In other words, he cannot read our thoughts, which is why when we rebuke him, we should rebuke him out loud. It's crazy. He has no idea how badly he loses when he uses people to come after me with that past out of context, without knowing the full story, as just a way to get me to quit. He has no idea. But now he knows this. My past does not have a hold on me. And I'm saying it out loud so that he knows. I'm telling you all so that he knows. Anyone who belongs to Christ is a new person. The past is forgotten and everything is new and I am strong now because I have Him. I can't be strong without Him. Now I have discernment. Now I understand and know my value. Now I know I can do anything with God on my side. I really hope this helps. If you are in a situation, I am here. Message me. Talk to me. Contact me. I am here for you. This is what God wants me to do, and I'm going to do it.
Saved - March 19, 2025 at 2:36 PM

@SarahisCensored - Sarah Fields

Thank you @teameffujoe! I completely forgot to mention to everyone that once this all went public, Dean Withers immediate threw Harry under the bus. 😂 https://t.co/CJILX1BRAK

Video Transcript AI Summary
Breaking news alleges Harry Sisson mistreats women. According to Sarah is Censored on X, Sisson purportedly lies to women, convinces them to send explicit messages while claiming they are "wifey material," and denies speaking to multiple women simultaneously. The report further claims that when confronted, Sisson gaslights the women and attempts to portray them as insane. Dean allegedly threw Sisson under the bus within minutes of the allegations surfacing. The full report with receipts is available on X at Sarah is Censored.
Full Transcript
Speaker 0: We have some major breaking news. Oh, yes. We do, Harry. However, the real massive breaking news is about how you treat women. And look. Before y'all tell me this is fake news, you are welcome to go to Sarah is Censored over on X. She has all the receipts. She's got the Snapchats. She's got the text messages. She's got the video messages. She has everything. Everything showing how Harry Sisson treats women, how he lies to them, how he convinces them to send him explicit messages, that they're wifey material, and that he would never talk to multiple women at the same time. Oh, and then when they call him out for it, he proceeds to gaslight the fuck out of them and try to paint them as insane. Wildly enough, that's not the most surprising part. The most surprising part was watching Dean throw him under the bus within minutes. But, yeah, go ahead and head on over and check out Sarah's report on it. It's quite the revelation about your boy, Harry.

@SarahisCensored - Sarah Fields

👇 https://t.co/homFAq8QwQ

Video Transcript AI Summary
Harry Sisson is facing accusations of being a womanizer after a woman named Carly claimed he was dishonest with her. Carly believed she was exclusive with Harry, but then saw him on TikTok live with hickeys. Carly shared a Snapchat from Harry where he said her opinion was the only one that mattered. She also revealed that Harry was allegedly talking to as many as a dozen women simultaneously. Another woman in the comment section claimed to have been talking to Harry a month prior. This led to multiple women discovering they were all being misled by Harry, who allegedly denied having a "roster" when asked directly. Dean Withers also expressed disappointment with Harry. The speaker contrasts Harry's alleged behavior with his self-proclaimed feminism, and suggests both Harry and Dean lack a moral compass.
Full Transcript
Speaker 0: We have some major breaking news. Harry Sison is under extreme heat right now as, get this, being a womanizer, which is awfully wild coming from the champion of feminism. Here's the story. So this is Carly, and Carly was not happy with Harry Sison's video where that girl's hand was all over his face. Why was she not happy, you might ask? Well, Carly was under the impression that she was talking to Harry months ago and was exclusive with him. Roll it. Speaker 1: Then February comes around, and he shows up on TikTok live with hickeys on his neck. So I was like, obviously, there's someone else, and you're being dishonest with me. Speaker 0: Oh, but it gets way better. Since Carly has come out with that video, Harry is denying these accusations against him. But Carly comes with receipts. Here's a Snapchat from Harry to Carly that says, l m a o. See, your opinion is the only one that mattered. And when she started to ask who am I in competition with, he said, it's not that there's competition. I'm not getting from a bunch of girls or having with a bunch of girls. You're not gonna believe this, but it gets even better. Carly found out that Harry was talking to more than just her and the girl that he ended up with. He was talking to up to a dozen females at the same time, and that's just that we know about so far. Speaker 1: In that comment section, I saw another woman say something regarding the fact that they had been talking a month prior. And I was like, wait a second. I need to know if this is legit. So I DM'd her. Speaker 0: And when she DM'd her, she found out that girl was telling the truth, and then they found out about more women. Check this out. This is a live where all the women are talking about how they got played by Harry. Speaker 2: If he had flat told us, hey. I am talking to other people. When we asked, when all, like, a fucking dozen of us asked, hey. Are you talking to anybody? Instead, he lied and said he did not have a roster and that he was not talking to anybody. Speaker 0: A roster for Harry Sisson, champion of feminism. I'm 37 years old. You know something I've never done, Harry? I've never played women at the same time. Not once have I ever cheated or talked to multiple women at the same time. I guess that makes me a republican on higher moral ground than you. I'm almost done. Even Dean Withers is upset with Harry. Roll it. But what I will say is from what I've seen, I'm not happy. Apparently, Dean forgot how quickly his friends forgave him for being the resident racist of the group. They had to have your back while you were saying all those things back in the past that was quite racist. But as soon as Harry needs you, Dean's right back up on that moral high horse. Anyway, what I've gotten out of this is Harry says he's a champion of feminism. He's a womanizer. Dean says he's a champion against racism. He's a racist. Maybe it's about time you gotta start believing in that god that you don't believe in so you can have an actual moral compass to live by. Go ahead and give me a follow. I'll see you on the next one. Pow.
Saved - March 19, 2025 at 2:35 PM
reSee.it AI Summary
I’m receiving an increasing number of messages from women coming forward about Harry Sisson, and I encourage more to share their experiences, assuring anonymity if desired. Recently, two additional women have alleged serious misconduct, including grooming a minor, and I will not ignore these claims. Despite facing mass reporting on TikTok and receiving harsh messages, I refuse to be intimidated. I’m committed to this cause and ready to face any challenges that come my way.

@SarahisCensored - Sarah Fields

Be prepared; more and more women are coming forward about Harry Sisson. My inbox is filling up, and that’s okay. Keep them coming. If you do not want your identity shared, I will keep you anonymous. And that’s a promise. Two more women just came forward, and one of them is alleging that Harry gr00med a minor. None of this is going to be ignored. My TikTok is being mass-reported. I am receiving some of the nastiest messages I’ve received in a long time. And a group has banded together and is attempting to Community Note my posts with some of the most ridiculous notes I’ve seen. I’m not going to stop. I will not be intimidated. I was made for this. Bring it on.

Saved - March 19, 2025 at 1:27 AM
reSee.it AI Summary
Harry Sisson has been accused by multiple women of manipulation and deceit, convincing them to send explicit photos under false pretenses. He claimed to respect them beyond their bodies while simultaneously leading on at least 11 women, including domestic abuse survivors. Victims like Carlee and Sara shared their experiences, revealing emotional manipulation and a lack of accountability from Harry. Despite the serious allegations, he continues to portray himself as a supporter of women. Many women have come forward, sharing their stories and evidence, while others express fear of retaliation.

@SarahisCensored - Sarah Fields

🚨 Harry Sisson convinced 11 different women that 'he had no roster' and 'respected them for more than their bodies' while persuading them to send explicit photos of themselves through Snapchat, including one from a domestic abuse survivor. When the women discovered each other one by one, he called them all insane and attempted to coerce one of them into telling the public that the photos were 'fake.' A Request to the Reader - Set political differences to the side. I believe both sides of the aisle can agree that this is unacceptable behavior from a man-child with collectively over 2 million followers. Thread here 👇

Video Transcript AI Summary
The speaker believes an unnamed individual is insane and "fucking crazy." They have been discussing this person with Chris for days. The speaker expresses concern for someone's safety, telling them to "be good out there" and "be safe."
Full Transcript
Speaker 0: Live. Don't read on live. Yeah, I saw about this. Like actually lunatics. Like genuinely, they are this individual in question is insane. Wait, who is that? And so I'll say, yeah. You know, I can share with Chris. I'll send a screenshot. Yeah. No. Like like, legitimately, Chris and I have been talking about this for days. Uh-oh. This individual is fucking crazy from Wait. What? If you wanna support the live Bro. That bros. I'm saying, dude. I am saying. No. You you be good out there, bro. That's what I'm saying. You you be safe. That's what I that's also what I'm saying. What I'm That's what I'm saying.

@SarahisCensored - Sarah Fields

Several of the women involved have made their stances public, but the videos are not receiving much traction. While Harry Sisson continues to collect millions of views for his videos claiming that he is a supporter of women and a champion for women’s rights. https://t.co/NNWXBBx4hY

Video Transcript AI Summary
The speaker states they have never called out behavior like this before and acknowledges the courage of those who have, expressing that it is terrifying to do so. They are unsure how to word the video but will proceed. The speaker asks how others cope with the anxiety of speaking out.
Full Transcript
Speaker 0: I've been trying to figure out how I want to word a video regarding this, but I think what I'm going to just say is I've never been the woman that has called out behavior like this. I've never been one of these people. And if you have been, fucking props to you Because I don't think anybody could comprehend how genuinely terrifying it is to do something like this. Yeah. I I I really send me how you stop having fucking heart palpitations.

@SarahisCensored - Sarah Fields

Carlee, one of Harry’s victims, has described the situation in the most detail. Summary of her videos - According to Carlee, Harry “wooed” her from the very beginning. And convinced her that he respected her for more than physical appearance. She said even though she’s embarrassed to admit it, she created a private chat to chat with Harry that was meant for his eyes only, where she shared explicit photos of herself with him. “He loved it. He loved that I was not entertaining anyone else the way I was entertaining him”. Harry told her that she was “wifey material” and was “sold” on her wife applications. After six months of this behavior, he told her he didn’t want a commitment. She accused him of leading her own. To which he admitted to doing. But also said “he should have made his intentions clear”. 😑 Directly after this, Harry posted a photo of a “thirst trap” of him and his new girlfriend on TikTok. The video shows him lying in bed with a girl while she provocatively swipes her hand across his face. Prior to the thirst trap, Carlee watched Harry go live and observed hickeys on his neck from a DIFFERENT girl. She confronted Harry, and he told her she was “overreacting”. Carlee had recently been through a traumatic car accident and was dealing with depression at the time. Carlee stated that Harry pounced and took advantage of her sadness. Carlee decided to go live on TikTok to share her story, and this when she discovered that during the nine months that she was talking to Harry, Harry was leading multiple other women on at the exact same time. He had told them the exact same things and had convinced them to send him explicit messages through the Snapchat platform. Harry had told the other woman that he “had no roster”.

Video Transcript AI Summary
A TikTok user claims she was manipulated by an influencer for nine months. She created a private Snapchat story for him, and he allegedly told her she was "wife material." After six months, he said he wasn't looking for commitment, which she accepted, though she felt led on. She discovered he was seeing someone else when he accidentally revealed hickeys on a TikTok live. When confronted, he allegedly gaslighted her. He then demanded she unsave everything on Snapchat out of respect for his new girlfriend. The user found another woman who claimed to have been led on simultaneously. They compared screenshots and concluded he was a "despicable, disgusting fuck boy" who preached respect for women while disrespecting them. He allegedly asked for intimate images and made them both believe they were the only one he was talking to. The user is willing to provide receipts and more details in follow-ups.
Full Transcript
Speaker 0: I got played by a TikTok influencer for nine months, and I think it's time that I expose his trashy ass behavior. We started talking in May of last year right before my birthday, and he, like, wooed me. He was very kind. I, felt really excited and thankful that I, found somebody who, at the time, I thought respected me for more than my physical appearance. And, yeah, I literally could have never imagined or even, like, fathomed what was gonna end up happening after talking for nine months. I'm really embarrassed to admit this, but I created a private story on Snapchat for just him and named it for your eyes only, and he loved it. He loved the attention that I was giving him and the fact that he knew that I wasn't entertaining anybody else the way I was entertaining him. Within the first two to three months, he had told me on two separate occasions that I was wife material and that he was, quote, unquote, sold on my wifey application. He was frequently saving my Snaps and just, like, making me feel good about myself, call me beautiful and gorgeous. So it's like, how could I not read into that? Six months into talking, he suddenly is like, I'm not looking for any commitment, and I'm not in a place to find anything long term right now. I'm just really busy, blah blah blah. And, like, I was understanding. I was fine keeping things casual. However, I couldn't help but feel that he led me on. And he even admitted to that. He's like, yeah. That's on me for, like, not making my intention intentions clear. Okay. He tells me a couple more times after that that he doesn't want commitment. And then next thing I know, he's posting a soft launch thirst trap of him and his new girlfriend two weeks ago. Actually, prior to this, I had found out that he fucked around with somebody else by him going live on TikTok and showing hickeys on his neck. That's how I literally found out that he was fucking around. And so I confronted him about it, right, like any normal person would do. And he got all defensive and started, like, gaslighting me, basically saying that I was, like, overreacting and all this stuff. And I was like, you're kidding me. Right? Keep in mind, he was well aware of the fact that I was very depressed following a very traumatic car accident that I had been in, and he still took advantage of my sadness. Anyhoo, I forgot to mention, but we were mutuals on TikTok, mutuals on Instagram. I was his only friend on Facebook, and I have receipts of this, of course, but he's trying to remove me from everything. He demanded that I unsave everything on Snapchat because he had a new girlfriend and it was like out of respect for her. Bro, you don't know the first thing about respecting women. Jump to last night, I find out that he was leading somebody else on at the same time he was leading me on. And my world was shook. I DM'd her because I saw a comment she left on his backup account, I guess, is what you could call it. And she was like, oh my god. I think we went through the same thing. And I was like, no freaking way, girl. Spill. And so long story short, we talked literally probably six, seven hours last night, exposing everything. Early on in the conversation, she tells me that he had told her in December that he had no roster. What the fuck do you call me? You're talking to me for seven months at that point, and you're gonna say that you have no roster. I see. She shared screenshots of their conversations. I shared screenshots of ours, and we basically came to the conclusion that he is a despicable, disgusting fuck boy. He sits here on his platform with almost 2,000,000 followers and preaches respect for women and believing women blah blah blah blah blah and then he disrespected us so, so grossly, asked for extremely intimate images, made us both think that we were the only one he was talking to. And then he started dating somebody else. So we have no idea how long she was in the picture. This is just a very broad outline of the story, and I'm more than happy to do follow-up with receipts and more details. But I literally could not sit on this information for any longer, and I had to just get it out there because I quite literally could have burst into flames at this point because I'm so angry. But, yeah, he's wishing everyone a happy International Women's Day after telling people on live earlier that I'm insane. So, yeah, you're clocked, buddy.
Video Transcript AI Summary
A woman followed a political influencer, offered support, and shared that she was a survivor of SA. After exchanging Instagram DMs, they began communicating on Snapchat. The influencer started saving her snaps and hinted at an infatuation, which she found unexpected but exciting. He implied she had no competition and that her opinion was the only one that mattered. He checked in on the anniversary of her SA, which she found very thoughtful. However, his behavior later became inappropriate. He then started pulling back, and she confronted him about it. He denied talking to other women in the same way and said he wasn't hooking up with anyone. She later saw him with hickeys and discovered he was being dishonest. She connected with other women who had similar experiences with him. She learned that at least six women were played by him during the same period. She was disgusted because she had believed he was a respectful person. His only response was to call her insane. She and the other women will not tolerate his behavior.
Full Transcript
Speaker 0: Your wish is my command. I had been following this political influencer for a couple months prior to me DMing him, basically just offering my support and telling him that I was proud of what he was doing and that I was learning a lot from him. A little bit after that, I shared with him that I was a survivor of SA. And if he ever needed a victim's perspective during one of his TikTok live debates, I would be willing to share my story. He was really nice about it, was supportive, thanked me for sharing with him, and also for my willingness to speak on it if he ever needed somebody to. After talking just, like, a couple more times in Instagram DMs, I was like, hey. Like, you should add me on Snapchat if you want to, and he did. So that was in May, like, right before my birthday. Pretty quickly into us Snapchatting, he started saving Snaps where I just, like, looked pretty, I guess. And if you know, you know, like, that's a compliment. It wasn't anything inappropriate. It was just very flattering because I looked good. And he was kinda telling me that by wanting to keep those pictures of me in our chat. Shortly then after that, it became more of like an inappropriate infatuation with me. And he kind of hinted at that by saying something along the lines of I had some, like, interesting or sexy pictures of me on my Instagram. And I was like, oh, okay. Granted, this was highly unexpected because I was like, you don't act this way at all on TikTok. Honestly, I didn't expect to, like, start talking because of my original DM, but, obviously, I was excited too because I had a lot of respect for him. I thought he was, like, this champion for women, supported our rights, berated people who disrespected women, and just all that stuff that, you know, makes a woman feel safe. Right? Not long after we started snapping, I made some joke about probably having a bunch of competition and he then told me that I had no competition and said that he was content, implying that he was content with just me. At another point, he told me that my opinion was the only one that mattered. So of course, I like ate that stuff right up. Like, was so excited and just like completely shocked and obviously like way too trusting. So time's passing. He's still saving a bunch of my snaps. I start saving snaps that he's sending as replies because, one, they made me feel good, and, two, now I'm glad I have them as receipts because he's calling me insane online. When September came around, I told him that the anniversary of my essay was coming up, and so he was well aware of this. And then on the night of September 15 before he went live to debate on TikTok, he messaged me just wanting to check-in, seeing how I was doing. And to me, that spoke volumes. I was like, that's really sweet of you. Thank you for checking in. And then after he was done debating, he tried to FaceTime me, but, unfortunately, I had already fallen asleep. Anyway, he attempted to call me. I didn't answer. He messaged me and told me to answer. And since I was sleeping, I didn't see it till the next morning. But when I saw that I had a missed call, again, I was like, how how sweet is this that he really took the time out to wanna check-in with me on the night he knew was going to be very difficult for me to sleep. I think that kind of says a lot about how he felt about me. I don't know. Of course, I was holding on to this for a while because I really just thought he went above and beyond and I really just thought he was like this amazing person who saw me as more than my body. But not too long after that, it all became even more intensely inappropriate and just like the things that he was requesting from me that kind of took me by surprise. But, yeah, I kinda just, like, put up with it because I was like, well, he respects me. Right? He respects me for more than the physical attraction. From, like, late October onward, he started to pull back just a little bit, and I let it go for a while without saying anything. But then late November, I was like, look. You, like, rarely snap me anymore. If you don't wanna talk, like, just communicate that with me. And he said that that wasn't the case. And then I had told him that if he was talking to any other women the way he was talking to me, then he needed to unsave my snaps because, like, I'm not that bitch. And he said that he wasn't talking to other women like that. He wasn't hooking up with anybody because he, quote, unquote, never does that. And I believed him. I literally believed everything he said all the time. All the time. And that was very naive of me, I admit. From that conversation, I thought there was this understanding that if he was going to be fucking around or flirting with anybody else asking for pics from them, he needed to delete mine. Unfortunately, it took me a couple more months to figure out that he wasn't respecting that request whatsoever. Then February comes around and he shows up on TikTok live with hickeys on his neck. So I was like, obviously, there's someone else and you're being dishonest with me. Of course, I had to address this because I was hurt and I had every right to be. Not long after that, he discloses that he's seen her. And I was like, oh, see, I thought you didn't want commitment, but that's my dad. The next weekend, he posts a thirst trap on TikTok with her, and I was like, alright. Got it. In that comment section, I saw another woman say something regarding the fact that they had been talking a month prior, and I was like, wait a second. I need to know if this is legit. So I DM'd her. It took all of, like, one minute for her to realize that we literally got played by the same guy. And I can't even tell you. I can't even tell you the emotions that went through my body that entire night. Couple days later, boom. I get a DM from another woman saying that she and her friend went through something very similar as well. And I was like, shit. Holy shit. I'm learning so much. Fast forward one more week, and here I am sitting here with knowledge of at least six other women who were played by the same guy in the same time period. I'm just disgusted bro. I have genuinely never been more wrong about somebody in my entire life. For nine months, I thought that he was this amazing person. I respected him. I thought he respected me. I thought that the person he showed online was the person he truly was, and I was proven so horribly wrong. So when I started speaking about this publicly, his only response has been to say that I'm insane because he wants to take away my credibility before more people find out about this. All I have to say to that is there are some very strong women that I am aligned with and share experiences with, and we're not gonna stand for some dude getting away with icky behavior. You can't sit there and pretend that you care about women and respecting them, and then you berate people for disrespecting women, and then you're doing the same thing behind the scenes. The fact that you think that you don't have to be held accountable is actually really sickening, and it's it's disheartening, to be honest. I'm so glad that I found this out before I ever met up with him because that would have just made everything a million times worse. But that's the story. Sorry. This video got really long. But, yeah, I'm happy to answer any questions or show some receipts I've got.

@SarahisCensored - Sarah Fields

Receipts of Harry’s snaps to Carlee. Part 1. https://t.co/EoOgxksoFC

@SarahisCensored - Sarah Fields

Receipts of Harry’s snaps. part 2. One in particular states “I’d f*ck you raw after the wine tasting”. https://t.co/Hd0lEdcAao

@SarahisCensored - Sarah Fields

Here are other receipts of Snapchat provided by other accounts. It is unclear who these Snapchats were sent to. https://t.co/z2BBh2SyEM

@SarahisCensored - Sarah Fields

Quote from Carlee. “I'm fighting for accountability not only for myself, but on behalf of everyone who believed this guy was someone he's not. to this day, he has yet to acknowledge that he did anything wrong, and that's really sad. however, i have to say I am beyond blessed and, frankly, shocked to have connected w so many amazing people over this horrible experience. thank you for confirming that my feelings throughout those 9 months were valid.”

@SarahisCensored - Sarah Fields

As more women came forward, it was determined that 11 women were played by Harry. https://t.co/aFBTLwEkBc

Video Transcript AI Summary
He allegedly lied when asked if he was talking to other people. When a dozen people asked if he was talking to anybody, he allegedly said he did not have a roster and was not talking to anybody.
Full Transcript
Speaker 0: If he had flat told us, hey. I am talking to other people. When we asked, when all like, a fucking dozen of us asked, hey. Are you talking to anybody? Instead, he lied and said he did not have a roster and that he was not talking to anybody. That's

@SarahisCensored - Sarah Fields

Another victim of Harry, Sara, provided a long detailed video of her experience. I clipped it for the sake of time, but you can find her full video on the TikTok platform. Sara is a DV survivor. She had posted about her DV experience in October of 2024 for DV awareness month. Receipts are of her and her ex. Following this experience is when she was convinced by Harry to share explicit photos of herself, and was told that she was "the only one"

Video Transcript AI Summary
The speaker states that they were informed there was no roster, implying they were the only person being contacted and receiving photos. The speaker says they were initially fine with this understanding. However, the speaker suggests this understanding would change if they were told there was no roster but that this was not the case.
Full Transcript
Speaker 0: He did inform me that there was no roster, essentially implying I was the only person he was talking to, the only person he was receiving photos from. And I was, again, fine with that. But, of course, if you're going to tell me that there's no roster and I'm the only person you're talking to

@SarahisCensored - Sarah Fields

More of Harry’s lies. https://t.co/pmR3E7swJw

@SarahisCensored - Sarah Fields

One of the women, who is terrified of Harry’s retaliation, has stated that Harry assured her the screenshots were all fake. But also told her that “he doesn’t feel bad about lying about personal things”. He told her he “didn’t lie to her, though”. He then asked her if she wouldn’t mind telling people that she had seen screenshots from him “proving they were fake”, even though she had not. I have been provided the evidence for this. However, she does not want to have the screenshots provided publicly. If the status of this changes, I will provide receipts.

@SarahisCensored - Sarah Fields

Harry’s video of his “thirst trap”. It is unclear if his new girlfriend is aware of the other women. But after today, I’m pretty sure she will be made aware. https://t.co/5b550w6pjF

@SarahisCensored - Sarah Fields

Harry has not apologized for his behavior. And called all of these women “insane” as seen at the top of the thread.

@SarahisCensored - Sarah Fields

End thread. As a survivor of DV, and the parent of a child who survived SA (both of us were doxxed by Harry two years ago), I will NOT tolerate any degrading comments about these women. They are all young. I believe they have definitely learned a lesson here. (At least I hope they did). Harry is a narcissistic abuser who took advantage of a dozen women at the same time for nearly a year. I do not condone the behavior of these women. But I do know what it feels like to be manipulated by a narcissist when I was younger. Nasty comments such as “they deserved it” or calling them derogatory names will result in a block.

@SarahisCensored - Sarah Fields

Diana, another woman, tells her story. https://t.co/rqFo6ssMtZ

Video Transcript AI Summary
The speaker discusses a past casual relationship with a TikToker that spanned two years, ending around the time of a potential TikTok ban. The main issue arose when the speaker's friendship with Reese was jeopardized because Reese was also talking to the same man. The speaker initially distanced herself, refusing to compete for attention. Later, the TikToker asked the speaker to block Reese, claiming Reese was lying and unstable. The speaker, trusting him due to their history, initially believed him, a decision she now regrets. She acknowledges enabling the ostracization of Reese. The speaker then sought a serious relationship with the TikToker, giving him an opportunity to meet in DC. When he initially declined, she took it as a sign to end things, though he later appeared in DC, and she avoided him. She confirms he still has saved content from their chats, which she intends to address. The speaker is sharing her side to hold him accountable for inconsistent behavior, warning young women about his actions, and directs viewers to hear more serious accounts from other women involved.
Full Transcript
Speaker 0: I have slept all of one hour over the last two days, because of this shit, so you're getting a speedrun of my side, and I'm never fucking talking about this again because this was insanely ridiculous. For me personally, this wasn't that deep in the aspects of relationship issues because I knew that this guy was a player. We started talking like two years ago, stopped talking few days after New Year's, few days before the TikTok ban somewhere in there. And it was on and off for those years, very casual. The part that pissed me off was that this almost cost me a friendship with a really great girl. As you guys know, he was on my live on a panel, like right after the election. I let him up on the panel. He was there, whatever. After that, I had said something about wanting more women to get into the debate space and if you wanted to, to DM me. And so Reese, my good friend did. She DM'd me. This was also to find out if him and I were talking because of the way that he acted towards me in the live and the way that I reciprocated that. She DM'd me and asked me if him and I were talking and I said no because I didn't know her and didn't want people in my business. And I had spent two years keeping that violently under wraps from you guys. And then I found out that she was talking to him. And so I backed off. I didn't speak to him after that for a good long while because I'm not gonna sit here and compete for a fucking TikToker. And then her and I became friends. She would come up on my panel. We talked on the phone before and after lives constantly. We got really close. And then one day I get a DM. The DM was from this guy. He said, basically, I need you to do me a favor. I said, what was the favor? He said, I need you to block Reece. And me, I wanted to get both sides of the story. And so long story short, I communicated with her. I communicated with him. He told me that everything she told me was fake, a lie, and that she was crazy. And because I knew him for two years and because I thought that he was a half decent person, like maybe a player, but a half decent person, I watch her. And that's something I have to take responsibility for is that I allowed a guy to use me to aid in ostracizing a girl from the internet completely because he didn't like that she talked to her friends and a couple of texts got leaked. The rest of me and him talking was still casual, but I had been in a position at that point where I didn't want something casual anymore. I didn't want to mess around like that anymore. I wanted something serious. I told him so. I basically told him, hey, I'm gonna be in DC at this time. If you're not there, I'm taking this as a sign not to talk to you anymore. He said he was gonna be there. And then a couple days later said he wasn't gonna be there. Took it as a sign, stopped talking to him. He he ended up being there. And I violently avoided him in while I was there. We did not see each other. We did not interact, but we're in town at the same time. I wasn't talking to him when he did the soft launch. He wasn't talking to me. However, yes, it is true. He still has things saved in our chats as of right now. I'm gonna be communicating that to get that gone when I get off of here. I don't think the husband approve of that being there. So, yeah, that's my side. If you want to hear the other women's sides who are much more serious than that, I will be tagging them below. You can go ahead and see their stories for yourself. The entire point of this was to hold somebody accountable who has amassed a large, very female, very young following by claiming that they support women, that they respect women and this is evidence otherwise. This isn't for clout. None of us are doing this for clout. This is to show you unacceptable behavior by somebody who has portrayed themselves to be someone that they are not And to warn the young girls on this app to be really careful about who you talk to. Please go follow and watch the lovely women I'm going to tag below and hear their sides. But as of now, we're going back to our regularly scheduled fucking program, and we're not talking about this anymore. At least I'm not.

@SarahisCensored - Sarah Fields

ANOTHER woman who claims to have known Harry for years (since they were teens) has come by forward. She states that Harry is predatory and manipulative and that he’s been doing this for a very long time. She also stated that when she first came forward, that no one believed her. We believe you, Hannah.

Video Transcript AI Summary
The speaker expresses support for victims of a "political TikToker" she has criticized for over a year. She claims nobody initially believed her about his "disgusting behavior," and she fears he will ascend into the political hierarchy despite allegations against him. Having known him since she was 18, she asserts any apology from him would be insincere and gaslighting. She describes him as "sick," "perverted," and someone who has evaded consequences for too long. She is glad the issue is gaining traction, agreeing with another woman's assessment that his advocacy for women is a ploy. She states she could write a "novel" about his actions, but some incidents she cannot discuss due to legal reasons. She thanks the woman who came forward, stating it renewed her strength to speak out. She reiterates her support for other victims.
Full Transcript
Speaker 0: And, also, any person who has been a victim of this certain political TikToker, I am always available to talk. If you need support or just somebody to talk to, I'm here. I'm gonna try to get through this without crying. I'm mostly crying because I'm really I'm really proud of, all of these girls for coming forward because I know how manipulative and conniving and overall dangerous this political TikToker is. And for so long, because I've been talking about, him and his disgusting behavior for over a year now. Nobody believed me. You know, I had a few people that obviously did. It was just like a it was never taken serious. And, like, above all, I'm pissed, because he is the same fucking guy that's gonna end up in the fucking political hierarchy that has all of these allegations but has too much power within to ever be actually taken down. That's exactly where he's headed, and he's been heading there for so long. As somebody who's known him since I was 18, and we were incredibly close, we met in person a few times. Any I don't I I really don't care if he makes an apology. I don't care if he takes accountability. I don't I don't care about all that because it's it's going to be fake, and I can promise you that. And it's and it's going to be gaslighting everybody. He's an incredibly sick individual, fairly perverted, and he's been getting away with this for so fucking long. It it got to a point where it was just too exhausting to even try to, you know, put stuff out. I am really happy that it's gaining traction now. And I think she she worded it perfectly. The woman that I stitched, it's like these champions for women. Right? And the idolizing of these men that care about women. It's it's just a ploy to try to get into their pants. You know, it's not like I could go through everything that he has done. I could probably make a freaking novel on it. And and if you want I I can talk about some of them that I, you know, I remember. Some of them I can't talk about because I'm legally not allowed to do so. Or it's legally, a bad idea for me to talk about it. You know? But, I do want to say to this woman, thank you so much for coming forward. I didn't have strength for a while to to be persistent on this, and you gave me that back. Thank you. And to all of the other victims, again, I'm always here.

@SarahisCensored - Sarah Fields

Harry has me blocked. Just for everyone’s info.

@SarahisCensored - Sarah Fields

Another big one. This one received her own post. It’s awful. Read 👇

@SarahisCensored - Sarah Fields

🚨 MORE Women Have Come Forward Regarding Harry Sisson’s Behavior 🚨 I am sharing this particular exposure of Harry Sisson as a stand-alone because this might be one of the most egregious stories of all so far. Reese has actually gone private because of the harassment she has received on the TikTok platform. In her video, she explains that Harry Sisson: 1. Attempted to manipulate her by telling her that he would not discuss the issue with her unless she shared a nude video of herself with him. 2. Harry then attempted to force her to tell the public that the screenshots were fake, even though they were not. 3. Reese explains that one of the women, an SA survivor whose trauma was still fresh, was lied to by Harry when he convinced her that she was “the only one,” taking advantage of her repeatedly so that she would continue to send him nude photos.

Video Transcript AI Summary
The speaker discusses interactions with a political TikToker, beginning around November when she DM'd him for debate tactics. Their conversations became flirtatious, initiated by her, and quickly turned explicit on Snapchat. She later helped him join a Discord server, after which a photo she took of their messages without his consent circulated, causing conflict. He allegedly told her he would only resolve the issue if she sent him a video, which she refused. She also discovered he had been communicating with Diana, another TikToker, despite telling her he wasn't talking to anyone else. He allegedly told Diana that the speaker fabricated photos of him. Recently, Diana apologized, revealing a group chat with over 10 women sharing similar experiences with the same TikToker. The speaker confronted him, but he dismissed the other women as "crazy." She accuses him of manipulation and lying to multiple women, referencing another woman's experience where he allegedly lied about talking to other people to receive explicit photos. She wants him to apologize and take accountability.
Full Transcript
Speaker 0: I never anticipated that I would need to speak on this, but here we are. So this is a story about a certain political TikToker, and also I just wanted to come on here and confirm Diana's video that she posted last night and tell my side of the story because there's a lot to unpack. And also, I wanna explain to people why I'm coming out and why everyone else is coming out and explain why we think that this guy needs to take accountability for his actions. So in around November, I had DM'd this guy asking for debate tactics and just to talk about politics in general because I had just gotten into the debate space on TikTok. Originally, it was just strictly politics, and then we started talking a little bit about what I wanted to do for university and stuff because I'm 18, and I was freshly 18 when we started talking. A little after that, it became flirty, and that was introduced by me. I will be completely transparent and honest about this entire thing. And then shortly after, he asked me if I had had Snapchat, and I added him on Snapchat. So we started talking on there, and almost immediately, not even almost, like literally immediately, the first message was something, like, explicit and or asking me to get explicit. And I was like, well, I've never done this before, and I'm also, like, more of a get coffee first kind of girl, and, like, I'm always going back and forth to the city, so if you wanna hang out, I would be down to hang out. So flash forward a little bit, because I was really involved in, like, actual politics and participating in watching his lives and doing all that stuff, this girl who I had been in contact with reached out to me asking if I would tell him to join this Discord that they had made, and I also helped participate in making, like, some of the features in the Discord. So he joined, and then that's when things went downhill. This is the part where I need to take accountability because, yes, I was talking to people that I trusted, and I just trusted the wrong person, but I also shouldn't have taken the photo without his consent. To be fully clear, the photo was messages that we exchanged back and forth, and he said something kind of like alarm like it was crazy, so I had took a picture of it. But I have never saved or sent any photos or anything like that that he had sent me. So this photo got around. He was really mad, and we had spoke about it, and he just he wasn't even that bad. He just seemed, like, unwilling to talk about it. And he had told me basically that the only way that he would talk about it with me and work it out was if I had sent him this video that he wanted of me, which at the time I was just not comfortable with doing that. Yeah. So that in itself is just incredibly manipulative behavior, and I had called him out for it, he was like, that's not manipulative, I just we had talked about it before. So the part with Diana that comes in is when I had messaged her. We had started going live together and doing debates and talking all the time, and I also wanted to know if she was talking to him because they had interacted on her live, and they were both really flirty and stuff. And he had told me that they were friends and that he wasn't talking to anyone else. And at the time, she told me that they weren't talking because we didn't know each other that well, and I wanted she wanted, like, privacy, and she didn't want anyone knowing that. And so I had told her everything that happened after he had sent her a message to block me, and she trusted him, because they had been friends for years, and she did block me. Basically he told her that I had made fake photos of him. I guess I'm some AI genius because I have no clue how to do that bro. And also that I had fabricated the entire thing and made fake photos of our Snapchat conversations. He said that we didn't even talk, and the only time that we had talked or spoken was on Instagram DM, which was just fully not true. So after this, I had multiple people messaging me and harassing me, telling me like, why would you make stuff up? You're crazy, you're a crazy fangirl. So I just got off Discord. I deleted Discord, I deleted TikTok, I even deleted Twitter and Blue Sky because I did not want to see this dude's face. Was just over it. Flash forward to now, about thirty hours ago, I get a text message on Instagram from Diana telling me that she was she's so sorry because she believes me now, and there are 10 plus girls in a group chat all talking and discussing about what this guy has done to them. And obviously, I don't wanna speak for anyone else, so I'll only share, like, my story along with Diana. But another thing is that I had had a phone call with this political TikToker guy last night explaining what was going on, yelling at him basically, and telling him to explain what was happening because I had blocked him, and I unblocked him to communicate, basically. He had told me that all these other girls were crazy, and was saying that he had proof and wouldn't show it, and on his live yesterday with his best friend, they just did not hold themselves accountable at all and were absolutely ridiculous. Being calling them calling the girls lunatics and just being outrageous. How are you going to be a TikToker or any influential person to young girls and talk about women's rights and talk about these important things that you apparently value and then treat girls behind the scenes, women behind the scenes, like they're nothing. The big thing about this is that most of us knew that it wasn't just them, and most of us don't care that he was talking to other people. The biggest thing is that he lied over and over and over again. He manipulated people. I don't know if you guys have seen Carly's video, please check out Carly's video. She was essayed, and around the time she was SA'd, he started talking to her explicitly. And she had sent him photos, and she didn't want to send him photos or have them saved if he was talking to other people. And he lied and said that he wasn't talking to other people just so that she would continue to send him photos. The other thing I want to say is it's not acceptable to be getting his girlfriend involved or doxxing her or anything like that. I understand him wanting to protect his privacy and other people in his life, but at the same time I've seen no evidence whatsoever that anyone has been doing that. I really just want this guy to come out and apologize to everyone and take accountability for his actions instead of saying boys will be boys and calling girls lunatics. Their feelings are 100% valid, and it's not their fault that you decided to talk to 12 girls in the span of a few months. And also, maybe stop acting like the guy, the orange dude, you know, the one that you talk about every day of your life. Maybe stop acting like him. He is the one who called Eugene Carroll a lunatic, and you're just following in his footsteps. But to everyone who made it this far, you guys so much for listening to my story, Diana's story, Carly's story, Serenity, everyone who has come out and talked about this. This is just unacceptable, and we really appreciate your support. And also, this will be the last time that I am speaking on this, and I will probably be off the Internet again. But yeah.

@SarahisCensored - Sarah Fields

This girl came with receipts. And the allegations are very serious, because in this video, she accuses him of allegedly gr00ming a minor. This might be it for Harry Sisson. If I were to guess why they are all on the phone with their attorneys, I think this might be it. https://t.co/Cb82amTsfC

Video Transcript AI Summary
The speaker met Harry in the summer of 2020 and had a friends-with-benefits relationship with him. She considered him a best friend until he recorded her getting him to admit to graping her. She noticed a shift in Harry when he gained more attention and created an exclusive Discord where he met Camille. The speaker was advised against working with Camille due to his sketchiness. She received concerning messages from a minor in the Discord about Camille's behavior, which she reported to Harry, who was working for Camille. The speaker confronted Harry about Camille's actions and advised him that she was contacting the police. Later, Harry asked the speaker for nudes, then unsent the message. The speaker had a phone call with the minor, who asked strange questions, revealing that Harry and Camille were working together to discredit her. She received a fake cease and desist accusing her of racism. The speaker shares screenshots of Harry asking for inappropriate pictures and threatening texts, including an audio recording of a death threat related to Camille. The speaker's friendship with Molina ended because she was posting about Harry.
Full Transcript
Speaker 0: Shall we So before I get into these around 50 screenshots providing evidence and context for anything that I have said, I do wanna reiterate something just for even more context. I met Harry in summer of twenty twenty. We were both kind of like the original political TikTokers, and we were on the Dem Hype Pass, which was a huge political TikTok account. Our relationship has always been friend based. However, when I did go to Jersey to visit my aunt, he has a summer house there, so we did hook up a couple times. So it was kinda like friends with benefits, but it was kind of established that if we saw each other in person, we'd probably hook up. But our conversations outside of seeing each other in person or whatever were never really, like, flirty or anything like that. So I was never under any sort of impression that we were exclusive ever. We never were like that. So my story is gonna be different than, a lot of these girls. Just putting that out there. So up until about, maybe the beginning of twenty twenty three, I would have considered Harry one of my best friends. And let me know if you see a pattern here. But, what really kicked that off was that he was the one recording my grapest, when I called him and got him admitting to graping me on audio. Okay? Which was great. Whatever. And then Harry started drinking. So when Harry started drinking, he started getting a lot more aggressively flirty. I apologize for my hand tremors. I can't control them. But if you wanna pause and screenshot those, these are times in which Harry was getting obliterated drunk and, calling, FaceTiming, and saying very sexual things to me. I didn't really care. You know? It's whatever, drunk words, sober thoughts. You get it. And then this is when I noticed kind of a shift in Harry. He started to gain a lot more attention, a lot more of a following, and he created a Discord in which it was a very exclusive Discord, and very strange creepy people were allowed in the discord. I was in it for a little bit, but I was like never allowed to talk in it. So that's where Harry meets somebody named Camille. Okay? I was advised not to, by my father, not to pursue an internship or a job with this Camille guy because my dad said he looked sketchy. Harry decided to go ahead and do so. And this is when I started getting messages from a minor with autism who is also in the disc the discord. He was probably around 14 at the time. And he was sending me some concerning things regarding what Camille would send to him. Those are things I cannot show, for legal reasons, but very much so did happen, and I contacted his mom, everything. But you know who was working for him? Harry. And I told Harry about everything that Camille was doing. Here's a proof of that. This is a conversation between Camille and the minor in question. Camille texts him, why do they know so many details then? Why do they have screenshots? And in those same texts, will see him saying he's going to lose a business partner, a k a Harry. Now Harry would respond with, yeah. That's super messed up. I won't, like, work for him anymore. That's crazy. And then I got this message from the minor saying that Harry still is working for Camille. So I reach out to Harry. And this is the conversation from that little debacle. And then it got to a point wherein I was seeing if I should be contacting the police because this minor happens to be based internationally. He's not in America. And I advised Harry that I'm doing so, and he starts advising me not to do so through call, through FaceTime audio, mind you. But here's the conversation about him advising you not to do so. And if you see with all of the other girls too, he loves calling women lunatics. They're crazy. Conspiracy theory, his favorite. Okay. Let's continue. Oh, here's a random little tidbit, not really related to what I'm talking about, but I figured I'd share screenshots of Harry with my saved inappropriate photos in the chat. See, I am really sitting here admitting that I did send inappropriate because it was, a fun little flint. For me, this is, like, less about the romantic part of anything. I don't really mind that. I don't like that they're saved, but, like, the whole, inappropriate photos thing, not really my main, issue. The context of it is, though. So hold on. So here's me saying point blank to Harry. What's a conspiracy theory? The grooming part of me quite literally finding your relationship with Camille and all of this is suspicious. That's a speculation, not a theory. Anyway and this is after Harry called me about 20 times and me not answering and him saying this truly insane. Like, Hannah, you don't know anything about Camille in this entire situation, or do you know what Chris and I dealt with when it came to me? Essentially, like, putting his issues with Camille above the fact that he's literally grooming. A minor. Anyway, eventually, however, I was manipulated into thinking that he was no longer working for Camille. Whoops. So then October 7 happens. I I also I don't know if I showed this already, but this is also important in the context of everything. I'm sorry. This is so confusing. Everything is everywhere. Okay. So then Harry calls me saying that he's making some federal complaint against Camille. Okay? And I'm like, period. Right? And so here's that conversation. Essentially, he tells me that, two other people are in on it. And then I said, okay. We have a little tidpath behind us. We're homies now. He then asked me for nudes, unsent the unsent the message. And that's what I was talking about when I said tried to get me to send him nudes because he pretended that he cared about the predation. So I said, I saw that you freak. Are you drunk or something? Okay. But I didn't realize that until way later on, because then October 7 happened, we were constantly arguing about that. So here is me trying to call Harry because I was trying to talk to him about, you know, Middle East stuff he questions. He says he's tired. I say whatever. He goes, you know what it's a perfect time for though? Referring to nudes. I said, you're funny. Then he unsent a message, and I said, saw that you freak. Anyways, then I had a phone call with the minor. He called me at like 10PM. I was like what the fuck? I answer and he's asking these really really strange questions and I'm like what the hell? Come to find out Harry and Camille were working together to try to get me to say something so if I say anything in the future I'd lose my credibility. Okay. And here I know it's small I was trying to preserve ink and I know it's probably going to be backwards too whatever. I'll post these more straight up next time. That is the fake cease and desist I received soon after, for $500,000, accusing me of racism on TikTok because I, have anti Zionist approaches to things, amongst a ton of other insane things which I will share later on. So I confronted him about it yada yada yada and if I didn't already have enough proof of him asking me for inappropriate pictures at very inappropriate times here's more where I say to him so true he wanted me to stop picking an argument with him stupid So true. I'll meet you in the middle. Next time you want inappropriate pictures, just find someone else and leave me alone next time. He said, yeah, that definitely works for me. So there's him admitting that. Anyways, here's also more creepy texts regarding inappropriate photos. I don't remember the context of some of these. So now when the creepy texts and threats come in. This is my favorite part. All of these. Okay. All of these are all screenshots of threatening text seg off, but it doesn't end there. I have an audio. So I got a phone call from a blocked number when I was home in California. My sister recorded this, and this is kind of what happened. Who? Don't post anything about who? Camille. Who's Camille? I was lying. Maroon. Oh, Camille Maroon. Or what? Speaker 1: For your own sake. Speaker 0: Or what? Speaker 1: Or I'll fucking kill you. Speaker 0: There's an example. So when Harry and I kind of went dark, you know, like, we stopped talking to each other altogether, It was because he found out that I was still talking to this guy I used to talk to, and he called me, told me to go fuck myself. Was just super fucking pissed that that was happening. So maybe he thought I owed something to him, but I didn't, And I didn't think he thought I did. I don't I don't fucking know. Also the end all was the loss of my now regrettable friendship with my old friend Molina, whom I have a screenshot on that. This is her essentially ending the friendship with me because I was posting shit about Harry. So, I mean, who knows? I definitely I don't know if any of this made sense. I'm really sorry that all of this is backwards in regards to the screenshots. I will be kind of breaking it down in parts, but this is just kind of the full account. There are definitely things that I missed and screenshots that I did not show because it's just I don't have much time left to miss. So there is more to the story, but there's just some evidence on on some of this stuff.
Saved - March 4, 2025 at 4:01 PM
reSee.it AI Summary
I began investigating Jason Moxley, a North Carolina man who gained attention for his emotional TikTok videos, particularly about Trump. His claims about Biden aiding hurricane victims in NC were false. After reaching out about his military background, he hasn’t responded. Notably, he has a criminal history with multiple dismissed cases and one conviction for assault. He’s deleted his social media accounts, and I’ll keep updating as I gather more information. Thanks to the Stolen Valor account and my investigative partner for their support.

@SarahisCensored - Sarah Fields

Tap Tap! *Cracks Knuckles* I started investigating Jason Moxley, a North Carolina resident who has gone viral for crying in a video because he was upset that Zelenskyy was asked if he owned a suit. He has quite an interesting past. His TikTok is full of emotionally charged videos, mostly featuring him crying about Trump. In one of his many TikTok videos from 2024, he claimed that Biden was taking care of hurricane victims in North Carolina and that FEMA was on the ground “in every county.” This is a lie. He recently scrubbed his Instagram account, where he had claimed to be a veteran. He has multiple TikTok accounts. I immediately reached out to ask him what branch he served in, but he has not responded. We are currently searching for his military background and will provide an update when more information is available. He also deleted his X account (or it was possibly suspended). His username was @ CoachMox. Below is a photo of his deleted post where he stated, “I don’t care what happens to him,” referring to Trump. Most interesting is his criminal past. So far, eleven of his criminal cases have been dismissed. (How?!) He has been found guilty of two charges; one was an asşäuIt on a female. I will provide updates as we find more. A huge thank you to the Stolen Valor account and my partner in investigations, Southern. (I will tag them in the thread.)

@SarahisCensored - Sarah Fields

Video supporting Biden in regards to NC hurricane victims. https://t.co/ATX48CeDbR

Video Transcript AI Summary
I've been off social media for a while, but I'm shocked by the negativity surrounding FEMA checks. In January, Joe Biden reformed the Disaster Assistance Act to provide immediate funding after hurricanes, something we've never seen before. Previously, funding could take months. This reform also changed how insurance works. Before, assistance stopped after insurance paid $42,500, but now, you can get further help to rebuild your home. This also benefits business owners, who now receive immediate help instead of relying solely on SBA loans. I'm confused by the complaints, especially considering the progress made. Power has been restored to 800,000 homes, and numerous personnel are assisting with recovery efforts.
Full Transcript
Speaker 0: About seventy hours in the mountains in Nashville with a with a contractor that I'm working with. Let me I I I haven't been on here, but I I I just got on here and and looked around and and I cannot believe the amount of people that are talking about this FEMA check and how disgusted they are with it. Let let me explain something and get something that I know for fact straight. In January, okay, Joe Biden took the Disaster Assistance Act and reformed it, all right? And what that did was to help get people in hurricanes after hurricane initial funding right away. Okay, this is something that we've never seen before. This funding right here. Okay, in the past there were times it would be two months. Okay, there would be people there assisting with water and search and rescue and recovery, but you would not get any funding. This helps. And what that reform also did was with your insurance now. All right, before your insurance would pay up to 42,500, you got no more assistance. Okay, Joe Biden changed that. Now, if your home's wiped out, you get further assistance to help rebuild your home. It helps you. And I'm getting on here and seeing people bitch about it. What? I can't Where did this come from? Like I said, I've been out of touch with social media, with everything else that's going on, but how did this come about? Like what he did in January is pretty damn amazing. It also helps business owners. They used to have to get SBA loans. Now, if this hurricane hurts your business, you get initial help right away. What am I missing? You can't be that uneducated. Like I'm trying to figure out they're also complaining about what's going on up there. There 800,000 homes have been restored with power. There's a 73,000 left and I my hat's off them guys. I had no idea how they have done that. If you see the conditions still, there's 1,500, national guard. There's, there's soldiers from the eighteenth airborne working with the DOT and search and rescue. The US army corps of engineers is up there working on dams water treatment and water containment. We put people in hotels. Know there's at least 900 FEMA workers on the ground there. They've set up a center in every county for distribution. I'm I'm just I'm I'm there I know there's over a thousand first responders. I know that Cooper had to had to issue an executive

@SarahisCensored - Sarah Fields

Thank you so much @FFAFamily and @StolenValor1

@SarahisCensored - Sarah Fields

@FFAFamily @StolenValor1 Oh and hey Jason, you still owe two private businesses and the state of NC almost $180,000 in legal fees. Have fun with that one.

@SarahisCensored - Sarah Fields

@FFAFamily @StolenValor1 Oh no. I guess he got mad. https://t.co/PopfW4Wm6N

@SarahisCensored - Sarah Fields

@FFAFamily @StolenValor1 He’s running and hiding on every account. Not just going private. Scrubbing them. Full on deleting them. https://t.co/cP36VwXexX

Saved - March 1, 2025 at 2:37 AM
reSee.it AI Summary
I learned that body cam footage has been released showing the interaction between a Jasper County deputy and Matthew Huttle, a 42-year-old man who was stopped for speeding. Huttle was a Habitual Traffic Violator and fled to his vehicle when informed of his arrest. During the struggle, he was seen reaching for a firearm, prompting the deputy to fire multiple shots. Despite attempts at lifesaving measures, Huttle was pronounced dead at the scene.

@SarahisCensored - Sarah Fields

BREAKING: Body cam footage has been released by the Jasper County Sheriff's Department of the full interaction that ended with pardoned J6 prisoner Matthew Huttle losing his life. According to the Department, a deputy conducted a traffic stop on State Road 14 in Jasper County for speeding (70 MPH in a 55 MPH zone). The driver and sole occupant, identified as 42-year-old Matthew W. Huttle, was found to be a Habitual Traffic Violator, a felony under IC 9-30-10-16. Upon being informed of his arrest, Huttle fled to his vehicle, entered the driver’s seat, and reached in a manner consistent with retrieving a weapon. The deputy pursued and attempted to apprehend Huttle. A struggle ensued, and the deputy observed Huttle raising a firearm. Believing that Huttle posed a deadly threat, the deputy fired multiple shots, striking Huttle. The deputy then retreated to his vehicle and awaited backup. Lifesaving measures were attempted, but Huttle was pronounced deceased at the scene.

Video Transcript AI Summary
I pulled you over for going 75 in a 55. You said you were just keeping up with traffic. I asked for your license and registration, and you said you have the title. You mentioned you were coming from church and your mom's cemetery, and also that you're a January 6 defendant waiting on a pardon and can't afford any trouble. Then you admitted to driving without a license while waiting for a hardship license after moving back from Idaho due to your federal case and pending traffic violations. I found out you're a habitual traffic violator, which means driving with a suspended license is now a felony. You're going to have to come with me. It's out of my hands since it's a felony. Turn around and put your hands behind your back.
Full Transcript
Speaker 0: Hello. How are doing? Good. How are you today? Pretty well. The reason I'm pulling yours for 70 and a 50 five. Any reason for going that fast today? Speaker 1: Sir, I'll just keep going with traffic. Speaker 0: Okay. Okay. Fair enough. You got your license and registration on yet? Speaker 1: Can I put in parts? Speaker 0: Yeah. Yeah. Yeah. Yeah. Yeah. Where you coming from today? Speaker 1: Church in my mom's cemetery. Okay. Speaker 0: Okay. Speaker 1: I just wanna let you know that I'm a January 6 defendant. What do mean? I stormed the cap on waiting on my pardon. Really? Yeah. And I'm I I can't really afford to get in any trouble right now. Speaker 0: Okay. I understand. Okay. I understand. Speaker 1: I am driving without a license right now. Speaker 0: Okay. So why are you doing that then? Speaker 1: Well, I have to I've been waiting for my hardship license. I just moved back from Idaho. Speaker 0: Okay. Speaker 1: And I had to move back here because my my federal case. Speaker 0: Okay. Speaker 1: So I'm just in the middle of everything right now. Speaker 0: So with your federal case, why would you have to move back to Indiana? Speaker 1: Well, I had pending traffic violations. I had to live in Indiana in order to qualify for the hardship license, but they didn't tell me that until I got my federal case, so I moved back to get my license. Speaker 0: Okay. Alright. Well, let me see your license here. How many times have you been caught driving without a license? Speaker 1: In my life? Speaker 0: No. Just recently. Like, how many have you been caught with the suspended driver's license before? Speaker 1: Yeah. But it hasn't been for years. Long long time. Speaker 0: Okay. Alright, Matt. Hang tight for me. Okay? And I'll get back with you. Alright? Actually, you know what? Do have the registration for your vehicle? Speaker 1: Never got this. I think it's I have the title Speaker 0: here. Okay. Okay. Is that a Corgi back there? Speaker 1: This was a Ksenji. Rescue dog. Speaker 0: Okay. Alright. Alright, Matt. Hang tight hang tight for me. Okay, buddy? Alright. Hey, Matt. Do you wanna go ahead and shut your vehicle off and step back here with me real quick? Yep. Go ahead and shut it off for me, please. Speaker 1: Am I under arrest or anything? Speaker 0: We'll come back here. I'll explain everything to you. Okay? Speaker 1: Okay. Speaker 0: Alright. So I'm gonna hold on just real quick while I explain it to you. Okay. So today you're getting off of the verbal warning for the speed. However, you're habitual traffic violator. I know. Which means that you are at a felony status for driving while suspended. Uh-huh. So today, you are going to come with me. Well, I can't I can't You're gonna have to. Okay? You're gonna come with me today. Alright? Speaker 1: No. I can't go to jail for this, sir. Speaker 0: You're gonna have to come. Speaker 1: Can I get a ride? No. Are you sure? This is a I'll violate my Speaker 0: Just listen to me. Okay? Number one, it's a felony offense. There's no there's no leeway with felonies in the state of Indiana. Now maybe if it was a misdemeanor offense, I could work something out with you, but it's not a misdemeanor. It's a felony offense. Okay? Uh-huh. So that's how I that's why I can't work with you today with it. Okay? I understand your circumstances, but you understand that you can't drive. Okay? So your driving has resulted into this situation. Okay? Now what I'm gonna do, alright is I'm gonna put your information right here for a sec. I want you to turn around and put your hands on. Don't you do it, buddy. No. No. No. No. I'm shooting myself. No. No. No. No. No.
Saved - February 10, 2025 at 6:14 PM
reSee.it AI Summary
I received an official criminal complaint from a former Pennsylvania State Police employee, alleging that Governor Josh Shapiro was involved in an attempted assassination of Donald Trump. She claims to have previously submitted a tip in July 2024, which was blocked by the Biden administration. If true, this could be historic.

@SarahisCensored - Sarah Fields

🚨The documents are authentic. 🚨 A former Pennsylvania State Police Employer has submitted an official criminal complaint alleging that Governor Josh Shapiro was involved in the attempted assassination of Donald J Trump. The complaint was submitted on February 7, 2025. She claims to have submitted a tip about this in July 2024, but said that it was blocked by the Biden administration. If true, this will be one for the history books.

@SarahisCensored - Sarah Fields

Continued https://t.co/LESW8WC8iD

Saved - February 10, 2025 at 4:22 PM
reSee.it AI Summary
I don't believe this was a suicide, despite Josh Shapiro's ruling. I suspect he's involved in something questionable, but I'm unsure of the extent. I'm investigating the allegations about his connection to Trump's assassination. Be cautious about who you trust and wait for verification.

@SarahisCensored - Sarah Fields

Two things. 1. I do not believe that this was a suicide, even though Josh Shapiro ruled it as one. I DO think he’s dirty. But how dirty? I’m not sure. 2. I promise I am looking into the allegations made by citizen complaint regarding his alleged involvement in Trump’s ass@ssinatlon. Be careful who you listen to about this. Wait for verification. I’m working on it.

Saved - February 6, 2025 at 3:29 PM
reSee.it AI Summary
I’m zooming in on some troubling information that’s making me angry. I shared a clearer photo for context and want to thank @0hRisks for bringing this to light. It’s shocking to learn about @KrishVignarajah’s past roles and the significant government funding received in 2023 to facilitate border traffic. The connections to high-profile figures like Michelle Obama and Hillary Clinton add another layer of complexity to this situation.

@SarahisCensored - Sarah Fields

Zoom in on this. If you’re not angry yet, you should be. https://t.co/NRCy766Xg5

@SarahisCensored - Sarah Fields

Bottom of page https://t.co/c73j9te2ac

@SarahisCensored - Sarah Fields

Clearer photo https://t.co/KDJbfxWxxN

@SarahisCensored - Sarah Fields

Thank for sharing @0hRisks https://t.co/e1XGoyZDvq

@SarahisCensored - Sarah Fields

@0hRisks Oh boy

@ProblemGirl_13 - Ashley

.@KrishVignarajah, who worked as policy director for Michelle Obama during the Obama White House, who accepted over $100,000,000 in 2023 from the government to help traffic people into the country, also served as senior advisor to the State Department under Hillary Clinton developing the policies to help traffic people across the border. How wild.

Saved - February 5, 2025 at 11:59 PM

@SarahisCensored - Sarah Fields

Absolute INSANITY. https://t.co/WSWtE5M2xS

@SarahisCensored - Sarah Fields

Zoom in on this. If you’re not angry yet, you should be. https://t.co/NRCy766Xg5

Saved - January 27, 2025 at 1:46 PM
reSee.it AI Summary
I'm Michael Shane Daughtry, a January 6th survivor and former police officer. I traveled to Washington, D.C., to attend a Trump rally and was later charged with trespassing on the West Lawn, despite being directed there by police. After turning myself in, I faced extensive government scrutiny, including multiple raids on my home and business, confiscation of my firearms, and restrictions on my rights. I ultimately pled guilty to a misdemeanor to avoid harsher charges. My story reflects the broader corruption faced by many January 6th defendants. In January 2025, I received a full presidential pardon.

@SarahisCensored - Sarah Fields

🚨The following story was told by Michael Shane Daughtry, a J6 survivor.🚨 I'm going to relay it in the exact same way that he wrote it out. Just when you think his story cannot get crazier, it does. His story is one of full-on corruption, and he exposes names. Thread starts here 👇 Prepare yourselves for this.

@SarahisCensored - Sarah Fields

My name is Michael Shane Daughtry and this is my January 6th Story. I was a Police Officer with SWAT and Sniper Certifications, 20+ years Police experience and over a thousand hours of training. I'm also a Master Gunsmith with a Federal Firearms License and a Gunsmithing Business with over 10 years experience. On January 6th 2021, I traveled to Washington DC with my wife Tammie to watch the Trump Rally. As the rally was completing, the President of the United States told the crowd to go to the West Lawn and "peacefully" protest, which we did. As we arrived at the West Lawn, the police officers removed the barricades and waved us onto the West Lawn. I had video of this but the FBI later raided my home and confiscated this Video. I never went into the Capital Building or damaged any property but I did later observe people causing damage to the Capital Building so I took a few pictures of these people and then returned to my motel room, we returned home the next morning.

@SarahisCensored - Sarah Fields

On January 16th, I was charged with trespassing on the West Lawn on January 6th even though the President had ask me to go there and the police had moved the barricades and waved me onto the West Lawn. The FBI contacted me around midnight and asked me to turn myself into the Federal Marshalls at the Federal Courthouse in Macon by 9:00 am the next morning. I voluntarily turned myself into the Federal Marshalls at the Federal Courthouse in Macon Ga. Upon arrival I was advised by Federal Marshalls that Pelham Police Investigator Adam Lamb, Assistant Chief Rod Williams and Chief Mccormick had turned me in to the FBI after finding out I was in DC.

@SarahisCensored - Sarah Fields

In 2020 I was working as a Police Officer for the Pelham Police Department and also owned a Firearms Gunsmithing Company named "Cazy Coon Armory" My business was named after my pet Raccoon that was named Rocket but we always called him "Crazy Ole Coon". On November 13th 2020, Pelham Police Department Investigator Adam Lamb had showed up to my home stating Police Cheif McCormack had fired me for having a Logo with a picture of a Racoon on it with the words "Crazy Coon Armory" telling me that the logo had the word "Coon" on it and that made it a Racist Logo. The police department said they didn't know I had an outside business with that name even though it was on my resume and on my application for employment. I had also worked on several of of the Pelham Police Department weapons including pistols and full auto rifles at Crazy Coon Armory. The paperwork they asked me to sign stated I was being fired for being a Racist. I refused to sign this separation letter. After I was fired, without even being giving a chance to resign, I decided to expose the Pelham Police Department and it's very corrupt Chief for several of the crimes they had committed and were committing including insurance fraud, illegal gambling and cover ups. I was posting this corruption on my Facebook Page and the City of Pelhams Facebook Page every night which made the Police very angery and this was the reason for turning me into the FBI so they could silence me.

@SarahisCensored - Sarah Fields

After the Marshalls read me this affidavit, I was put into a jail cell for several hours before being brought before a Federal Magistrate Judge. Even though I was a Law Enforcement Officer with no other criminal record, I was placed in handcuffs, leg irons and belly chains and was advised not to speak. And even though I'm a certified Law Enforcement Officer, have never been arrested or charged with any other crime in my life and had gotten up before daylight and driven over 100 miles to turn myself in, the judge advised me that I was a flight risk and ordered me to wear an ankle monitor, be place under House Arrest, placed on Pre Trial Probation, forced to post $25,000 bond and was placed on Tap 4 internet restrictions saying I couldn't use any computers our internet. At that time I was not allowed to make a plea and was not allowed to plea until over 18 months later. I was appointed a public defender without even being asked. I had a very experienced federal attorney that was willing to take my case for free but I was advised that I could not have an attorney of my choosing and could only hire an attorney from the Washington DC District that was certified to take cases in federal court in DC. The only attorney I could find meeting these requirements wanted over $100,000 plus $10,000 per hearing which I had 5, which would have been a total of $150,000.00 and my case isn't even over yet.

@SarahisCensored - Sarah Fields

Upon my release from jail late on January 16th, I returned home where my home and firearms business was immediately raided by Federal Agents that were waiting at my property. Numerous Federal Agents searched my home and property without a warrant and all my weapons and ammo were confiscated from my home and from my licensed firearms business, all for a crime that I would not lose my 2nd ammendment rights even if I were convicted. I was forced, with threat of prison, to give Federal Agents: *My Email Passwords and User Info with written permission to access these accounts. *My Bank Account Passwords *My Bank Account Numbers with written permission to access these accounts. *My Safe Deposit Box Info with written permission to search this box *All my Social Media User Names and Passwords with written permission to access accounts. *I was not allowed to change any password or information without permission from the Federal Government. *I'm not allowed to take out any new lines of credit without prior Government approval. *I was forced to swear under oath that I did not have any money, firearms or other items buried anywhere or have any storage units. *I was forced to swear under oath that I did not have any photographs or videos hidden or buried. *I Was not allowed to possess any phone, camera or recording devices other than the one phone I was allowed by probation to have and the FBI took that phone the next day and kept it for weeks. *I was forced, with threat of prison, to fill out a financial statement listing: *My Checking account balances and passwords *My Savings account balance and passwords *Credit Card Balance, and account information and password. *My vehicle loan information and value *My Vehicle Tag #, Year, Make & Model *My home loan information and home and property value. *The amount of cash on hand. *The value of my clothes. *The value of my home furnishings. *Names, Addresses, Birthdays and Social Security Numbers of all my family members. *Names, phone numbers and Addresses of my friends. *Names, Addresses and Birthdays of any Ex Wives and Children.

@SarahisCensored - Sarah Fields

Early the next morning Federal agents confiscated all my FFL files including my FFL Log Book and 4473 files. Later that day, my home was raided again by Federal Agents who confiscated my phone and searched all my computers and electronic devices. My phone was not returned for 2 weeks. I was under court order to not use any other phone or computer so I was without any communication with friends, family or my attorneys for two weeks. This also gave the Federal Government access to all my email and text message communications between my attorney and myself. I was then forced to pay for home phone service and to pay for phone monitoring services and monthly fees for my ankle monitor. Approximately a year later my home was again searched without a warrant and without any explanation and I was threated with a probation condition violation if I complained about the searches of my property and that a probation violation would have a 17 year felony sentence.

@SarahisCensored - Sarah Fields

Three weeks later, my home was again raided and all my electronic devices including my phone, computer, thumb drives, hard drives and memory cards were searched then confiscated. My desktop computer was confiscated without explanation and Federal Agents said they didn't know when my computer would be returned. This computer contained all the files needed to file my taxes that month, all my social security files I needed to file for my retirement benefits and all my private correspondence between my attorneys. This computer also contained all the software needed to run my business. My computer and phone were not returned for two weeks. When I received my phone back I noticed that all my pictures and videos that I had taken January 6th were missing including the video evidence I had of the Capital Police removing barriers and waving me onto the West Lawn of the Capital that I was charged with trespassing on. I also noticed my FFL Digital Logbook had been removed from my computer and my FFL Logbook backup files had been removed from my Google Drive Account that I had been forced to give the login information. Federal Agents had already taken my hardcopy FFL Logbook and 4473 files in a previous search of my firearms business so they now had all my FFL Files not even leaving me a copy. Even though I've only been charged with a non violent, misdemeanor crime, I've been on house arrest for almost two years for a crime that carries a maximum punishment of less than a year. I have not been allowed to plea in this case.

@SarahisCensored - Sarah Fields

When I asked about my 6th Amendment right to a speedy trial, I was advised by Federal Court Judge Randolph D. Moss that the Sixth Amendment had been suspended due to Covid-19 and the large number of arrest made from the January 6th incident. The Sixth Amendment also gives me the right to a Fair Trial, does this mean I didn't have the right to a fair trail either? I'm not sure how a Federal Court Judge can legally suspend one of the Bill of Rights.

@SarahisCensored - Sarah Fields

In June 2022, I was told by prosecutors that I could plea guilty to Trespassing on the Grass or face going to court in Washington DC on several other (made up) felony charges that they knew I had not committed. So because I had no chance of a fair trail and facing several false charges, I was forced to plead guilty to Trespassing on the Restricted West Lawn. My plea agreement stated the maximum amount of probation I could receive would be one year but for this non violent misdemeanor crime, I was sentenced to: 1: Two additional months of House Arrest with Location Monitoring for a total of 18 months. 2: Three additional years of Supervised Federal Probation with travel restrictions for a total of 4 years and 8 months of Supervised Federal Probation even though the plea agreement I had signed stated a maximum of 1 year probation. 3: Firearm Confiscation and Restrictions in clear violation of my 2nd amendment rights. 4: Mandatory random drug testing even though I have no drug history. I have passed all these tests. 5: Mandatory mental health evaluation, even though I have no mental health history. I passed this test. 6: $525.00 in restitution for damage to the Capital Building even though I never entered or even touched the Capital Building. I paid this fine. 7: 60 hours of community service. I completed all the community service. After my sentencing, my home was again searched by a Federal Probation Agent who searched backpacks, closed closets, closed drawers, including my girlfriends underwear drawers even though they had a court order advising that Probation Agents could only take illegal items that are "In Plain Sight".

@SarahisCensored - Sarah Fields

My home has now been searched 7 times in 4 years. It's been searched by the FBI, the Federal Marshalls, the DOJ, and Federal Probation several times. Everyone always come wearing SWAT vests and heavily armed even though the only crime I've ever been accused of is illegally walking on the grass. The government then, using a fake name and phone number, attempted to send firearms to my FFL business through www.guns. on two different occasions in one week. I recognized this persons voice as Assistant U.S. Attorney Graciela Rodriguez Lindberg. Another person then, using another fake name and number called asking if they could bring a firearm to my business for an appraisal. I recognized this person's voice as my probation officer even though he was giving me another name. I told the person that I could not look at the gun and advised him that my business was closed. I also lied and told this person that I was out of state at the time so they would leave me alone. I'm on travel restrictions and can't go out of state so my probation officer almost immediately called and asked my location and when I told him I was home, a person stating he had just spoken to to me about the gun appraisal arrived at my home even though I had refused to look at the gun and had told him I was out of state. This person had a different voice, was extremely pushy and would not take no for an answer even when I told him several more times that I couldn't look at his firearm. This person then opened his vehicle trunk stating he was going show the gun to me anyway. At this time I drove away on my off road buggy leaving him at my home. When I later returned home this person was gone.

@SarahisCensored - Sarah Fields

I was then contacted by Police Officer Safety & Training Officials stating my law enforcement certification is being revoked for not reporting my arrest to them even though the federal government had taken my phones, computers, I had federal imposed internet restrictions and was on house arrest with no way to contact POST. Also the Federal Agents who confiscated my phones and computers advised me they would contact P.O.S.T. for me because of all my communication restrictions. Now I've been contacted by the Department of Justice stating they were processing my request for a refund on my FFL renewal even though I haven't requested a refund. The D.O.J. then contacted me by phone and stated my Federal Firearms License is being revoked even though I haven't committed any crime that would prevent me from possessing a firearm or FFL. Today I was contacted by my probation officer stating the ATF had contacted him stating that the ATF had requested me to send my FFL files to the ATF and that I had not responded to their request. I hadn't received any requests from the ATF and can't understand why they contacted my probation officer. The ATF has my phone number, Email Address, Mailing Address, and Physical Address that's required for my FFL, I'm very easy to contact. Even though the ATF field officer is required to do regular inspections of my FFL Business, I haven't be contacted by the field officer since I was arrested three years ago and the only correspondence I've had with the ATF was a letter in February 2023 stating I owed them $90 for my FFL renewal. I sent this letter back with a check which they cashed.

@SarahisCensored - Sarah Fields

Today the ATF Agent contacted me stating my FFL renewal was denied because I failed a background check and stated I was now a convicted felon and could never own a firearm again. After notifying my attorney, the agent called back the next day stating that the FBI had "accidentally mis-coded" my case into the computer and I was not a felon or restricted person but they refused to give my FFL back even though they now had no reason to deny me. The ATF advised me that I was required by law the send them all my FFL Files. I advised the agent that all my FFL Files had been confinscated the day after my arrest. Now I've been contacted by an ATF Agent who stated he couldn't find any agency that would admit taking my files and then threatened me several times with felony charges for Retention of Files for not returning 4473 files that the government had already confinscated 3 years previous. I advised the ATF that my files had been confinscated previously by two unknown government agents who took my files and left without identifying themselves or giving me any paperwork. The ATF Agent called me a liar several times and every time he called me a liar, I hung up on him. I advised the agent that I would try to find a backup copy of my digital log book somewhere but I was going out of state to take my wife to court as a witness in an unrelated case for about a week and that I had court approval for this trip. A few days later I traveled to court about 5 hours away in Tuscaloosa Alabama and asked my neighbor, who is a Newton Georgia Police Officer, to watch my property and feed our animals until we returned home. On the third day out of state, I received a notification from my security system stating my power had been off but was back on. I was told by authorities that the power had went out for about 30 minutes in the entire city of Newton for an unknown reason. I looked at my security cameras to check on my home and animals and noticed a package holding my storm door partially open and it had been placed there while the power and my cameras were out. I asked the officer to check the package and asked if he would make sure someone hadn't mailed a firearm to my home FFL for repair because I'm restricted from possessing firearms. The officer stated that the box didn't have a shipping label and appeared to contain FFL files and folders. It appears that the Federal Agents (DOJ, I believe) who illegally took my files got scared of all the inquiries and returned my files. The only markings on this box was my federal case number. The Officer took the FFL files into evidence, put them into the evidence room at Newton Police Department and contacted the ATF Agent. The next day the officer called me to say he had notified the ATF about recovering the files and that the ATF Agent was going to recover the files from the police department. The ATF continued to threaten me with felony charges of Retention of Files even after the files were recovered by the ATF Agent.

@SarahisCensored - Sarah Fields

I've contacted my court appointed attorney's office 6 times over the past year advising them that I needed to speak with my attorney with no response other than the secretary advising me that the attorney is very busy. It's now September 2024 and my home has again been searched by the Federal Government who again found nothing illegal in my home. On January 30th 2024, I contacted my attorney's office and asked for a transcript of my motion for a speedy trial. During this previous hearing, I was advised that I didn't have the right to a fair and speedy trial because the 6th Amendment had been suspended by the Federal Court because of Covid and the large number of arrest during January 6th. My attorney's secretary told me that there was no transcript because the judge said there was no court reporter during this hearing and the video of the proceedings are not available to the public. I was also warned at the beginning of that Speedy Trial hearing that it was a Federal Felony for me to record my own hearing.

@SarahisCensored - Sarah Fields

This is the type of government corruption that all January 6th defendants have faced and if they can do this to me then they can do it to you one day also. This is just 1 of over 1500 similar stories with many of them much, much worst than mine. January 20th 2025 President Donald Trump issued Me and 1500 other January 6th defendants a Full Presidential Pardon. Please share this story to everyone you know. *END THREAD*

@SarahisCensored - Sarah Fields

I AM IN DIRECT CONTACT WITH DAUGHTRY IF ANYONE WANTS AN INTERVIEW WITH HIM OR WANTS TO BRING HIM ON TO THEIR PODCAST/SHOW.

@SarahisCensored - Sarah Fields

I am incredibly excited to announce that Alex Jones producers have reached out and want to interview Daughtry!

Saved - January 27, 2025 at 2:49 AM
reSee.it AI Summary
I've received many inquiries about Colony Ridge, located 40 miles north of Houston and nearly the size of Washington DC. The developer, Trey Harris, provided direct home loans to undocumented immigrants without requiring social security numbers. It's now a hub for cartels and gangs, with over 75,000 estimated residents. Clean. It. Out.

@SarahisCensored - Sarah Fields

Many have asked me about colony ridge after my post about it. Colony Ridge is 40 miles north of Houston and nearly the size of Washington DC. The developer, Trey Harris, gave illegals direct home loans so they don’t need social security numbers. It is now a cartel hub and full of gang members. 75,000+ illegals are estimated to live in Colony Ridge. Clean. It. Out.

Saved - January 21, 2025 at 12:00 PM
reSee.it AI Summary
My friend Lucas Denney, a J6 prisoner at FCC Florence in Colorado, faced difficulties with prison staff who were unresponsive to family calls. I reached out to Representative Bradley, who confirmed that Lucas was not supposed to be released until September 25, 2025. However, she informed him that the President had pardoned him and that he should be released immediately. After contacting other representatives, we received news that Lucas was being processed for release. I'm thrilled for Lucas and his family!

@SarahisCensored - Sarah Fields

My friend and J6 prisoner, Lucas Denney, is at FCC Florence Prison in Fremont County, Colorado. Earlier this evening, a family member who was waiting outside the prison informed me that the prison staff were “hanging up on them” when they attempted to make calls on behalf of Lucas. I was able to contact @bradleyforco, House Representative for District 39, Colorado. She contacted the prison and was told by a staff member that “Denney was not to be released until September 25th, 2025”. Representative Bradley told him that “the President had pardoned him and Lucas Denney is to be released immediately”. She then contacted Lauren Boebert’s team, who stated they were going to contact the Governor. Rep. Stephanie Luck was also contacted. Less than an hour later, we were contacted and told that Lucas Denney was being processed for release! THIS IS HOW THINGS GET DONE! I’m so happy for Lucas and his family. Photo is Lucas and his brother right after release. 🇺🇸

Saved - January 16, 2025 at 4:02 PM
reSee.it AI Summary
I found the disabled girl from the viral video; her name is Micah Leroy, and she has an Instagram account called **disabled_trans_boy**. The account links to a GoFundMe for another child, Raine Brick, who is seeking help for living expenses due to unsupportive parents. I've been investigating this story, but larger accounts are taking my work without credit, which is frustrating. I also discovered that Micah is now 19 and goes by Mara Jean LeRoy, contrary to previous information.

@SarahisCensored - Sarah Fields

🚨DISABLED GIRL WITH DOUBLE MASTECTOMY FOUND.🚨 The female's name in the viral video of a disabled girl who received a double mastectomy is "Micah Leroy". She is found on an Instagram account with the username **disabled_trans_boy**. This is one of the many videos found on the Instagram account, showing a young person with autism, and "Micah". In the bio is a link to a GoFundMe account out of Shakopee, MN. However, the GoFundMe seems to be seeking money for another child requesting money for "rent, food, and monthly bills". The GoFundMe seeks funds for "Raine Brick". The description states - "I'm a disabled and chronically ill person with unsupportive and harmful parents; this money will go to my life expenses until my Social Security pay is set up". Who is behind the camera? Who is typing the Instagram video and photo descriptions? Who is making the doctor appointments? Who is running a GoFundMe for a child and encouraging the child to distance themselves from “unsupportive parents”?

Video Transcript AI Summary
I'm Amelia, and this is Mike and Micah. I bought Micah a plug and pop for college. The instructions warn to keep children and people with disabilities away from the hot pot to prevent burns. Micah has cerebral palsy, and I have autism. We're going to touch the pan. Micah, go ahead and touch it. Be careful, though. Do you need me to bring the fan? Well, there you have it—two disabled individuals interacting with this hot pot. Bye!
Full Transcript
Speaker 0: I'm Amelia. Mike. This is Micah. Who is this? I bought him a plug and pop for college. Number 4 on the instruction packet. Hold on. I'm finding it. Yeah. He gets a hoot out of this. Says, do not let people with disabilities or children approach the pot to avoid burns. Micah has CP among others. I have autism. We're gonna touch this pan. Yeah. Go on up there. Touch that pan. Too close, Megan. Too close. Speaker 1: Do you need me to bring the fan to you? Speaker 0: Oh. Saw it here folks. 2 disabled people. Touch this fucking box. Bye.

@SarahisCensored - Sarah Fields

GOfundMe

@SarahisCensored - Sarah Fields

Hey @@LiishKozlowski, I saw you in a photo with her. You’re cool with this exploitation?

@SarahisCensored - Sarah Fields

I’ve been working on this story since earlier today, trying to figure out where the original video came from. I spent hours of my time seeking out information, talking to experts in special needs and then finally was able to find the social media account that the video came from, and I took the time to type out information for you all to have. That being said, large accounts on this app are already stealing my work and the video that I collected. (I should have watermarked it) and posting it as their own content with their own explanations, some of them are not even getting the details correct. It is really frustrating as an independent journalist for this to happen, and it really needs to be stopped. There needs to be a reporting system for this crap. Yes, I’m happy that the story is getting out there, but as someone who spends a lot of their time doing this, it would be nice to be recognized for my work instead of the grifters just trying to get their next click and not caring whether they get the information correct or not.

@SarahisCensored - Sarah Fields

@LiishKozlowski “Leroy” is a minor according to her profile on this site. https://www.ymcanorth.org/locations/center_for_youth_voice/about/program_participants/mike_leroy

Mike LeRoy ymcanorth.org

@SarahisCensored - Sarah Fields

@LiishKozlowski Correction - She is no longer a minor. She was in the profile from that site. Further digging looks like she is now 19 and her name is Mara Jean LeRoy.

Saved - January 14, 2025 at 2:30 AM
reSee.it AI Summary
The conversation highlights claims about ivermectin, asserting its benefits beyond veterinary use. Key points include its potential to prevent damage from mRNA vaccines, its anti-inflammatory properties, and its effectiveness in treating various autoimmune diseases and improving immunity in cancer patients. It is also noted for its anti-parasitic and antimicrobial effects, ability to reach the central nervous system, and regulation of glucose and cholesterol levels. Additionally, it is suggested that ivermectin may reduce infection and mortality rates related to COVID-19. A response references a deleted government post.

@SarahisCensored - Sarah Fields

REMEMBER WHEN the Media laughed and said ivermectin was ONLY for horses and cows? THEY KNEW it was made for people since 1987. Here’s what they didn’t tell you 👇 1 – It prevents the damage caused by drugs created using mRNA technology, blocks the entry of Spike Protein into cells and, if the person was vaccinated, they can treat themselves for damage already done through Ivermectin. 2 – It only has beneficial effects and no harmful effects in the treatment of the C virus. In fact, even before entering the cell, it has already destroyed the virus in the blood. 3 – It has a very powerful anti-inflammatory action against and has a powerful impact on traumatic and orthopedic injuries, it strengthens muscles and has no side effects like corticosteroids. 4 –It treats autoimmune ailments such as: rheumatoid arthritis, ankylosing spondylitis, fibromyalgia, psoriasis, Crohn's disease, allergic rhinitis. 5 – It improves the immunity levels in cancer patients and treats Herpes Simplex and Herpes Zoster, plus reduces the frequency of sinusitis and diverticulitis. 6 – It protects the heart in cardiac overload. In an embolism for example, it prevents cardiac hypoxia because it stimulates the production of basic energy so that the tissue is not destroyed and thus improves cardiac function. 7 – It is anti-parasitic, anti-neoplastic (anti-cancer). Allegedly, it suppresses the proliferation and metastasis of cancer cells, preserving healthy cells and improving the effectiveness of chemotherapy treatment. 8 - It can kills cancer cells resistant to chemotherapy, defeating the resistance to multiple chemo-therapeutics that tumors develop, and combined with chemotherapy and/or anti-cancer agents, it provides an increase in the effectiveness of these treatments. 9 – It is antimicrobial (bacteria and viruses) and increases immunity. 10 – It reaches the Central Nervous System and regenerates the nerves. 11 – It helps to regulates glucose, insulin metabolism, cholesterol levels and reduces liver fat in steatose. 12 - It can be used as a prophylactic agent and has been associated with a significant reduction in infection, hospitalization and mortality rates due to C-19.

@inextension - Patriot Muffy

@SarahisCensored One of the many government deleted posts. https://t.co/1HBSOon1up

Saved - January 14, 2025 at 1:21 AM
reSee.it AI Summary
I remember when the media dismissed ivermectin as just a veterinary drug, despite its human use since 1987. They overlooked its potential benefits, such as preventing damage from mRNA drugs, treating COVID-19 effectively, and having no harmful side effects. Ivermectin also shows promise in treating autoimmune diseases, improving immunity in cancer patients, and protecting heart function. Additionally, it has antimicrobial properties, reaches the central nervous system, regulates metabolic functions, and may reduce COVID-19-related risks.

@SarahisCensored - Sarah Fields

REMEMBER WHEN the Media laughed and said ivermectin was ONLY for horses and cows? THEY KNEW it was made for people since 1987. Here’s what they didn’t tell you 👇 1 – It prevents the damage caused by drugs created using mRNA technology, blocks the entry of Spike Protein into cells and, if the person was vaccinated, they can treat themselves for damage already done through Ivermectin. 2 – It only has beneficial effects and no harmful effects in the treatment of the C virus. In fact, even before entering the cell, it has already destroyed the virus in the blood. 3 – It has a very powerful anti-inflammatory action against and has a powerful impact on traumatic and orthopedic injuries, it strengthens muscles and has no side effects like corticosteroids. 4 –It treats autoimmune ailments such as: rheumatoid arthritis, ankylosing spondylitis, fibromyalgia, psoriasis, Crohn's disease, allergic rhinitis. 5 – It improves the immunity levels in cancer patients and treats Herpes Simplex and Herpes Zoster, plus reduces the frequency of sinusitis and diverticulitis. 6 – It protects the heart in cardiac overload. In an embolism for example, it prevents cardiac hypoxia because it stimulates the production of basic energy so that the tissue is not destroyed and thus improves cardiac function. 7 – It is anti-parasitic, anti-neoplastic (anti-cancer). Allegedly, it suppresses the proliferation and metastasis of cancer cells, preserving healthy cells and improving the effectiveness of chemotherapy treatment. 8 - It can kills cancer cells resistant to chemotherapy, defeating the resistance to multiple chemo-therapeutics that tumors develop, and combined with chemotherapy and/or anti-cancer agents, it provides an increase in the effectiveness of these treatments. 9 – It is antimicrobial (bacteria and viruses) and increases immunity. 10 – It reaches the Central Nervous System and regenerates the nerves. 11 – It helps to regulates glucose, insulin metabolism, cholesterol levels and reduces liver fat in steatose. 12 - It can be used as a prophylactic agent and has been associated with a significant reduction in infection, hospitalization and mortality rates due to C-19.

Saved - December 15, 2024 at 4:07 PM
reSee.it AI Summary
I found records from the Allamuchy Township School District showing that Joanne Carducci was employed as a paraprofessional for only two years, from September 2017 to October 2019, contradicting her claims of seven years of experience. She also did not work with preschool-age autistic children, nor was she employed in 2020, 2021, or 2022. I've shared screenshots and emails to support these findings. For more details on her statements, you can search her profile for 'paraprofessional.' More information will follow.

@SarahisCensored - Sarah Fields

Records from Louis F. Caruso, the School Business Administrator and Board Secretary for Allamuchy Township School District in NJ, reveal that Joanne Carducci (Aka @JoJoFromJerz on X) was only employed as a paraprofessional for two years. She started 9/1/17 and resigned on 10/30/19. Prior to 2017, she worked as a Sizzler waitress. According to the records I have obtained so far, she did NOT work as a paraprofessional for 7 years, she did NOT work with “preschool age autistic children”, and she was not working as a paraprofessional in 2020, 2021 or 2022. (As she claims in her tweets). Please see thread for multiple screenshots of the lies she has told as well as a record of the email from NJ. More to come.

@SarahisCensored - Sarah Fields

Record of email https://t.co/LfhBuhdyoC

@SarahisCensored - Sarah Fields

Records of false info https://t.co/kDhrGSHAHs

@SarahisCensored - Sarah Fields

Continued records of false info https://t.co/DmYQ7DASA8

@SarahisCensored - Sarah Fields

Continued https://t.co/Zs1muV6YOU

@SarahisCensored - Sarah Fields

If you want to see more of her falsehoods, go to her profile and type in ‘paraprofessional’ to see her past posts about this issue.

Saved - December 1, 2024 at 3:28 PM
reSee.it AI Summary
Last year, I faced an FBI investigation due to my reporting on the southern border. Their focus was solely on my sources, not the story itself, which raised serious concerns for me. They harassed my family and pressured me to meet privately without legal support, but I refused, thanks to my strong legal representation. I hope that if Kash serves, he prioritizes protecting journalists rather than targeting them. I also want to clarify that I never revealed my source. For those interested, I can share the original story.

@SarahisCensored - Sarah Fields

Last year, I was investigated for my reporting on the southern border. The FBI didn’t care about investigating my claims; they only wanted my sources. They harassed my family, texted me, called me, and knocked on my door repeatedly. The FBI wanted me to meet them in a private room behind closed doors without legal help or cell phones/cameras. I told them ‘no’. Thankfully, I had amazing legal representation to protect me and was eventually left alone. But the fact that they only wanted my sources and not the details of the story was a massive red flag. They wanted us quiet. They did not want to protect this nation. I truly hope that if Kash serves, he investigates situations like this. Journalists should be worked with, not targeted for discovering information.

@SarahisCensored - Sarah Fields

And just so everyone knows, I never gave up my source

@SarahisCensored - Sarah Fields

If anyone wants to read the original story. https://www.thegatewaypundit.com/2023/11/texas-journalists-home-repeatedly-visited-corrupt-fbi-exposing/

Texas Journalist's Home Repeatedly Visited by 'Corrupt' FBI for Exposing Possible Hamas Training Camp Near US-Mexico Border - FBI Demands In-Person Meeting to Disclose 'Sources' (VIDEO) | The Gateway Pundit | by Jim Hᴏft           The sanctity of a free press and the protection of journalistic sources have come under direct fire in the Lone Star State, according to Sarah Fields, Director of Advocacy for the Texas Freedom Coalition and a reporter for The Publica, after exposing the possible existence of a Hamas training camp near the US-Mexico border. thegatewaypundit.com
Saved - November 22, 2024 at 9:18 PM

@SarahisCensored - Sarah Fields

Who would have guessed that the social media platform that was built for attracting the far left/liberals would have also made it a safe place for the kiddie diddlers as well? Shocking. https://t.co/vd86LgpNNW

Saved - November 3, 2024 at 4:15 AM

@SarahisCensored - Sarah Fields

Monica Keasler is the one who called in the complaint about Peanut. She has now deleted all of her social media. Make her famous. https://t.co/lTwaKMqPRs

@Tala_NoExcuses - Tala Smith ⚔️

Updated info on the wrongfully euthanized squirrel Peanut, & raccoon Fred… Some ridiculous judge DID sign a warrant. For a squirrel? On a called -in “complaint” by this photog Monica Keasler to the DEC, for unknown reasons. The woman proceeded to brag on her now deleted FB account - she’s also ditched IG & Linked In because people found out who she is. Reviewing facts, it’s a pathetic case of government waste, overreach, & misuse of resources. These people rescued & raised Peanut as an orphaned kit. They had him for 7 years. The man created an animal rescue sanctuary as a result, and had allll the app. process done, & it was SIGNED. The only thing waiting on approval was an enclosure. This animal was not capable of wild survival. They tried that initially, but Peanut came back with injuries. Some rescued wildlife is not releasable - this is exactly why rehab sanctuaries will keep select animals after rehab capability is maxed. A few potential reasons: Missing limbs Birds with lack of flight Loss of vision or hearing Predators unable to hunt sufficiently Prey unable to evade predators Failure to thrive due to health deficits Captivity-raised lack of survival instincts Conditions requiring ongoing medication This RAID involved making the victims sit outside their home for 5 hours while these maniacs tore up everything. They were denied the right to call legal counsel. Feds went thru closets, leaving a complete mess. They broke soap bottles in the bathroom. They took apart the man’s TOILET upon escorting him before he could use it because apparently there could be some important squirrel propaganda hidden in there (I’m assuming in the tank). 😒 Please make it make sense. They further questioned his wife’s immigration status (Germany), in spite of her having all necessary docs & ID. Because these psychos descended unannounced & hunted down these ordinarily docile rescues in their normally peaceful home, somebody supposedly got bitten. They used that as justification for killing them to examine brain tissue for signs of rabies. (Let’s be clear… they were observed putting on gloves. Was anyone ACTUALLY bitten?) What’s really going on here? We all want to know. If you are thinking, “It’s just a squirrel “, look at your pets. Do it right now. Why do you think you are exempt from over-reach like this, & what’s different from your dog or cat? WHAT??? I am a feline rescuer. I’ve also rescued other animals to either be rehab-released, or homed as appropriate. I have been doing this most of my life, in fact. Birds, including a baby hummingbird once. Rabbits. Lizards. Snakes. Dogs. What’s the difference, I ask you. This is NOT about permits. He had the paperwork. Signed. It was in final process. Why do Feds have the time & resources for one MF squirrel that’s not bothering anybody? If they need something to do, I have a few suggestions. Some legit tasks first… and a couple of impolite instructions after that. I usually try to avoid posting things that end up in the political arena, but here we are. This is as far as I’m concerned a bipartisan concern anyway, so today I am speaking up. NONE of us should be ok with this type of abusive home invasion. Do you want to be treated like a criminal, like a drug dealer, on your own property.. when you have done nothing harmful to anyone? I’m absolutely certain that I don’t. AS a rescuer MYSELF, this hits hard. I’ve had tragic abuses committed by other organizations that I had to then correct & be the responsible party - costing me hundreds in the aftermath, plus deciding under duress of the situation to adopt as a result. Over the lifetime of a pet, that’s thousands. I continue to do this, in spite of not having a donation for it in 4 years. So to me, it’s an important issue. We talk all the time about being responsible citizens, but when it comes to actually demonstrating it, who steps up? In my neighborhood, it’s just me. Out of pocket. So YEAH… #JusticeForPeanut

Saved - October 29, 2024 at 11:08 PM
reSee.it AI Summary
I recently saw James O'Keefe's post about ActBlue allegedly processing fraudulent contributions. We decided to test it and found that ActBlue accepted a fake donation of $2,000 using entirely false information. In contrast, when we tested the same scenario with WinRed, the fake payment was rejected. A big thank you to @Dieselpatriotx for helping with this test.

@SarahisCensored - Sarah Fields

Recently, James O'Keefe posted that someone sent him evidence that ActBlue was allegedly accepting and processing fraudulent contributions. We tested the theory, and sure enough, ActBlue is accepting and processing fake donations. With all fake information, including a fake name and credit card, ActBlue accepted a fake contribution of $2,000. My source then tested the same theory with WinRed, and the fake donation was rejected.

@SarahisCensored - Sarah Fields

Same theory applied to Winred. Fake payment was rejected. https://t.co/vFmlwObs60

@SarahisCensored - Sarah Fields

Huge thank you to @Dieselpatriotx for testing this out.

Saved - October 6, 2024 at 3:59 PM
reSee.it AI Summary
Yesterday, Chrissy and I found a young girl and her 6-day-old baby during the storm in Lake Lure. I had packed baby supplies before our run, feeling it was necessary, and it turned out to be crucial. After some convincing, I helped them escape the knee-deep water to a nearby church for medical care. While I'm safe, the experience was traumatic, especially knowing her boyfriend is still missing. I shared this not for praise but to highlight our community's resilience in the face of despair. We are coming together to support one another.

@SarahisCensored - Sarah Fields

🚨Incredible Story of Helene Rescue🚨 “Yesterday. Chrissy and I located a Young girl and a 6 DAY OLD BABY in Lake Lure. Who had JUST given birth. During the storm. Alone. (Via seeing an old man who waved at us with his dog who also needed dog food, which I happened to have...) We were her first contact. Before I left for our run (my car was water and med kits) I saw there was extra room. I could have loaded anything but for some reason I chose to load it down with baby supplies. Diapers, wipes, formula, bottles etc. I had no idea I was going to actually need that stuff in real time. I just felt like I needed to load it in there. So I did. And we found the ONE person who needed it... urgently. Because she had 1 pre-made bottle left from her shower. That....I can't begin to describe what that was like. I knew I was the only one that knew exactly where she was or how to get to her...so... Today my mission was to take more supplies to her, but in reality, to convince her come with me. It took some time. She was scared. The water/mud was knee or waist deep, around her house. I told her that yes, it was deep, but we would make it and to just trust me. Just give me the baby. So, I held baby E and strapped my backpack tight (pulled straps tight so momma could hold onto me) to my back and told momma to hold on to me and just keep going. If we got stuck we could get out. We did. As we speak, "N.H. & Baby E." have been extracted. I took them to a church, relatively close to her, to recieve medical care and be ruinited with her loved ones. I am still trying to process it. Her boyfriend is still missing. It's gonna take me a minute. Like, I'm okay...I'm safe...but I'm definitely traumatized. But they're okay. They're alive. They're safe. And that's all that matters. Good luck you two. I'll always remember you. (I had to do this today... WE are having to do ALL of this by ourselves as a community...because we have no one else. It's just us. And hey. Maybe it's for the best. We're actually getting pretty good at this.) I messed up my radiator trying to get to her. But used some water to keep filling and cooling it down; as soon as I got back, some awesome guys started working on it and got it fixed up enough for me to get back to my husband! 🙏 (Just glad I made it back!) Ps. Please know, I didn't write this for any kind of praise or glory or anything. I honestly figured it would get hidden like the rest 'till just now. I just know that this community is hurting deeply. And we need to see ANY kind of positivity amongst the dispair right now. So, It's not about me. It's about how WE...this community, has risen to the occasion to take care of our own. And it's been a beautiful sight to behold.” ~ Testimony of Heather Golden #HurricaneHelene #helene #helpisontheway #wegotthis

Saved - October 6, 2024 at 3:06 AM
reSee.it AI Summary
I revealed that Harry Sisson has been coached and scripted for his interviews, including one with Secretary of State Blinken, with records showing he continues to receive guidance from the government. These documents indicate serious legal implications regarding disclosure laws, as Sisson's content is not organic but orchestrated. I also exposed his involvement in doxxing my family and highlighted the financial backing he receives, contradicting his portrayal as a "poor college kid." The evidence points to a broader manipulation of influencers by political entities.

@SarahisCensored - Sarah Fields

🚨Open Records Reveal: Harry Sisson Not Only Received Coaching and Scripts for His Interview with Secretary of State Blinken, But Has CONTINUED to Receive Scripts for TikTok from the Secretary of State as Recently as October 2024 🚨 In April 2024, I released requested records from the Office of Governor Josh Shapiro. The records reveal texts, emails and correspondence between the Governor’s office, Harry Sisson and Palette Media. We already know Harry is being paid. This was proven repeatedly by myself and MULTIPLE others, I didn't aim to keep rehashing the worn-out issue of Harry's compensation. The records I obtained don’t just prove he was paid, but that his “interviews” are not organic. He is a used, coached puppet by the left with little to zero original thought. Every question is scripted, coached and timed. And when Sisson wanted to ask his own questions, he had to receive approval from Shapiro’s staff. This reveal was received with outrage from the left and right alike. As you can see in a video screen of Harry’s live, he desperately attempted to discredit my report. He stated that he was never coached and that it was all a conspiracy theory. Even though my records came straight from the office of Shapiro. My records also revealed that there are serious legal implications to how Sisson and many other influencers are operating. The courts have upheld disclosure laws over and over again. With the general consensus being that “disclaimers provide critical information about advertising sources so that the electorate can more effectively judge the arguments they hear” (FEC website). I will attach my prior post on Sisson and Shapiro in the thread. It is an important part of my release today. Why? Because NOW officials have started COVERING for Harry. The official letter sent to me, along with the Sisson file, made it clear that redactions would be made because of what the office of the Secretary of State called “foreseeable harm”. (What harm? EXPOSURE?) What was redacted? 👉👉Harry’s SCRIPTS were redacted. The following thread contains the full file I received. The records show that this goes much deeper than Harry Sisson. The file shows that TikTok creators are being used to influence the election, with zero disclosure. Certain narratives such as “h@m@s is being asked to ceasefire” and that the “Ukraine War is a LONG war”. Also an interesting side-note, William Russo, the Assistant Secretary Bureau of Global Public Affairs, went on sabbatical in April 2024, directly after these records were requested. (Continue in 🧵)

Video Transcript AI Summary
There is no evidence to support conspiracy theories, so people should go outside and stop paying attention to young men on the Internet. Things are not that deep, and there is no conspiracy with everything. The speaker, age 21, interviewed a governor and was not told what questions to ask. His wife knows how to do things and is currently cooking dinner. The speaker knows Kevin with Governor Shapiro's team and is excited for him. He does not want to expose any information, but it is already out there due to the Freedom of Information Act.
Full Transcript
Speaker 0: Yeah. I I I just don't think anybody has, like, actually any evidence. So I don't think it's genuinely worth engaging with. Go outside. Get a hobby. Stop paying attention to young men on the Internet. Go outside. Stop listening to freaks. Like like, there's not every it's not this deep. He's such a years old. I had the honor of interviewing a governor. I'm not done yet. There's nothing There's nothing There's nothing No. I'm not done yet. I'm not done yet. I'm not done yet. I'm not done yet. You're gonna be quiet. There's nothing more. It's not a conspiracy. There's no coaching. I'm just 21, and I had the honor of interviewing a governor. When he told me what questions to ask, nobody said I had to do this or do that, I went there on my own. Right? So stop listening to those people and, like, go outside, and you'll realize that things are not this deep and that there's not a conspiracy with everything. Is your wife in the room with you? No. She's cooking dinner. She's cooking dinner? Does she know how to do stuff like this? Oh, yeah. Of course. She knows. Yeah. Your wife knows that you pay, like, a lot more attention conspiracy, buddy. Kevin, with governor Shapiro's team, I'm excited for you tomorrow. They're they're my guys. Well, show show it show it then. Well, I I I don't wanna expose any information. Well, it's already out there. It's freedom of information act when you do something like

@SarahisCensored - Sarah Fields

(Sisson Thread Pt 2). The opening cover letter - Stating that redactions were necessarily due to “foreseeable harm”. They only redacted scripts. Meaning they defined “harm” as exposing Harry Sisson. Now is a good time to remind everyone that nearly a year ago, when I first exposed Harry, He participated in doxxing my family, including my daughter, who was a victim of a horrific crime committed by my Ex-husband. Harry was told this and given receipts. He not only participated, but he did not stand in the way or try to correct the issue when his following doxxed me and accused me with outright lies that placed me and my family in danger.

@SarahisCensored - Sarah Fields

(Sisson Thread Pt 3). Emails shared on the 15th of December, just before Sisson’s “interview” with Blinken. Scripts redacted. Emails mentioned digital content and engagements. Talking points. https://t.co/KHC9dvH1VF

@SarahisCensored - Sarah Fields

(Sisson Thread Pt 4). Clearance requested to comment on thread regarding the Sisson and Blinken “interview”. Nothing is organic. https://t.co/R0kGnqwXlI

@SarahisCensored - Sarah Fields

(Sisson Thread Pt 5). Redacted policy points made on the “impact of TikTok” https://t.co/jZc560G0Bc

@SarahisCensored - Sarah Fields

(Sisson Thread Pt 6). “the most important thing you can do is work through influencers” - Please note that when it says draft note to “S” on TikTok, S stands for Sisson. Harry works for them. https://t.co/MK736FxAA9

@SarahisCensored - Sarah Fields

(Sisson Thread Pt 7). Adding insult to injury, here is documentation of Harry stating that he has not only been paid through his videos and lives on TikTok, but also through collaborations with advocacy groups. https://t.co/zCxoO4hL1D

@SarahisCensored - Sarah Fields

(Sisson Thread Pt 8). https://t.co/6Fyp8uUz3i

@SarahisCensored - Sarah Fields

(Sisson Thread Pt 9). https://t.co/Bq33J59gKu

@SarahisCensored - Sarah Fields

(Sisson Thread Pt 10). https://t.co/bsm9GDCAFH

@SarahisCensored - Sarah Fields

(Sisson Thread Pt 11). Ridiculously redacted pages of scripts as recent as October 2024 for Harry Sisson. https://t.co/IGjoH0u9a3

@SarahisCensored - Sarah Fields

My exposé of Sisson and Governor Shapiro from April 2024.

@SarahisCensored - Sarah Fields

Harry Sisson is being dishonest with his followers. You all already know this. He is constantly asked on his live if he is paid for his work, to which he sarcastically responds by saying “oh yeah, I’m paid by Taylor Swift”, thus avoiding the question altogether. Recently, he was asked by a follower if his interview with Pennsylvania Governor Josh Shapiro was arranged and financially handled by Pallete Management. Harry declined to answer. But don’t worry, I come with receipts. Records I have obtained by the office of Governor Shapiro are all public record and were released to me via a “Right to Know” request form. A few things learned: • Olivia Julianna is in direct contact with the Office of Josh Shapiro as a part of “Gen Z for Change” and gave them a recommendation for Harry Sisson. • The entire visit was staged and scheduled for Harry by the office of the Governor and Pallete Management. • It is disturbing to know that “Governor Shapiro is a fan of Harry” (as mentioned in the documents). Harry is consistently lying and spreading misinformation. This speaks a lot for Shapiro’s character. • Harry Sisson is being used, along with many other content creators, as pawns by the Biden administration, and it is now clear that Josh Shapiro is a part of this plan. • A Biden interview is now being mentioned in the texts. The “poor college kid who has to eat pizza for all of his meals” is being groomed by Pallete Management and the Biden admin and elected supporters to mislead an entire generation, and Harry is not being honest regarding how this is being arranged, WHO is making the arrangements for him, and the financial details. • Harry began working for Palette in Oct. 2022, the same month when the DNC gave Palette $200,000 for paid media. The file is large. I am going to learn how to publicly link the files for you, and post it in the thread for anyone who wants to download the documents. I will continue to investigate Harry and his lies (As promised), as well as the agenda of “Gen Z for change”.

@SarahisCensored - Sarah Fields

My exposure of Harry and Governor Shapiro put into perfect words by Older Millennial.

@SarahisCensored - Sarah Fields

Fantastic summary by The Older Millennial! And yes, Harry is breaking disclosure laws, again. I strongly suggest you follow my friend, @teameffujoe https://t.co/cGes0QPgE2

Video Transcript AI Summary
Harry interviewed Pennsylvania Governor Shapiro, but his communications with government officials are public record. Investigative journalist Sarah (Sarah is censored on X, Sarah for Texas on TikTok) obtained Harry's texts, revealing that Gavin Lichtenstein, the governor's director of digital partnerships, offered Harry an embargoed script with bullet points to prepare for the interview. Harry asked if he could ask questions about democracy, but the interview stayed on script. Harry has denied that Pallet Management set up the interview or that he was compensated, but the texts show Kevin Pham, Harry's talent manager at Pallet, arranged it. Sarah asked Harry if Pallet Management handled the interview and if there was a financial transaction, but Harry did not respond. The interview was scripted by the governor's team, set up by Pallet Management, and there was likely financial compensation, but Harry's videos do not disclose a paid partnership. Doing paid political advertisements for a candidate without disclosing payment is a crime.
Full Transcript
Speaker 0: So I'm really happy for Harry that he got to do an interview with the governor of Pennsylvania. But, Harry, were you aware that all of your text messages, emails, and other communications with government officials is part of the public record and therefore subject to a freedom of information request? That's fine. But don't worry, Harry. I haven't submitted any of those requests. However, your favorite investigative journalist did, I just wanna be clear real quick that none of this is my research, and all credit goes to Sarah is censored. That's her on x, and you can also follow her on TikTok at Sarah for Texas. So Harry's been posting videos like this, where he says, I asked governor Shapiro of Pennsylvania how he'll respond if Trump tries to overturn the election results. You know, basically pretending that that was a question he wanted to ask. However, the text messages that Sarah was able to get tell a different story. Hold up. Wait a minute. See, this is Harry's conversation with Gavin Lichtenstein. Gavin is the director of digital partnerships for the governor. And what's Gavin saying here? Hey, Harry. It's Gavin with governor Shapiro's team. Excited for tomorrow. I'm working on getting you an embargoed version of the script with bullet points so you can prepare. It's funny because if I've been interviewing a government official and he sent me a text that said he was gonna give me a script, I would question why I need one. But Harry's response is cool. Thanks. I'll give him credit because he did ask if it would be possible to ask some questions about our democracy. But if he actually watched the interview, which I have to say, sadly, I did for the sake of being able to make this video, yeah, he never asked any of those questions. No. Harry stayed on script. The funny thing is that Harry has denied that this has been set up by Pallet Management. He's tried to deny that he's been compensated to do this interview, but we know that's not true. This was all set up courtesy of Kevin Pham, who is Harry's talent manager at Pallet. And Sarah, being the outstanding investigative journalist she is, actually tried to clarify this with Harry. Asked him, did Pallet Management handle your interview with Josh Shapiro? Was there a financial transaction between the 2? Oh, when Harry saw the message, gotta love Reed Receipts. So thanks to Sarah, we now know that his entire interview with the governor was scripted, and it was scripted by the governor's team with bullet points. And we also know that it was set up by Pallet Management. Good job, Kevin. I've never known a talent agency to work for free. There was obviously financial compensation for this interview, but none of his videos about this point out that it's a paid partnership. Harry, do you know what they call doing paid political advertisements for a candidate and not disclosing that you're paid for it? Hey, little buddy. That's a crime. But, hey, I guess liberal creators can commit crimes on this platform and not be punished by TikTok.

@SarahisCensored - Sarah Fields

When they try to tell they’re just “poor college kids”. https://t.co/xvpgkZdezU

@SarahisCensored - Sarah Fields

Chris Mowrey, Harry Sisson’s best friend, is the son of Robert D Mowrey. Robert is partner in one of the largest environmental law firms in the southeast. This includes several cases involving the EPA 💰💰💰 According to financial public records, Harry Sisson’s parents paid mainly cash for their homes. Their NY home was $1,995,000. The NJ vacation home is $2.1 million and the other NJ rental home is valued at $1.7 million. One home in PA is valued at $205k and 2 homes in CT at $300-$400k each. Harry’s father sold one NJ home for $3.6 million in 2021. Do not EVER, ever allow these paid liars tell you they’re just “normal” or “poor college kids” (Both Harry and Chris spin this lie). They came into this life because of mom and dad. They’re nothing more than professional spoiled br@ts who have been trained their entire lives to spin a narrative and manipulate their peers. They have no shame, no remorse and no empathy. (Don’t forget that Harry assisted with doxxing me and my family). They will stop at nothing for the almighty dollar, because it was bred into them.

@SarahisCensored - Sarah Fields

Honorable mentions. @FFAFamily and @teameffujoe

Saved - October 5, 2024 at 11:06 PM
reSee.it AI Summary
A friend in North Carolina shared a story about her husband's military buddy who was flying to deliver supplies. When the FAA told him he couldn't land, he defiantly said, "F off," and challenged them to come get him on the mountain. We need more of this boldness!

@SarahisCensored - Sarah Fields

A good friend in North Carolina just told me that her husband has a military buddy who was flying, delivering supplies and personnel. The FAA instructed them that they couldn't land. He told them to "F off" and said, "If you want me, come and get me on top of the mountain!" We need more of THIS. 💪

@SarahisCensored - Sarah Fields

https://t.co/1zQq9pLCXC

Saved - September 20, 2024 at 10:18 AM
reSee.it AI Summary
I shared a thread highlighting the significance of a CDC study comparing vaccinated and unvaccinated children, which had been hidden from the public since 1999 due to its unfavorable results regarding vaccines. I detailed various health issues linked to vaccination, including asthma, diabetes, infant mortality, and autism, among others. I emphasized the importance of transparency and shared links to further resources from Children’s Health Defense and Robert F. Kennedy Jr. for those who want to delve deeper into the findings.

@SarahisCensored - Sarah Fields

🚨Records through a FOIA provided by the CDC - A Thread 🚨 I cannot make it clear enough how important this is. And how important it is that the American people SEE THIS. For a very long time, many Americans were under the impression that the CDC would not do a Vacc*nated vs. Unvacc*nated study on the health outcomes of our children. But, They actually did, back in 1999. Why didn’t we know? Because the results were so d@mning against va((ines, that they deliberately hid it from the public. But thanks to Robert F. Kennedy Jr. and the Children's Health Defense, they were able to obtain the records through a FOIA request several years ago. So here it is: A Vacc*nated VS Unvacc*nated Study done by yours truly, the CDC..

@SarahisCensored - Sarah Fields

Asthma, HayFever. Infant Mortality.

@SarahisCensored - Sarah Fields

Infant mortality. Diabetes. Premature puberty.

@SarahisCensored - Sarah Fields

Asthma. Motor and phonic tics. Atopy (allergy). Intussusception.

@SarahisCensored - Sarah Fields

Risks in pregnant women. Narcolepsy.

@SarahisCensored - Sarah Fields

Celiac. Emotional disturbance. Memory impairment. Bell’s palsy. Paraesthesia. Inflammatory bowel disease.

@SarahisCensored - Sarah Fields

Miscarriages. ADhD. Crohn’s. Ulcerative colitis.

@SarahisCensored - Sarah Fields

Premature puberty. Asthma. Autism.

@SarahisCensored - Sarah Fields

Diabetes. Allergic rhinitis, allergies, ADHD, autism, eczema, learning disabilities, neural developmental disorders.

@SarahisCensored - Sarah Fields

Mortality in young girls. Non-flu infections from flu shot. Autism. Sleep disorders, neural developmental disorders.

@SarahisCensored - Sarah Fields

End thread

@SarahisCensored - Sarah Fields

For some, it is difficult to see the text on the slides. Here is the link to the article by Children’s Health Defense and @RobertfKennedJr. 1. https://childrenshealthdefense.org/child-health-topics/exposing-truth/fully-vaccinated-vs-unvaccinated/ 2. https://childrenshealthdefense.org/wp-content/uploads/Vaxxed-Unvaxxed-Parts-I-XII.pdf And the second link with the full slide show.

Fully Vaccinated vs. Unvaccinated — Part 1 The Institute of Medicine (IOM) has repeatedly asked CDC to create studies which explain, "How do child health outcomes compare between fully vaccinated and unvaccinated children?" childrenshealthdefense.org
Page not found • Children's Health Defense childrenshealthdefense.org

@SarahisCensored - Sarah Fields

@RobertfKennedJr @threadreaderapp unroll

Saved - August 28, 2024 at 2:38 PM

@SarahisCensored - Sarah Fields

McKinney ISD, Texas - A motion was made by board member Chad Green to not allow males to enter girls' locker rooms or to compete in girls' sports. The motion did not receive a second, and thus, it failed. No other board member would stand up for girls' rights. Homeschool your child.

Video Transcript AI Summary
A motion was made to support young ladies by not allowing boys in their locker rooms or on their sports teams. The motion specified that young men with boy DNA should not be allowed in the locker rooms or on sports teams competing against young ladies. There was no second to the motion.
Full Transcript
Speaker 0: We, support our young ladies and not allow any boys in their locker rooms or on their sports team. Speaker 1: Okay. So we have a motion on the floor as Chad, trustee Green has stated. Do we have a second? And do you want just to clarify again, for I know for miss Pierce, wanna make sure the motion. Speaker 0: That we support our young ladies and not allow boys. That's that's young men that have a, that have DNA that is boy DNA not be allowed in the locker rooms or on the sports team competing against general ladies. Speaker 1: So that's the motion. And there's do we have a second for the motion? So then no second, we'll go ahead we'll go ahead and then dive. Alright. We're moving on to our last speaker. We have
Saved - August 28, 2024 at 12:45 PM

@SarahisCensored - Sarah Fields

Oof https://t.co/HnvLVXctDp

Saved - August 25, 2024 at 2:17 PM

@SarahisCensored - Sarah Fields

I feel like now is a good time to remind everyone that Lahaina burned to the ground and the Biden/Harris admin gave the families $700. At the same time this happened, billions of dollars were sent to Ukraine. https://t.co/3U9Dwtk2qQ

Video Transcript AI Summary
The speaker expresses extreme distress, repeatedly saying "Holy shit" and "Fuck" while assuring someone named Milo that they will be okay. The speaker reports that both sides, left and right, are on fire. White smoke is appearing, which the speaker interprets as a sign that the fire is starting to die down. The speaker describes the situation as "fucking scary" and states they are "almost almost rescued."
Full Transcript
Speaker 0: Holy shit. You're gonna be okay, Milo. Holy fuck. Fuck. Oh, shit. Both sides to the left and the right are on fire. White smoke starting to come, which means the fire is starting to die again. Fucking scary. Almost almost rescued.
View Full Interactive Feed