TruthArchive.ai - Tweets Saved By @a_nineties

Saved - May 14, 2024 at 2:30 PM
reSee.it AI Summary
AstraZeneca's final clinical study reports were released on EMA CDP. Timing seems sketchy due to withdrawal. Anaphylaxis and known allergens are not considered significant. TTP not reported during the trial but observed rarely in post-marketing. Unusual tones for a vaccine company. AZD1222 had a higher GBS signal compared to Pfizer/BioNTech. Outsourcing pharmacovigilance to the company raises doubts. Positive effect on all-cause mortality and lower AESI rate compared to saline injections. Non-AZ Covid vaccines were not excluded in the study. Efficacy summary shows concerning results.

@a_nineties - a_concerned_amyloidosis💜🐭🇩🇪

🚨🚨FINAL CLINICAL STUDY REPORTS FOR ASTRAZENECA🚨🚨 https://mega.nz/folder/OJwTgazL#pYVUqu2y3jUkWLFttRD9bQ… 51 documents - 350 MB - released on EMA CDP 26.4.2024 🧐🧐 sketchy timing re: withdrawal. haven't read anything yet, directly reuploaded @eh_den @ClareCraigPath

File folder on MEGA mega.nz

@a_nineties - a_concerned_amyloidosis💜🐭🇩🇪

@eh_den @ClareCraigPath just browsing through the safety summary at work. healthcare providers are familiar with anaphylaxis soooo it's not worth bothering with. OH and all the excipients you might be allergic to are of course known and communicated to you so you can make an informed decision 🤡🤡

@a_nineties - a_concerned_amyloidosis💜🐭🇩🇪

no TTP "reported" during the trial but "very rarely observed" in post-marketing - MoA is "unconfirmed hypothesis" - and a whole 'nother bunch of subjects for whom "the benefits and risks of vaccination should be considered". very unusual tones for a vaccine company 😊

@a_nineties - a_concerned_amyloidosis💜🐭🇩🇪

look at the dates on the cited studies 😂😂 this section is especially egregious because AZD1222 had an eye-wateringly enormous GBS signal.

@a_nineties - a_concerned_amyloidosis💜🐭🇩🇪

WOW. ~3x more GBS despite 1/6 the administered doses compared to pfizer/biontech‼️

@a_nineties - a_concerned_amyloidosis💜🐭🇩🇪

this is what happens when you outsource pharmacovigilance to the pharmaceutical company 😅i wouldn't bother CONFIRMING any of those reports either. why even list them at all if they're not CONFIRMED? isn't serious disease CONFIRMATION enough? infuriating

@a_nineties - a_concerned_amyloidosis💜🐭🇩🇪

😂you'll be pleased to hear AZD1222 has a slight positive effect on all-cause mortality according to this summary analysis and saline injections have twice the related AESI rate. AZ didn't exclude subjects who received non-study covid vaccines in the c00001 trial..same here?

@a_nineties - a_concerned_amyloidosis💜🐭🇩🇪

these two tables are right after each other in the efficacy summary file, p28. https://mega.nz/folder/OJwTgazL#pYVUqu2y3jUkWLFttRD9bQ/file/bZgwSZyQ "first unblinded vaccination" means vaccination in or out of the study, so it's a later timepoint than "unblinded", non-AZ covid jabs weren't excluded. pretty bad either way!

File folder on MEGA mega.nz
Saved - April 6, 2024 at 5:51 AM
reSee.it AI Summary
In March 2018, there was an email discussing nanoparticles and SARS glycoproteins for a DARPA grant. There were concerns about mice with a bat immune system and a plan to build a bat spraying device. The communication between Daszak, Baric, Shi, and Wang from mid-2018 to fall 2019 is questioned. There is mention of deviant spike proteins being developed and the existence of novel S glycoproteins.

@a_nineties - a_concerned_amyloidosis💜🐭🇩🇪

the very first goddamn email: daszak says baric is working on nanoparticles, and baric is asked about sars glycoproteins he's making for a DARPA grant and they're trying to get them into bats from march 2018

@JamesCTobias - Jimmy Tobias

A few FOIA documents that I received from USGS today re: DEFUSE, etc: https://www.documentcloud.org/documents/24529444-2024-000075__2024-000076_-_combined_records_redacted

2024-000075__2024-000076_-_Combined_Records_Redacted documentcloud.org

@a_nineties - a_concerned_amyloidosis💜🐭🇩🇪

gonna read these closer tomorrow

@a_nineties - a_concerned_amyloidosis💜🐭🇩🇪

jesus christ, "batized" mice, as in mice frankensteined into having a bats immune system?

@a_nineties - a_concerned_amyloidosis💜🐭🇩🇪

who the hell is tonie rocke and her plan to contract a company to build a bat spraying device? i also find the reference to "quid pro quo" lab work a little concerning - no paper trail is what makes it easier than $

@a_nineties - a_concerned_amyloidosis💜🐭🇩🇪

i'd also like to draw attention to this post i found very insightful from the original thread in the OP, comment section is very worth reading

@KappaFannon - Kappa Fannon🌸

So, the work was thought out, the needs and progress goals outlined and put in order. The budget constraints of live bats, as a sub-award in the U.S., became a major stumbling block for the larger team with Rocke and at that point bat budget was a top of mind item. Shi had continuing funding under other U.S. grants and in China (see her C.V. and the dates of ongoing funding below)⬇️ The next question would be—where are the emails from Daszak and Baric and Shi discussing moving forward with their plans after this funding was averted?? They had ongoing, same-vein projects they had been coordinating on for years and would continue working on. Has anyone seen communications after this (now still a one year interim) leading up to the pandemic beginning in fall of 2019? Also, parts of this work were ongoing and parts begun after submitting while waiting on grant decision. Daszak was known to give go ahead for projects to continue on after not winning grant money before. A continuation with the core team—with Baric, Shi, Daszak, Wang and the newly understood live bat budget constraints would have been Daszak’s standard playbook for EcoHealth—work ahead and demonstrate progress on the work they were already doing for the next Gov money they wanted to request For example: this Shi and Wang 2018 dampened interferon in bats study 🦇 is part and parcel of the same project—> DEFUSE wanted to undampen (or create) novel interferon action in bats using this pathway. https://pubmed.ncbi.nlm.nih.gov/29478775/ The prior Daszak and Shi study on the ORFX suggested this part of the bat coronavirus played a part in that dampening. https://www.ncbi.nlm.nih.gov/pmc/articles/PMC4936131/ Think Daszak and Shi and Wang just all walked away from something they had been studying—how to turn on bat immune response to coronavirus?? Just dropped the entire line of research think not So where are the Daszak and Shi, Shi and Wang, Shi and Baric, Daszak and Baric communications from mid 2018 through fall of 2019??

Dampened STING-Dependent Interferon Activation in Bats - PubMed Compared with terrestrial mammals, bats have a longer lifespan and greater capacity to co-exist with a variety of viruses. In addition to cytosolic DNA generated by these viral infections, the metabolic demands of flight cause DNA damage and the release of self-DNA into the cytoplasm. However, wheth … pubmed.ncbi.nlm.nih.gov
Bat Severe Acute Respiratory Syndrome-Like Coronavirus WIV1 Encodes an Extra Accessory Protein, ORFX, Involved in Modulation of the Host Immune Response Bats harbor severe acute respiratory syndrome (SARS)-like coronaviruses (SL-CoVs) from which the causative agent of the 2002-2003 SARS pandemic is thought to have originated. However, despite the fact that a large number of genetically diverse SL-CoV ... ncbi.nlm.nih.gov

@a_nineties - a_concerned_amyloidosis💜🐭🇩🇪

deviant spike proteins being developed https://t.co/SBDVcn0Dsr

@abhishek_s_1 - Abhishek

DEFUSE proposal states they've already developed novel group 2b SARSr-CoV chimeric S glycoproteins that are 25% distant from existing strains. Have these been published anywhere by the @Baric_Lab ? https://t.co/mgf3BoTMoD

Saved - December 12, 2023 at 4:28 PM
reSee.it AI Summary
Newly obtained FOIAs reveal concerning information about Pfizer's DNAse process. The documents, received on 6.12, highlight unsatisfactory GMP-inspection and discrepancies in measurement units. The EMA's lack of data on enzyme activity and DNAse treatment is alarming. Pfizer's delayed submission and subsequent implementation of process enhancements raise questions about regulatory oversight. The article sheds light on the timeline of events and the implications for quality control.

@a_nineties - a_concerned_amyloidosis💜🐭🇩🇪

🚨🚨NEW DNAse FOIAs!🚨🚨 i just got into contact with the recipient of the original two documents in the quote tweet. he received these two new ones on 6.12. 1)https://mega.nz/file/GIolzLDZ#Y-2dlSbF4VfA28S1mjJm_CCcn7mtTlOiHUBUO5AYhaU… 2)https://mega.nz/file/eIoSyQyS#Y2g4VtSCUlDXg9JSTY32BQIM8_Up9I8xtrkg0SMxIFw… @DJSpeicher @CanningPharm @JesslovesMJK @Kevin_McKernan

File on MEGA mega.nz
File on MEGA mega.nz

@a_nineties - a_concerned_amyloidosis💜🐭🇩🇪

*forgets quote tweet

@a_nineties - a_concerned_amyloidosis💜🐭🇩🇪

some new process 2 documents H/t @B_A_f_H_ https://postvac.org/community/rechtliche-fragen/neue-erkenntnisse-starke-verunreinigung-des-biontech-mrna-impfstoffs-comirnaty/paged/4/#post-39818 https://docdro.id/71rc66n https://docdro.id/bzHPvTx @kevin_mckernan @P_J_Buckhaults @iambrookjackson @Sabisteb @joshg99 @CanningPharm i always come up blank tagging people

Seite 4 | Neue Erkenntnisse: Starke Verunreinigung des Biont... Seite 4 | Damit ist m. E. die Zulassung in Frage zu stellen. postvac.org
Assessment Report for the Post-Authorization Measure REC 027.pdf View and download Assessment Report for the Post-Authorization Measure REC 027.pdf on DocDroid docdroid.net
Type IB variation report.pdf View and download Type IB variation report.pdf on DocDroid docdroid.net

@a_nineties - a_concerned_amyloidosis💜🐭🇩🇪

document 1: 17.8.2021. 9 pages spec = "tell us whatcha got LOL" andover = partially cleared rec#3 +7= still uncleared https://t.co/Rl16LCDh1K

@a_nineties - a_concerned_amyloidosis💜🐭🇩🇪

GMP-inspection= NOT SATISFACTORY. tick is in the wrong column, pr brigade pharma bootlickers! https://t.co/77gPFQDfah

@a_nineties - a_concerned_amyloidosis💜🐭🇩🇪

the on-site andover tests used to validate the enzymes used return results in different units than the vendor certificate of analysis! the vendors check their stuff before sending to pfizer, but andover uses different measures?? please correct me if im wrong https://t.co/lPv4FF4dPl

@a_nineties - a_concerned_amyloidosis💜🐭🇩🇪

check out that garbled heading, wtf, and then the 35 dpi scan. i think most of the black boxes are "report results" following from what the previous page said. https://t.co/ngEeKh2Avn

@a_nineties - a_concerned_amyloidosis💜🐭🇩🇪

reminder: this document is AUGUST. they want studies by end of Q2, that was 1.5 months ago. and then the red boxed paragraph! i will have to quote my meme. dont worry though! pfizer is rawhiding it by just measuring DS! https://t.co/zLxw6WbFDU https://t.co/1w6YDsjcmX

@a_nineties - a_concerned_amyloidosis💜🐭🇩🇪

yes i have much better things to be doing, how could you tell? https://t.co/VJTFCIwzK8

@a_nineties - a_concerned_amyloidosis💜🐭🇩🇪

THE EMA IS PFIZER'S BITCH -no descriptions of tests -no vendor data validation -"pls jus gib short description of good-enough result to poor regulator" aka my boss is killing me :((( -made experiment(S) -wont gib data -"gib jus 1 studY pls" -but after approval https://t.co/Cxx5V8oT8k

@a_nineties - a_concerned_amyloidosis💜🐭🇩🇪

no obligations - just recommendations. extension requested to q2 2021. nothing doing, no dice, nix nada niente by mid august. so EMA folds and "recommends" they "follow-up". but it's enough for partially fulfilled, and that's enough for european arms. https://t.co/FQB5N8sXoT

@a_nineties - a_concerned_amyloidosis💜🐭🇩🇪

nine months after the jabs hit the market, the EMA gave up on getting the data on process 2 quality control, especially regarding ALL the enzymes used in creating the DNA template and the efficacy of the DNAse treatment! https://t.co/KwanNLa3PA

@a_nineties - a_concerned_amyloidosis💜🐭🇩🇪

second document: 8.12.2022. just about a year ago, that's like yesterday by FOIA standards! this one is 14 pages, but the table of contents looks pretty weird, like some of the headings in the previous file 🤨 https://t.co/QaxRwmvcFF

@a_nineties - a_concerned_amyloidosis💜🐭🇩🇪

1. spec weakened 2. spec will be introduced (is not active yet) 3. spec removed 4. describe spec (is not yet described) 5. figured out how much the filters can take (didnt know that yet) 6. REC#7 is fulfilled???? https://t.co/VHvDu3vDTz

@a_nineties - a_concerned_amyloidosis💜🐭🇩🇪

nope hold on, both RECs #3 and #7 are just gucci now. how come?! new results for enzyme testing, so lets change the specs we had so far at andover, and apply those to mainz and marburg SO THEY FINALLY HAVE SOME TOO. december 2022! riSk-bALaNcE rEmAiNs PoSiTivE!!11! https://t.co/W0kvMDPA64

@a_nineties - a_concerned_amyloidosis💜🐭🇩🇪

the table just says the previous changes are to be approved. then come the EPAR changes, guess the plebs should be informed, eh? first comes a long version of what was said previously, with some extra detail on how cucked the EMA is to approve this. https://t.co/w5aiwvfHu9

@a_nineties - a_concerned_amyloidosis💜🐭🇩🇪

wow! "for the and the enzymes" lil' mistake there oopsie, everything so nice and new. the last box is the absolute kicker. COMMERCIAL-SCALE PROCEES ENHANCEMENTS WER IMPLEMENTED BY DECEMBER 2022. everything prior to that was filthy, pfizer just refused to share the dirty data! https://t.co/sEOytCBDAN

@a_nineties - a_concerned_amyloidosis💜🐭🇩🇪

it's really astonishing. they were running mainz and marburg for over 1,5 years without a shred of data on enzyme activity at those sites. once commercial process enhancements were implemented by december 2022, they took these new specs for all sites.

@a_nineties - a_concerned_amyloidosis💜🐭🇩🇪

pfizer just told regulators to get fucked for 18 months. then they had a new process they could probably game better and the relieveeeeeeeeed regulators were oh so fucking glad to finally say "ah yes this looks fine". it's insane. i say that often but DAMN

@a_nineties - a_concerned_amyloidosis💜🐭🇩🇪

dont know when the previous variation was (can look it up tho i think) but thats when ANDOVER got specs, probably after implementing "process enhancements". pfizer was then asked and AGREED to apply these to the kraut sites. and all this crap for months for +/- 3 standard devs! https://t.co/yEa2BYCrev

@a_nineties - a_concerned_amyloidosis💜🐭🇩🇪

the DNAse was way too weak, and the pyrophosphatase too "acitve"? and look at rentschler just appear out of nowhere as a german DS site, previously only marburg and mainz were mentioned. https://t.co/O91UJn0dy0

@a_nineties - a_concerned_amyloidosis💜🐭🇩🇪

what would a foia without a few wiped pages be? the last bit before the redaction is important but forgot to highlight it. "No new small-scale experiments are planned or considered to be needed to show correlation between DNase I activity and levels of residual DNA." https://t.co/xxjtu1Fij1

@a_nineties - a_concerned_amyloidosis💜🐭🇩🇪

it ends with some bureaucratic reminder. so PFE/BNTX flew blind for 18 months under the watchful eyes of EVERY REGULATOR, didnt deliver SHIT, then "implement process enhancements", measure less somehow, that's it we're done here close the file. https://t.co/8haSLpny01

Saved - December 11, 2023 at 8:36 PM
reSee.it AI Summary
In a recent study, researchers used midturbinate swabs from participants in the C4591001 trial to sequence the SARS-CoV-2 virus. They focused on swabs that tested positive for the virus using the N or E gene target. This approach raised questions about why they didn't sequence spike-only probes or consider the ct value. It seems they may be assuming that non-N&E gene targets are just fragments. However, this method may miss out on detecting N&E mutants. Further validation of the assays used in the study is also discussed.

@a_nineties - a_concerned_amyloidosis💜🐭🇩🇪

while scrolling through the october documents i spotted this little coof strain sequencing paper VR VTN 10436 i had somehow missed. now a lot of it is pretty beyond me, but one thing really made me go "hmm" https://phmpt.org/wp-content/uploads/2023/10/125742_S6_M5_5314_vr-vtn-10436.pdf

@a_nineties - a_concerned_amyloidosis💜🐭🇩🇪

"Midturbinate swabs that are positive in the SARS-CoV-2 RT-PCR (Cepheid) assay at either the N or E gene target are advanced for viral sequence." these are the swabs from C4591001 trial participants. https://t.co/ihaafqwWDq

@a_nineties - a_concerned_amyloidosis💜🐭🇩🇪

why are swabs chosen by gene detected instead of by ct value? why dont they sequence the spike-only probes? what am i missing here? is the assumption that non-N&E are just fragments? https://t.co/J8VExDMEC6

@a_nineties - a_concerned_amyloidosis💜🐭🇩🇪

these are all assays used in C4591001 and BNT162-01. two different entries for BNT162b1 and b2 ICS because they changed methodologies in between, but other than that, all seems good. however.. https://t.co/UGMsFyQYi7

@a_nineties - a_concerned_amyloidosis💜🐭🇩🇪

for anyone versed in this stuff or otherwise interested, here's the assays validation https://phmpt.org/wp-content/uploads/2023/04/125742_S1_M5_5314_vr-mvr-10080.pdf the 10076 file doesn't seem to be on PHMPT however, and the other two 10080 documents are entirely redacted. https://t.co/fqVuzp6Ymo

@a_nineties - a_concerned_amyloidosis💜🐭🇩🇪

if they're looking for spike mutations it might be smart not to choose spikes that match a wuhan-1 pcr, it just occurred to me^^ that also explains the either N or E gene choice. they're missing out on the N & E mutants tho? 🧐

@a_nineties - a_concerned_amyloidosis💜🐭🇩🇪

there's no 10295 on phmpt either, but we have: 3x 10293 IgG S1 serum ab luminex assay 3x 10294 IgG RBD luminex 1x 10298 virus microneutralization assay https://t.co/B17H1jZ0nG

Saved - November 19, 2023 at 2:53 PM
reSee.it AI Summary
Germany has requested a review of azithromycin for systemic use by the EMA. This has raised concerns about the prioritization of treatments. The review aims to assess the drug's effectiveness, dosing, and safety. The process includes questions for the manufacturer and a comprehensive list of AZM forms marketed in different EU member states. The decision will be made in four months. The need for rebuilding the German government, EU, and EMA has been emphasized.

@a_nineties - a_concerned_amyloidosis💜🐭🇩🇪

https://ema.europa.eu/en/medicines/human/referrals/azithromycin-containing-medicinal-products-systemic-use uhh germany requested the EMA "review" azithromycin for systemic use.. @jikkyleaks what's going on here?

Azithromycin-containing medicinal products for systemic use - European Medicines Agency Azithromycin-containing medicinal products for systemic use ema.europa.eu

@a_nineties - a_concerned_amyloidosis💜🐭🇩🇪

@Jikkyleaks the perversion of truth is undeniable at this point. azithromycin gets a Type 31 referral before the modRNA jabs do. the german government, the EU and EMA must be rebuilt from the foundations up.

@a_nineties - a_concerned_amyloidosis💜🐭🇩🇪

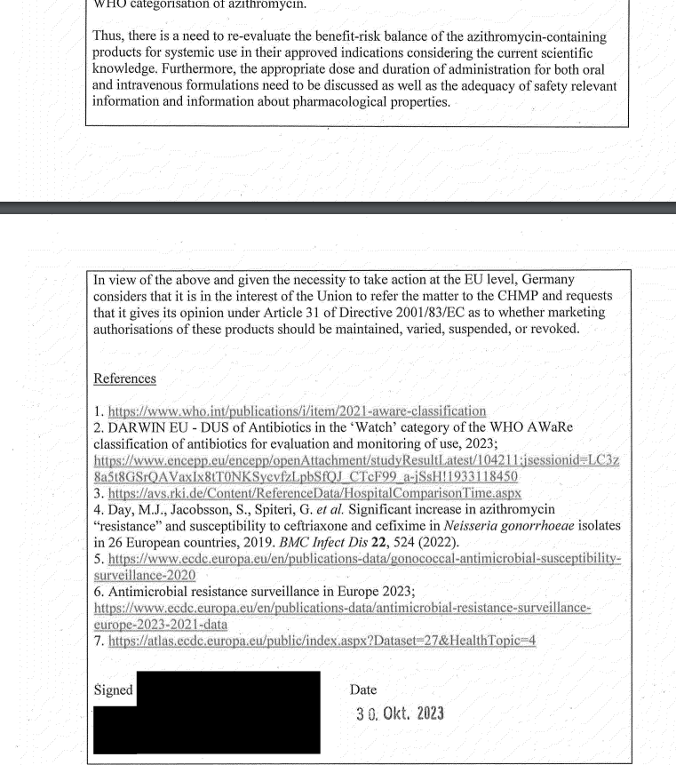
https://www.ema.europa.eu/en/documents/position/azithromycin-article-31-referral-notification_en.pdf it seems to boil down to "it worked pretty fucking well because it's the first choice and there's no actual evidence of resistance except more bugs in general and more azithro prescribed so we need to review dosing and safety" its outrageous tbh

@a_nineties - a_concerned_amyloidosis💜🐭🇩🇪

https://www.ema.europa.eu/en/documents/referral/azithromycin-article-31-referral-chmp-list-questions_en.pdf there's a set of eight questions asked of the MAH, no idea who that is for a generic ab? wonder if any of the regs referred to here have been updated lately?

Sorry - 320815560 ema.europa.eu

@a_nineties - a_concerned_amyloidosis💜🐭🇩🇪

there's also Annex 1, a 52 page list of all forms of AZM marketed across the different member states https://www.ema.europa.eu/en/documents/referral/azithromycin-article-31-referral-annex-i_en.pdf

Sorry - 83638755 ema.europa.eu

@a_nineties - a_concerned_amyloidosis💜🐭🇩🇪

https://www.ema.europa.eu/documents/referral/azithromycin-article-31-referral-timetable-procedure_en.pdf and finally a timetable for the whole "procedure". the "review" of an actually "safe & effective" antibiotic will be done in four months from now. anybody wanna guess what their decision will be?

Sorry - 322111256 ema.europa.eu
Saved - November 9, 2023 at 7:31 PM
reSee.it AI Summary
Pfizer's monkey study discrepancies raise concerns. The Nature paper lacks BNT162b1 data, while PHMPT report shows 12 BNT162b2-dosed monkeys instead of 6. Pfizer's nonclinical study 10671 only includes data from the Nature paper, omitting BNT162b1 monkey data. Dates seem manipulated in multiple nonclinical studies. Questions arise about the submission of BNT162b1 data in the BLA. Cherry-picking is evident in control and vehicle monkey counts. Study descriptions changed between submissions. Regulators' oversight is questioned. A deeper look reveals omitted control necropsy data.

@a_nineties - a_concerned_amyloidosis💜🐭🇩🇪

lmao i never realized what pfizer did with the monkey study til now! in the nature paper, they describe using BNT162b1 and BNT162b2 - but PHMPT only has a paper with two dose groups of BNT162b2🤔🤔 https://phmpt.org/wp-content/uploads/2023/02/125742_S1_M4_4.2.2.1-vr-vtr-10671.pdf https://nature.com/articles/s41586-021-03275-y?error=cookies_not_supported&code=a25f5840-ce82-4839-8c29-c9476a513f62…

BNT162b vaccines protect rhesus macaques from SARS-CoV-2 - Nature A safe and effective vaccine against COVID-19 is urgently needed in quantities that are sufficient to immunize large populations. Here we report the preclinical development of two vaccine candidates (BNT162b1 and BNT162b2) that contain nucleoside-modified messenger RNA that encodes immunogens derived from the spike glycoprotein (S) of SARS-CoV-2, formulated in lipid nanoparticles. BNT162b1 encodes a soluble, secreted trimerized receptor-binding domain (known as the RBD–foldon). BNT162b2 encodes the full-length transmembrane S glycoprotein, locked in its prefusion conformation by the substitution of two residues with proline (S(K986P/V987P); hereafter, S(P2) (also known as P2 S)). The flexibly tethered RBDs of the RBD–foldon bind to human ACE2 with high avidity. Approximately 20% of the S(P2) trimers are in the two-RBD ‘down’, one-RBD ‘up’ state. In mice, one intramuscular dose of either candidate vaccine elicits a dose-dependent antibody response with high virus-entry inhibition titres and strong T-helper-1 CD4+ and IFNγ+CD8+ T cell responses. Prime–boost vaccination of rhesus macaques (Macaca mulatta) with the BNT162b candidates elicits SARS-CoV-2-neutralizing geometric mean titres that are 8.2–18.2× that of a panel of SARS-CoV-2-convalescent human sera. The vaccine candidates protect macaques against challenge with SARS-CoV-2; in particular, BNT162b2 protects the lower respiratory tract against the presence of viral RNA and shows no evidence of disease enhancement. Both candidates are being evaluated in phase I trials in Germany and the USA1–3, and BNT162b2 is being evaluated in an ongoing global phase II/III trial (NCT04380701 and NCT04368728). BNT162b1 and BNT162b2 are two candidate mRNA vaccines against COVID-19 that elicit high virus-entry inhibition titres in mice, elicit high virus-neutralizing titres in rhesus macaques and protect macaques from SARS-CoV-2 challenge. nature.com

@a_nineties - a_concerned_amyloidosis💜🐭🇩🇪

the BNT162b1 rhesus macaque experiments have not been published on PHMPT yet. more concerningly, the Nature paper claims 6 b1 & 6 b2-dosed monkeys, while the PHMPT report shows 12 b2-dosed monkeys! the nature paper is missing the 30 ug b2 group 🤔 https://t.co/xxty28vN8t

@a_nineties - a_concerned_amyloidosis💜🐭🇩🇪

so the submitted pfizer nonclinical study 10671 only includes the data from the Nature paper's "challenge cohort 3" aka. the 100 ug b2-dosed animals that were challenged at the timepoint of maximum vaccine effect🙄 excuse me but wtf? where is the b1 monkey data?

@a_nineties - a_concerned_amyloidosis💜🐭🇩🇪

wow it's like the dates are all made up and don't matter at all. this is now the third nonclinical study i've found claiming to have initiated experiments BEFORE the corresponding nonclin batch was released by polymun(38166 and R-20-0085 also have this "problem") https://t.co/NPIvccUiuv

@a_nineties - a_concerned_amyloidosis💜🐭🇩🇪

it also puts me in a bit of a pickle because do i mark 10671 as b2v9 only [E] or b2v9+variants [D]? did pfizer also submit the b1 data in the BLA or only in the Nature paper? reading between the lines it sure makes b2 seem like the actual candidate all along. recurring theme.. https://t.co/uUV31VxHtm

@a_nineties - a_concerned_amyloidosis💜🐭🇩🇪

LOL, 10671 on PHMPT has 6 control monkeys, Nature paper has NINE and six vehicle, the latter not even being included in the PHMPT count. smooth operators all around! nothing like a bit of cherrypicking to take the edge off https://t.co/1Mzjuf96Fq

@a_nineties - a_concerned_amyloidosis💜🐭🇩🇪

first screenie is p477, next is p543 of meeting-correspondence https://phmpt.org/wp-content/uploads/2023/10/125742_S1_M1_meeting-correspondence.pdf. notice how the study description changed in between: "vaccine candidates" -> BNT162b2v9 only. the nature paper was submitted september 1st 2020 🤔🤔 https://t.co/iuBxunJjZM

@a_nineties - a_concerned_amyloidosis💜🐭🇩🇪

in other words, the first version on 10671 the nature paper is based on wasnt the version of sthe study report that was submitted to the EUA/BLA. they took out the b1 data and added another b2 dosing cohort. why, and more importantly, how? why didnt regulators call this out??

@a_nineties - a_concerned_amyloidosis💜🐭🇩🇪

haha it's even worse than i thought, they cherrypicked 3 controls and three vehicle monkeys and omitted all control necropsy data from the PHMPT report 😂https://t.co/0rpq98UCdO https://t.co/NssDO9eK1R

@a_nineties - a_concerned_amyloidosis💜🐭🇩🇪

LOL, 10671 on PHMPT has 6 control monkeys, Nature paper has NINE and six vehicle, the latter not even being included in the PHMPT count. smooth operators all around! nothing like a bit of cherrypicking to take the edge off https://t.co/1Mzjuf96Fq

View Full Interactive Feed