TruthArchive.ai - Tweets Saved By @echipiuk

Saved - October 26, 2025 at 6:48 PM
reSee.it AI Summary
I believe there was no need to criminalize the non-violent trucker protests; it was loud and uncomfortable for some, but no one acted criminally. The government and police mismanaged and charged people to save face.

@echipiuk - Eva Chipiuk, BSc, LLB, LLM

“So there really was no need to criminalize the non-violent trucker protests, he declares.” This is about as straightforward as it is. It was a loud and uncomfortable (for some residents) protest, but no one should have been charged, because at no point did they behave criminally. The government and police mismanaged the situation and charged people criminally in an attempt to manage it and save face.

@nationalpost - National Post

Lawyer decries 'double standard' on Freedom Convoy, anti-Israel protests https://nationalpost.com/news/lawyer-decries-double-standard-on-freedom-convoy-anti-israel-protests?taid=68fe1f9e92f26800016b3816&utm_campaign=trueanthem&utm_medium=social&utm_source=twitter

Lawyer decries 'double standard' on Freedom Convoy, anti-Israel protests Tamara Lich's lawyer, Lawrence Greenspon, ponders appeal after 'epic' trial that branded his activist client a criminal. nationalpost.com
Saved - January 6, 2025 at 8:42 PM
reSee.it AI Summary
I believe the Governor General's decision to allow prorogation undermines Canadian democracy, as it seems to serve the interests of the Liberal party rather than the people. The Prime Minister's request appears to be an attempt to evade parliamentary accountability and the will of the citizens. This situation highlights the need for significant reforms to ensure that such actions cannot occur in the future.

@echipiuk - Eva Chipiuk, BSc, LLB, LLM

“The Governor General’s decision to allow a prorogation is a betrayal of the essence of Canadian democracy. Intentionally or not, she has allowed herself and her office to be used as the Liberal party’s stool-pigeon… The prime minister’s request for prorogation permits him to flee Parliament. He would be trying to escape the wishes of the people and their representatives. This is the moment for which we provide the special reserve powers of the governor general — to prevent a government from running away from the will of the people’s representatives.” We need some very serious reforms in this country so that this never happens again. https://nationalpost.com/opinion/christopher-dummitt-governor-general-betrays-constitution-by-letting-liberals-escape-parliament

Christopher Dummitt: Governor General betrays Constitution by letting Liberals escape Parliament She is only helping the Liberal party nationalpost.com
Saved - October 31, 2024 at 2:12 AM
reSee.it AI Summary
I’m excited to share that Rath & Company has successfully certified a class action for Alberta business owners impacted by Covid-19 restrictions. Justice Feasby found the CMOH orders unlawful, allowing claims for negligence, bad faith, and misfeasance in public office. The court's decision enables affected businesses to seek compensation, including punitive damages, against the Alberta government. This case emphasizes the need for government accountability, and I encourage anyone who qualifies to retain relevant records for the upcoming proceedings.

@echipiuk - Eva Chipiuk, BSc, LLB, LLM

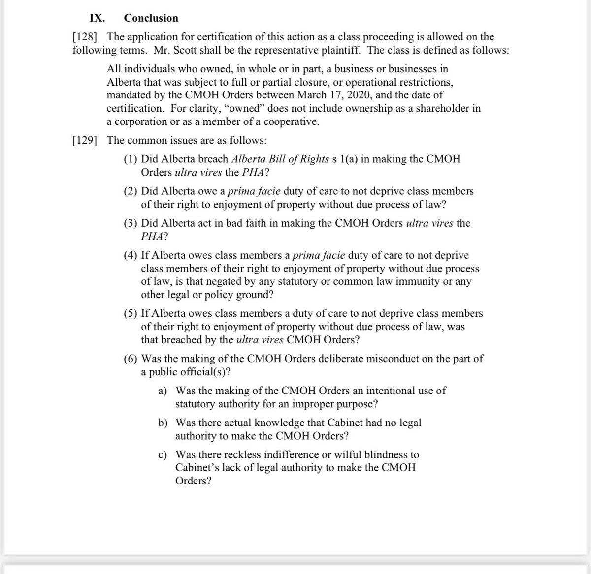
FOR IMMEDIATE RELEASE - Rath & Company is pleased to announce today that it has been successful in its application for certification on behalf of Alberta business owners impacted by Covid-19 restrictions and closures imposed through Chief Medical Officer of Health (“CMOH”) Orders. Justice Feasby of the Court of King's Bench of Alberta released his decision today certifying the class action in Ingram v Alberta, 2024 ABKB 631. This class action, led by Rebecca Ingram and Christopher Scott (the “Proposed Representative Plaintiffs”), sought to certify a class on behalf of affected Alberta business owners who suffered losses due to the CMOH orders, which were found to be ultra vires—outside legal authority and therefore unlawful—under Alberta’s Public Health Act (“PHA”) in Ingram v Alberta (Chief Medical Officer of Health), 2023 ABKB 453 (“Ingram 2023”). As a result, the Court Certified multiple claims, including negligence, bad faith and misfeasance in public office. The Court allowed affected businesses to claim compensation for harm and losses incurred due to the illegal CMOH Orders including punitive damages. Central Allegations of Bad Faith and Call for Punitive Damages A core component of the case was the allegation that Alberta’s Cabinet acted negligently or in bad faith by issuing orders through the CMOH when Alberta’s Cabinet chose to camouflage their actions as public health orders under the PHA so they could blame the CMOH rather than accept political responsibility.” Specifically, Justice Feasby found: “The Proposed Representative Plaintiffs plead essentially that Cabinet hid behind the CMOH thereby avoiding democratic accountability. That, in my view, is a collateral purpose that is plausibly bad faith.” The Court expressly permitted claims for punitive damages to hold Alberta accountable and deter future misconduct. Justice Feasby agreed that this is a reasonable common issue and certified it for consideration. Unlike general damages, which require individual assessments, punitive damages can be addressed as a common issue when the misconduct affects a broad group. Specifically Justice Feasby acknowledged that punitive damages are intended to punish wrongful conduct rather than compensate for losses, and can sometimes be assessed on a class-wide basis. The Court has certified a class consisting of: “All individuals who owned, in whole or in part, a business or businesses in Alberta that was subject to full or partial closure, or operational restrictions, mandated by the CMOH Orders between March 17, 2020, and the date of certification. For clarity, “owned” does not include ownership as a shareholder in a corporation or as a member of a cooperative.” Lead counsel Jeff Rath stated: “This is a huge day for Alberta businesses that were illegally harmed by Jason Kenny and Deena Hinshaw. The Court found that the action can proceed against the government of Alberta on a number of grounds including misfeasance in public office allowing the plaintiffs to seek punitive damages against the Alberta government for wrongdoing.” Important Notice for Potential Class Members The application for class action certification seeks to provide a fair and efficient resolution for Alberta business owners who suffered losses due to the CMOH Orders. A class proceeding is the most effective way to address these claims, given the widespread impact on Alberta’s business community. If you believe you are a class member, please retain all relevant records, as this evidence will be essential in the upcoming steps. For more information and updates on this case, or to complete our intake form if you believe you are a class member, please visit: https://rathandcompany.com/business-class-action/

Business Class Action | Rath&Company Business Class Action Summary of the Covid Business Restrictions Class Action Lawsuit Business Class Action Update – October 30, 2024The Business Class Acti ... rathandcompany.com

@echipiuk - Eva Chipiuk, BSc, LLB, LLM

https://t.co/7ZFcBwqMqG

@echipiuk - Eva Chipiuk, BSc, LLB, LLM

@borncurious369 Please read the decision. In part it speaks to and how important government accountability is. It is also still open to sue Kenney and cabinet personally for misfeasance in public office. https://t.co/MNQKQQWa4u

Saved - April 28, 2024 at 12:30 AM
reSee.it AI Summary
Health Canada states that approved COVID-19 vaccines reduce the risk of severe illness and death. However, the Public Health Agency of Canada previously stated that there was no evidence on the vaccines' efficacy in preventing asymptomatic infection or transmission. A class action lawsuit has been filed alleging negligence, misinformation, and suppression of vaccine injury information by the government. The government is accused of promoting the vaccines as safe and effective while removing safety standards. The lawsuit aims to hold the government accountable and obtain compensation for affected individuals. In Parliament, a Liberal Parliamentary Secretary confirmed that there was no evidence of vaccine efficacy in preventing transmission at the time of authorization.

@echipiuk - Eva Chipiuk, BSc, LLB, LLM

How can these two statements from Health Canada be true at the same time? “Only vaccines that meet Health Canada's regulatory requirements for safety, effectiveness and quality are approved for use in Canada. COVID-19 vaccines reduce the risk of severe illness, death and post COVID-19 condition (long COVID).” - Currently on Health Canada’s Website (link: https://canada.ca/en/public-health/services/diseases/coronavirus-disease-covid-19/vaccines/safety-side-effects.html) And “At the time of initial authorization of the first COVID-19 vaccines (Pfizer-BioNTech) in December 2020, there was no reported evidence on the efficacy of the authorized COVID-19 vaccine to prevent asymptomatic infection, to reduce viral shedding, or to prevent transmission.” - Public Health Agency of Canada February 5, 2024 (link: https://dropbox.com/t/fbD1k0Arhzcaj4Zl) Anyone?

COVID-19: Vaccine safety and side effects - Canada.ca COVID-19 vaccine safety, common and rare side effects, allergic reactions and monitoring. canada.ca
Dropbox - 404 dropbox.com

@echipiuk - Eva Chipiuk, BSc, LLB, LLM

We will eventually find out via the Sakamoto Lawsuit which alleges as follows: “3. Health Canada negligently approved the Covid Vaccines under an expedited process which allowed manufacturers to apply for authorization for the sale and distribution of Covid Vaccines without the completion of all long-term safety studies or commitment to review new evidence about the Covid Vaccine as it become available, much less demonstrate that the Covid Vaccines were “safe and effective” for the general population. 4. By contrast, the Defendants knew, or ought to have known, that Covid Vaccines were neither safe or effective. The Defendants knew of reports of injury and harms caused by the Covid Vaccines and had access to information from the vaccine manufacturers stating the Covid Vaccines were not warranted for safety. Information from the vaccine manufacturers demonstrated various harms and injuries expected from the Covid Vaccines, yet the Defendants: a. Never disclosed this information to the general public or to physicians, and censored and suppressed information relating to the adverse events and injuries from the public; b. Continued to market, promote and distribute the Covid Vaccines as a “safe and effective” vaccine for the SARS-CoV-2 virus or Covid-19 (“Covid”); and c. Coerced and incentivised the public to take the Covid Vaccines while deliberately withholding relevant safety information about the Covid Vaccines which interfered with the public’s ability to exercise their right to full and informed consent to medical treatment. 5. The Defendants held themselves out as public health experts, reporting on behalf of health experts and public health doctors thereby establishing a relationship of trust between themselves and the public during the Covid pandemic at a time when the public was vulnerable, and the Defendants knew or ought to have known that the public would be relying on their information for their health, safety and protection. In public appeals meant to be relied on, the Chief Medical Officer of Health of Alberta routinely referred to all Albertans as her “patients” and issued 113 public health orders known as Chief Medical Officer of Health Orders (“CMOH Orders”) ultra vires to Section 29.(2.1) of the Public Health Act, RSA 2000, c P-37 (the “Public Health Act”) which included restrictions to Albertans not vaccinated for Covid. On July 31, 2023, the Alberta Court of King’s Bench determined that the CMOH Orders were ultra vires the Public Health Act. 6. The Defendants misrepresented the safety and efficacy of the Covid Vaccines and encouraged, and even implored, the public to trust the Defendants for their health, safety and protection. Further, the Defendants censored and suppressed information relating to the adverse events and injuries from the Covid Vaccines to influence public confidence in the Covid Vaccines and maintain trust in the public health authorities. The collective conduct of the Defendants to keep this information suppressed from the public in a manner which amounted to a conspiracy to commit assault and battery which deliberately interfered with the public’s ability to exercise their right to informed consent to medical treatment. 7. The Defendants knew, or ought to have known, that the Covid Vaccines would cause damage to the public, including the Plaintiff, and the Defendants, conspired to commit assault and battery, and failed to take adequate measures, or any measures, to prevent harm to the public, including the Plaintiff. 8. The Plaintiff alleges that the Defendants acted negligently, breached their public duty, or in the alternative made representations in furtherance of a conspiracy to commit assault and battery and committed malfeasance in public office in doing so.” https://rathandcompany.com/covid-19-vaccine-class-action/

Covid-19 Vaccine Class Action | Rath&Company Covid-19 Vaccine Class Action About the Covid-19 Vaccine Class Action Lawsuit Rath & Company has commenced a Class Action lawsuit against the federal go ... rathandcompany.com

@echipiuk - Eva Chipiuk, BSc, LLB, LLM

For more re Sakamoto lawsuit👇

@echipiuk - Eva Chipiuk, BSc, LLB, LLM

🚨MEDIA RELEASE🚨 Class Action Lawsuit Filed Against Federal and Provincial Government for Misinformation and Negligence about risk and dangers of Covid-19 Vaccines A class action lawsuit has been filed by Rath & Company on behalf of Albertans harmed by the Covid-19 vaccines (the “Covid Vaccines”). This legal action is centered around allegations of unlawful, negligent, inadequate, improper, unfair, and deceptive practices by the Defendants in relation to the warning, marketing, promotion, and distribution of the Covid Vaccines. Carrie Sakamoto who filed the claim individually last year, is listed as class representative for the proposed class action lawsuit. The lawsuit, filed in the Court of King’s Bench in Lethbridge, Alberta, against the Government of Canada and Province of Alberta (the “Defendants”). The lawsuit claims that the Defendants were negligent, provided information they knew to be false and incomplete, and that they censored and suppressed truthful and reliable information about vaccine injuries thereby vitiating informed consent and causing harm to Ms. Sakamoto and many others in Alberta. The lawsuit goes on to allege misfeasance in public office and conspiracy to commit assault and battery on the public. Jeffrey Rath, lead counsel on the case, says: “I think Canadians will be shocked to learn about the rushed changes to safety standard for the Covid Vaccines which removed the requirement for the Covid Vaccines to be either “safe or effective” while, at the same time, the Defendants promoted, distributed, and marketed the Covid Vaccines as “safe and effective” to the public. And the Defendants didn’t stop there, they went further by coercion the public to take the Covid Vaccines by stripping rights from them or providing financial incentives for taking the Covid Vaccines. What does that do for informed consent? Does this amount to a conspiracy to commit assault and battery on the public? These are questions that we are asking the court to determine. And, I think, the public deserves some answers.” “The Government of Canada has already conceded, to the Public Accounts Committee, that the contracts with the manufacturers were rushed, did not contain the normal standards, and provided additional indemnities in favour of the manufacturers,” Eva. Chipiuk co-counsel on the case goes on to say. “The Defendants held themselves out as public health experts and gave medical advice to the public at large. They intentionally set out to build a relationship of trust between themselves and the public during the pandemic at a time when they knew the public was vulnerable and afraid. They knew or ought to have known that the public would be relying on their information for their health, safety and protection.” The class action represents all impacted individuals in Alberta. If you have been injured or otherwise adversely affected by the Covid Vaccines and with to join this class action lawsuit, please register by completing the online form at https://rathandcompany.com/vaccine-class-action/. Should the Court grant permission for this action to proceed as a “Class Action” (also known as “Certification”), you may qualify as a class member whether or not you have registered. Millions of Canadians relied on the representations of the Defendants at a time when they were particularly vulnerable. We now know that many Canadians suffered physical and psychological injuries due to the misinformation and negligence of the Defendants. This proposed class action lawsuit seeks justice for individuals who have suffered physical and psychological injuries or death due to the alleged negligence and misconduct by the Defendants in respect of the Covid Vaccines. It aims to hold the Defendants accountable and obtain compensation for those adversely affected.

Covid-19 Vaccine Class Action | Rath&Company Covid-19 Vaccine Class Action About the Covid-19 Vaccine Class Action Lawsuit Rath & Company has commenced a Class Action lawsuit against the federal go ... rathandcompany.com

@echipiuk - Eva Chipiuk, BSc, LLB, LLM

And see here the response in Parliament👇👇

@canindependent - The Canadian Independent

LOOK: Liberal Parliamentary Secretary to the Minister of Health Yasir Naqvi says that “at the time of initial authorization of the first COVID-19 vaccines, Pfizer-BioNTech, in December 2020, there was no reported evidence on the efficacy of the authorized COVID-19 vaccine to prevent asymptomatic infection, to reduce viral shedding or to prevent transmission.” A House of Commons transcript from March 22, 2024, shows that Conservative MP Colin Carrie posed the question, “With regard to Health Canada’s authorization of COVID-19 vaccines, at the time of approval through the Interim Order Respecting the Importation, Sale and Advertising of Drugs for Use in Relation to COVID-19 in 2021: (a) was there evidence that the vaccines stopped people from transmitting the virus to others?” Liberal Parliamentary Secretary to the Minister of Health Yasir Naqvi responded, saying, “Mr. Speaker, in answer to part (a) of the question, at the time of the initial authorization of the first COVID-19 vaccines, Pfizer-BioNTech, in December 2020, there was no reported evidence on the efficacy of the authorized COVID-19 vaccine to prevent asymptomatic infection, reduce viral shedding, or prevent transmission.”

Saved - December 4, 2023 at 6:33 AM
reSee.it AI Summary
In a video by @PierrePoilievre, the housing crisis in Canada is highlighted. It reveals the surge in mortgage and rental prices under Prime Minister Justin Trudeau. The video explains how the federal government contributes to increased interest and principle payments on mortgages. This informative content encourages elected officials to follow suit, fostering constructive conversations and collaborative solutions. It aims to restore trust in public institutions and empower Canadians. Canada deserves better. Do you agree?

@forevaeva79 - Eva Chipiuk, BSc, LLB, LLM

Just watched this video put out by @PierrePoilievre about the housing crisis in Canada. The video highlights the significant increase in mortgage and rental prices since Justin Trudeau became Prime Minister. It also explains the federal government's role in driving up interest and principle payments on mortgages. Thank you for creating this informative video and for your effort in helping Canadians comprehend the intricate relationship between our financial and bureaucratic systems, and how they impact housing prices. I strongly urge more elected officials to follow suit. When individuals are well-informed, it leads to a more constructive conversation that focuses on collaborative solutions, rather than divisive politics. Ultimately, this serves the best interests of the public as a whole. Such initiatives also hold the potential to restore trust in elected officials and public institutions, a vital component for a thriving democracy. In the face of significant divisions, I believe it is high time to elevate the conversation and empower Canadians. I believe Canada deserves better. Do you agree?

@PierrePoilievre - Pierre Poilievre

Thank you to the 2 million people who have watched “Housing Hell” on X in the last 36 hours. https://t.co/vVLsXMVM35

Video Transcript AI Summary
Canada is facing a housing crisis, with skyrocketing prices and a shortage of affordable homes. Many young people can't afford to buy a home and are forced to rent, but even renting has become unaffordable. Homelessness is on the rise, with people living in their cars or in homeless shelters. The government's deficit spending and excessive borrowing have contributed to inflation and higher interest rates. Additionally, government regulations and red tape have made it difficult to build new homes, further exacerbating the housing shortage. To address the crisis, the government should cut spending, cap government waste, and incentivize home building by tying federal infrastructure funding to the completion of new homes.
Full Transcript
Speaker 0: Something new and strange has happened in Canada. Canada is sitting on probably one of the largest housing bubbles of all times. Something we haven't seen before. An entire generation of youth now say they will never be able to afford a home. This is not normal for Canada. We've got students who are living in their vehicles because they couldn't find a place to live. Tens of thousands of Canadians could default Moshe on their mortgages. And are are we looking at that kind of Nightmare scenario. After generations of affordable and stable Canadian home prices, it now takes 66% of the average monthly income to make payments on the average Single detached Canadian house. Given that most of the remaining 34% of the family paycheck is taken up by taxes, there's literally nothing left For food and recreation. And that all assumes that you have enough for a down payment to get the mortgage in the 1st place. Saving up for that down payment in Toronto now takes an average of 25 years. Not long ago, you paid off a mortgage in that time. So young people must rent, but rent has doubled in the last 8 years. Newlyweds now pay $1,000 per month to rent a single room in a townhouse that they share with 2 other couples. 35 year olds live in their parents' basements. Rents are so high in Toronto that students live in homeless shelters. Others sleep in their cars or even under bridges just to afford to go to university. 1 grandmother posted signs on hydro poles trying to find a place to live. Middle class people, like nurses and carpenters, Now live in their vehicles. Tense cities are popping up in almost every major city and many small towns in Canada, mostly in places They've never had them before. And because homeless shelters are overflowing with people new refugees are now told to live on the streets And under bridges, like all countries, we've always had problems. Throughout Canada's past though, almost anyone who got a job Could save up and buy a home by their mid twenties. When did all that change? Canada is the prime minister. Age years ago. It's crazy to think, but in a little under a decade, Canada's housing costs have basically doubled. The rent has doubled. Mortgage payments doubled. The needed down payment on an average home doubled. Double trouble. Think about that. Housing costs have gone up more Since 2015 than they had in all the years before that combined. 8 years ago, The average 1 bedroom rent was about $970. The average today, $18.71. The average needed down payment, About $23,000. Today, $51. 8 years ago, the average mortgage payment was about $1400. Now, It's over $35100. 8 years ago, payments on an average single detached home cost roughly 40% of median family income. Now, that number is 66%, meaning that paychecks have not caught up with the cost of housing. And we can't blame the rest of the world. Canada's housing costs have risen faster and higher than almost any other country on earth. Depending on how and when you measure it, Canada's housing costs are on average 45 to 75% higher than in the United States. In border For towns, it's even more. Homes in the Canadian side are often a 100% more expensive than their American counterparts. Look at this home in Niagara, Canada Versus this home in Niagara, New York. Only about a half an hour apart from one another. Vancouver is now the 3rd. In Toronto, the 10th most unaffordable city on earth. Worse than New York, London, England, and even Singapore, a wealthy island with 2,000 Times more people per square kilometre than Canada. All these places have more money and people and less land, yet they are more Affordable. UBS, a major global bank, now lists Toronto as having the riskiest housing bubble in the world, with Vancouver 6th. According to UBS, home prices in Toronto and Vancouver have gone from fair valued to overvalued To bubble risk, all in only 10 years. This 2 bedroom property in Toronto's Kensington neighborhood costs the same As a 20 bedroom castle situated on 5 acres of land in Scotland. This shouldn't be a problem in Canada Based on our supply demand dynamics, think about it. With our massive geography, Meaning lots of supply and our small population, meaning limited demand, housing should be cheap here in Canada. We have the most Land per person of any G7 country. That includes much land close to big cities where people need to live to work. So why is it so expensive? Well, let's break it down. A mortgage payment has 2 parts, interest and principal. Interest rates are set by the Bank of Canada, but heavily influenced by the federal government. Speaker 1: You'll forgive me if I don't think about monetary policy. Speaker 0: When the government borrows and spends, it bids up the goods we buy and the interest we pay. The Trudeau government has doubled Canada's debt, Adding more debt than all prime ministers combined. Our finance minister has conceded that this deficit spending pours Fuel on the inflationary fire. And I'm gonna start with what we shouldn't do. I think it is very important not Not to make the problem worse. I am very mindful of the importance of not pouring fiscal fuel on the of inflation. And then a few weeks later, she poured $69,000,000,000 of new fuel on that fire. For governments to run huge deficits or Borrow money, they sell bonds to investors. In recent years, the Trudeau government spending has exploded, and they've been borrowing more than lenders will lend. So the Bank of Canada has started creating the cash. The money supply has therefore grown 8 times faster than the economy over the last 3 years. More money bidding on fewer goods, including fewer houses, equals higher prices. But the The central bank doesn't just send a Brink's truck to the prime minister's office. Rather, they use a complicated set of transactions that they call Quantitative easing. I always be suspicious when you hear a complicated word that makes no sense to c one accept those benefiting from it. Here's how it goes. 1st, the government sells bonds to financial institutions. Then, The Bank of Canada buys those bonds right back at higher prices. Financial corporations love it because they're guaranteed a big Profit. But the consequence is not only that the government gets more easy money to spend, but the financial system overflows with Cash, which often is lent out at ultra low rates in super large mortgages, particularly for wealthy investors whose banking connections get them to the front of the line. So as you can see in this chart from the Bank of Canada itself, investors Double the number of home purchases they made in just over a year. The black line? Well, it shows when the Quantitative easing began. Cause? Money printing. Effect? Housing inflation. So the government deficits force the Bank of Canada to boost interest rates to push inflation back down. Former Liberal finance minister John Manley put it this way. Speaker 1: It appears that, fiscal monetary policy are not aligned, and the importance of that alignment is It is key. We're still running very large fiscal deficits. The government still talks about how much they're gonna they're going to continue to spend, And, this is a bit like driving your car with 1 foot on the gas and the other on the brake. Speaker 0: Common sense solution, stop the inflationary deficits So the bank doesn't have to raise the rates. That means cutting government waste and capping government spending with a dollar for dollar law That forces politicians to find a dollar savings for each new dollar of spending. By getting back towards a balanced budget, We'll bring down inflation and interest rates on your mortgage payment. So that helps address the interest cost Of the mortgage payment. What about the principle, which is determined by the home price? Canadian prices which are so much higher than in other countries Are determined by supply and demand. We have the fewest houses per capita in the G7 even though we have the most land to build on. We have fewer houses per capita today than we did 8 years ago, as population has outgrown home building. Canada Built fewer homes last year than it built in 1972. 50 years ago. Consider this. In 1972, Canada's population was 22,000,000. And we built about 230,000 homes. In 2022, Canada's population was 39,000,000. And we built about 220,000 homes. In other words, far more people, far less Home building. And the shortfall is only growing. Canada's housing agency, the CMHC, predicts a 32% drop in home building this year. As higher interest rates and red tape are blocking construction. The agency projects that we will be 3,500,000 homes short by the year 2030 based on our current estimates of building and population growth. Where will those 3,500,000 families live? More importantly, why can't we build homes To house them, what do you think is the most expensive thing that goes into a new house in, say, Vancouver? Is it labor? Lumber? Land? Nope. Government. A city house study added up all the costs of labor, materials, land and Profit needed to build a home and compared it to the final sale price. In Vancouver, the gap was nearly $1,300,000. That gap, or as I call it, the gatekeeper gap, is the cost Of government permit delays, changing rules, pricey consultants, lawyers' fees, charges, taxes, Etcetera. Another study showed Montreal's city government blocked 24,000 homes. The city of Winnipeg, meanwhile, Just lost a lawsuit because it tried to block the construction of nearly 2,000 homes right next to a newly built transit system. As an example of the mindless red tape costs, the Ontario Housing Affordability Task Force report stated that, Quote, minimum parking requirements add as much as $165,000 to the cost of a new home, even as demand for parking spaces is falling. And And one of the strongest signs that our approval process is not working, of 35 OECD countries, Only the Slovak Republic takes longer than Canada to approve a building project. The UK and the US approve projects 3 times Faster without sacrificing quality or safety. Government development charges in Ontario can be as much as 135 $1,000 per home, and some have increased as much as 900% in less than 20 years. And those Charges don't include governmental costs like taxes delays and uncertainty. Worst of all, the Trudeau government has encouraged This gatekeeping with 1,000,000,000 of dollars in new grants to the same city governments that block home building. He is literally funding the hiring of more gatekeepers to stand in the way of building homes. So you lose 2 ways. You pay more in taxes so that you can pay more for a home. So what if we incentivized good behavior rather than reinforcing the bad. Here's how we can. The federal government spends about $4,500,000,000 on direct And continuous municipal infrastructure transfers. Big city politicians care about getting that money more than anything else. They'll only permit More home building faster if their federal money depends on it. My common sense plan? One, require big cities to complete 15% more home building per year as a condition of getting federal infrastructure money. 2, give building bonuses to cities that Seed the 15% target. Dollars should be based on housing completions, not promises. 3, require federally funded transit stations Be permitted for high density apartments all around it. And withhold federal transit grants until Apartments are built and occupied. 4, sell off 15% of federal buildings and thousands of acres of surplus federal land suitable for housing. Instead of funding promises, the federal government should fund results. It should link the number of federal dollars big city governments Get for infrastructure to the number of new homes completed. Money should flow after the keys are indoors. Pay for promises, Get more promises. Pay for results. Get results. The good news is, we have examples of success. Look at the squamish nation and their development in Vancouver. They've approved and begun building on 6,000 apartments and condos On just 10.4 acres of land. That's nearly 600 homes per acre. Now they could do this because being a reserve, They did not need to follow Vancouver city hall rules. That means 6,000 hardworking local residents will get a place to live Because there were no city gatekeepers standing in the way. But let's bring this back. This isn't just about the price of a home. It is not just about numbers. This is people's lives. If we don't fix this, we could have hundreds of thousands of middle class people Living on the street in Canada, a home is your financial future. A home is the place you're secure. A home is where you raise a family. A home is at the center of everything you do in your life. If the government stands in the way of you getting a home, it stands in the way of your entire life going forward. The good news is, housing costs were not like this before Justin Trudeau. And they won't be like this after he's Gone. We can borrow less and build more. We have all the natural advantages. Abundant land, labor, and lumber. The best carpenters, plumbers, Framers, and electricians, and home builders. We just need to get the gatekeepers out of their way and yours so that we can bring it home.
Saved - December 1, 2023 at 11:37 AM
reSee.it AI Summary
In a recent episode, I had the pleasure of speaking with Maxime Bernier, leader of the People's Party of Canada (PPC). We discussed political issues like vote splitting, personal autonomy, and the significance of family values in today's society. Bernier emphasized the ideological differences between the PPC and the Conservative Party, emphasizing the importance of staying true to one's beliefs. We also explored the idea of a more efficient government that promotes individual freedom while considering societal needs. Ultimately, our conversation aimed to empower individuals to actively participate in the democratic process. You can find the full episode on platforms like Rumble, Spotify, YouTube, and Apple Podcasts. Enjoy!

@forevaeva79 - Eva Chipiuk, BSc, LLB, LLM

Ep. 006 - I had the pleasure of speaking with @MaximeBernier, leader of the People's Party of Canada (PPC), to talk about political issues, including vote splitting, personal autonomy and the importance of family values in today's society. Bernier highlights the ideological differences between the PPC and the Conservative Party, focusing on the essence of true conservative values and the importance of standing firm in one's beliefs. We also delve into the concept of a more efficient government, advocating for policies that champion individual freedom while maintaining a balance with societal needs. Finally, this conversation is not just about political ideologies, but also about empowering individuals to take an active role in the democratic process. You can also find the full episode on your favorite platforms, including @rumble, @Spotify, @YouTube and @ApplePodcasts. Enjoy!

Video Transcript AI Summary
Maxime Bernier, founder and leader of the People's Party of Canada, discusses his political journey and the principles of his party. He talks about his background in law and finance before entering politics and his time as a member of the Conservative Party. Bernier explains his decision to establish the People's Party of Canada and his commitment to conservative values such as individual freedom, personal responsibility, and smaller government. He also addresses concerns about splitting the conservative vote and emphasizes the importance of voting for one's beliefs. Bernier criticizes the current state of Canadian politics and the lack of accountability among elected officials and civil servants.
Full Transcript
Speaker 0: Good afternoon or evening, wherever you're at, I guess. It's my pleasure to introduce Maxime Bernier to the show today, a notable figure in Canadian politics and the founder and leader of the People's Party of Canada, PPC for short, a federal party in Canada. Mr. Bernie's political career is marked by significant milestones and notable shifts. Before venturing into politics. Mr. Bernier built a diverse background in law, finance and banking. His political journey commenced in 2006 when he was first elected to the House of Commons as a conservative member of Parliament in a riding previously held by his father. During his tenure with the Conservative Party, Bernier served in Prime Minister Stephen Harper's cabinet, holding portfolios such as Industry Minister and Foreign Affairs Minister. Bernier's political career took a turn in 2017 when he narrowly missed the Conservative Party leadership. In 2018, he resigned from the Conservative Party and established the People's Party of Canada. His journey offers insight into the complexities of Political Leadership and the Evolving Landscape of Canadian Political Discourse. And I'm very excited to have Mr. Bernier, Max, on the show. Welcome. Speaker 1: I'm very pleased to be with you, Eva. Thank you very much for that invitation. And You know, I believe that we'll have a good show tonight. Speaker 0: I think so too. I'm really excited for the conversation And I hope I got everything right in the introduction. If there's anything wrong, let me know. And I do want to start with a little bit of a background about you as well, because What I've noticed, as we were just talking about before the show, is when you start to have a bit of a political persona, people Have ideas about you and maybe they're incorrect just because of something they have online or they learned online. So I just like to hear a little bit more about you and what brought you to this political landscape that you're in. Speaker 1: Well, I want to thank Thank you for giving me that opportunity to speak to your viewers. Yes, you know, I'm not a carrier politician. I've worked in a private sector in Montreal for 19 years before being in politics. At 42 years old in 2005, I've met, Stephen Harper. At that time, he was the leader of the opposition. And, I was at that time, Vice president of the Montreal Economic Institute. That's a free market think tank like the Fraser Institute in BC. So I was a VP there, and, I had a dinner with him, with the president of the institute, and he was asking for ideas For the next general election in 2006. And I told him very bluntly, you know, if you want to have more support in Quebec, You need to do 2 things. The first 1 is to respect the constitution because in Quebec, we have 2 national sport. The first one is hockey, and the second one, referendum. And you don't want a referendum. And so if you respect the constitution, if you don't I fear in provincial jurisdictions, you will be able to have a constant constitutional piece. And he really, liked that. And I said, second, you know, You must lower taxes to every quebakers, and by doing that, you will lower taxes to every Canadian. And, he Put that in a speech in November 2005, and that was very popular. And, actually, that was good for Quebec, but that was good for Every, province. And after that, he asked me to, jump into politics, and I was living in Montreal. So like you said in the in my presentation, my dad was in politics before me. He was elected under Brian Mulaney in 1984, Rerelected in 1988 and, elected in 1993 as an independent. And so, he was very well known in both, but I decided to jump into politics, and I said I will run-in both. It's about, you know, 3 hours by car south of Montreal. Both is near the border of the state of Maine And between Quebec City. So it's a rural rural riding over there, and, I decided to go there because the name Bernier was Very well known in in that writing. Like, the the director of my campaign at that time told me when I when that campaign started in 2006, He said, Maxime, we have one challenge with you is, you know, hey. Your name, the name is very good, But nobody, knows the the first name, Maxime. So I hope at the end of the campaign, they will Have a they will know the difference between Jill, my dad, and Maxime, and that's our goal. So you need to be present in the riding because I was, living and working in Montreal, And I was able to win with a very nice majority. So, that's why, you know and and why I decided to be in politics, when asked me that, At that time, you know, I I wanted a smarter government that will respect the constitution, that will lower taxes, A smarter government, no corporate welfare. So, more freedom, less government. That was my lit motif, And, and that's what I did when I was the industry minister. Speaker 0: Interesting. And so your dad went from the conservative party to the independent. He became or he ran as an independent. And did he have similar concerns or different concerns that you now share? Speaker 1: No. No. At that time, as you know, after Brian Mulaney, Kim Campbell became the leader of the Progressive conservative party of Canada. And, and she was not so popular, and my dad didn't want to run under her, So he decided to run as an independent and was elected as an independent. And at at that election in 1993, only 2 We're elected Jean Charest in Quebec and a lady in New Brunswick. So, you know, the cons the progressive Conservative Party of Canada was decimated, because of the new party coming from out west, the reform party with Preston Manning and the Bloc Quebecois, The new party also in Quebec. So, the block Quebecois was the official opposition, and Preston Manning, the the third party, And the Liberal were in government under Jean Crezier, and the conservative I've had only at that time 2, MP elected. Speaker 0: Interesting. Yeah, that's very interesting, for that time and that history, just a good reminder of what was going on with the conservative party at that time. And so you had some very interesting roles when you were in the government and the Minister of Industry and Foreign Affairs. How were those roles? How did you find, like, did you have a lot of autonomy when you were doing them? Speaker 1: Yeah. But like I said, you know, I wanted to cut corporate welfare, no more subsidies in businesses. But as you may know, also The, industry portfolio is the portfolio in Ottawa that is giving money to businesses, subsidies to businesses. So we had a candidate meeting, and I said to Hopper and then it would be great if I can, as the industry minister, just stop that. And Steven offered had a very, very good answer to that, and he said, Maxime, it's a big, big changes, a big reform. First of all, we didn't run on that. That was not part of our electoral platform. Our members, the the members of the Conservative Party of Canada didn't vote for that Also, so you don't have the mandate to do that. And, you know, I said, okay. But each time, you know, my department was giving a a subsidies To Bombardier or GM, I was not the 1, the one doing the announcement. I gave that To my colleagues and cabinet, and they were very happy to be, in in the media, giving that money. And, Germanys, and people knew that I didn't like that. So what I did, I I said, you know, I had a a philosophy Name and shame, I'm not able to cut subsidies, but I asked my department, you know, these subsidies, usually, they said it's a loan, And the corporation will reimburse the loan. But this loan are never reimbursed and never. So I look at the reimbursement schedule, and, you know, that was that was a real subsidies. So I said to my department, the industry department, let's put on social media on on the Internet, the corporation, their loan, and their reimbursement schedule. And so that was public, and this corporation didn't like that because everybody was able to see that they didn't rent reimburse their loan, And the pressure were was on them. And so, and the department did that. But after that, I had a promotion to be foreign affairs minister, and the audit minister just, took that off the, the Internet and, And keep that information private. So because of the pressure coming from big corporations. But I was what I'm telling you, I was in government for a smaller government, but I was successful in the telecommunication industry because at that time in 2006, 2007, We are paying very high prices for the telecom and cell cellular and mobile phone. And so I put more competition with a huge deregulation in the telecom industry. We had more competition And prices went down, and that was a big success. And I was very happy with that reform. Speaker 0: I think we need to revisit that reform again with the price But I want to talk about, I wrote something down here. I do it all the time, but it was Scribbled so badly I can't Speaker 1: read it. Speaker 0: So we're just going to go into the leadership. So you have these very interesting positions and then the leadership comes along. So what was going on with you at that time and what was the reason you ran? Tell me about that. Speaker 1: Yeah. So 2006 and this new minister. 2008, I was foreign minister. Was not very you know, I didn't like that traveling across the world, you know, and, I wanted to have a position in a portfolio where you can do things for Canadians, but foreign affairs, it's, it's a long term policies. And, after that, I had I had time to travel across the country, and I was also minister for small business and tourism. But during all that time, I had ideas, and so, I had a blog at that time, and I was putting my ideas publicly. And when Steven Hopper in 2015, resigned, so I had all the ideas, and I had a strong vision for this country. So I said, yeah. I want to run. I have a strong vision. And, actually, the platform was very popular with the membership of the Conservative Party of Canada Because I had 49% of the vote. But when that campaign started, I was not the first one. People Discover me, and I was delivered speeches across the country and traveling across the country. And I was the only real conservative And speaking, and I I wanted to end the cartel in, in, milk, dairy, and poultry. I wanted to stop corporate welfare. You know, no more, no more interference in provincial jurisdictions, lower taxes, cutting the deficit. So I had a very strong platform, very popular. And as you know, I didn't win with 49% of the vote. But, after that, I tried to work with the leader at that time, was Andrew Scheer, and he was elected with 51% of the vote. So after 15 months after the leadership contest, I had a meeting with Andrew Scheer, and I must admit that Andrew was very honest. You know, I, I asked him, you know, I have a lot of we were in in 2018, a year before the 2019 election. And I said to Edu, you know, I had good ideas and a lot of policies, for the platform of the conservative party for the next election. I hope you'll take some of my ideas. They were very popular with the membership of the conservatives. And then when she was honest, he said, no. I won't take any of your ideas because you're right, Maxime. They were popular with the membership of the Conservative Party of Canada, but your ideas are not popular with the general population. So my goal is to be prime minister, and we need a lot of fooling, And they're not popular, and I won't be elected prime minister with that. And so I won't take any of your ideas. And that's what he did. So that's why I resigned and I said this party is intellectually and morally corrupt. They are not conservative. They're only conservative in name. They don't want to speak about real conservative ideas, real conservative reforms, because they're scared, because we are living in a socialist environment. And, they are speaking like the the leftist. And when they're doing that, they're giving credibility to the leftist narrative. So I resigned, and we created the People's Party of Canada based on the the ideas that I had and the platform that I had During the leadership contest. So when we created the party, I said, you know, if you like our ideas, you will come. Come with us. We won't change. We will always fight for that. But if you want to change our platform, go and create your own party. So the people's party is very different than the establishment political parties because we we are doing politics based On ideas, on conviction, and we are speaking about issues that may not be that popular today. But we believe the more we speak about that, the more popular they will become. The best example of that is immigration. In 2019, I said we must say no to mass 2019, I said we must say no to mass immigration. People were saying that I was racist xenophobe. And today, you know, about half of the population are saying, you know, mass immigration must end. It's too much. We don't we cannot integrate these people, And we need to have a value test. We need to do a better screening. That was part of our platform in 2019, and that would be part of our platform at the next general election. So that's the BBC, doing politics differently based on ideas. And for us, you know, we're saying no to political correctness. We're and if you like what what I'm saying, I'm telling Canadians come and go on our path go on our website and read our platform, People's Party of Canada. See, If you like it, I hope you'll vote for us. If not, it's okay. Vote for all these establishment political parties. We won't pander to NA and terrorist group. We are doing politics for all Canadians, and that's the PPC. That's why we call the party the People's Party of Canada. Speaker 0: So lots of questions coming from that. And one thing I, maybe let's start with conservative because I think you're saying that you're more conservative in nature and you kind of listed a number of things that your government or what you want, the policies you want to bring forward, less government interference, less immigration and things like that. So in your Understanding or Perception, because I think these names have completely changed in the last 10 years or so. What is liberal is not liberal, what it was 10 years ago or so. So explain to me what it is in your mind, a conservative values. Speaker 1: I like I like that you asked that question because actually, At the last election, I did a rally in Halifax, and, I was saying it and I spoke about our platform. And after that, I said, you know, we are the only real conservative party in Canada, blah blah blah. And after that, the lady came to me and spoke to me. Maybe she was about young ladies, 60, 70 years old, something like that. And she came and she said, Maxime, I like everything everything that you said, Except when you said you are the only conservative party in Canada. She said I voted NDP for all my life, And I will vote for you. You're not conservative. And I said, yes. You're right. And I said, I don't want you to say that anymore because people like me won't you. And if but, she said you must you must speak about your platform because your platform is based on common sense. And after that, I use common sense. You know? We are the common sense political parties, and that was so popular that Capini and, use common sense, but for him, it's a slogan. For me, that's the reality. So so, yes, We are a kind of a classical liberal party, you know, like classical liberal, free markets, less government, conservative family values. You know, we're not a Christian party, but we Family values, and what I'm saying that, you know, there's only 2 sexes. It's contradict it's a big, contradiction today saying that. I'm the only politician who said that there's only 2 sexes. But, you know, for the traditional politicians, They're they're they're pandering to the trans community, and they want to use these words and speak like that. But, yes, we want to promote family values. We want to promote our culture, our identity as a country, and that's why we want less immigrant because we want them to Be part of this country, and we want we want them to come with a job. Now only 25% of our immigrants Our skilled immigrants, a person that will come here with a job because a Canadian entrepreneur was not able to find a Canadian for that job. Only 25% of them. I want more of them to come because they are still immigrants. It's easier for them to integrate our society, To participate over in our society, and I believe that we must do that. We must question now the mass immigration. So that's the PPC, and, we, you're right about, you know, real conservative. That's that's not our that's not that. That's, common sense, but it's called party. Speaker 0: Well, I I find that Those labels have just completely been washed away. And what I feel that's happening more is it's whether or not a party is advocating for more personal autonomy versus state intervention. That's It's almost where I see a more of a distinction and it's where on that line that people fall. And so what I'm seeing, at least from the BBC is quite a bit more obviously personal autonomy. Speaker 1: And and I just want to add about that. You're right. Because when we created the People's Party, we created a party Based on 4 principles. The first one is individual freedom. Second 1, if you're free, you must be responsible. Personal responsibility, fairness, and and, fairness and respect. So and all our policies are in line with that. And actually, I was the only national leader of a national party at the last elections to say that we must respect the personal autonomy. My body, my choice. Everybody must be able to choose if they want the the vaccine or not. And I was, I said during that campaign, we must unite every Canadian under the freedom umbrella. Everybody must be free to choose, But, all these other leaders wanted to impose a vaccine on people. And so that's why actually our party, yes, it's Promoting individual freedom and personal responsibility. And if you have that, you must have a smarter government. Speaker 0: So, I understand that. And I'm coming at this not from any political Go back around because I've not been in politics at all. But, so you said with Andrew Scheer, like you had that meeting with him and he was honest with you. He We're not going to go with your ideas, even though, like you said, we're very popular with the membership. But pulling the Canada, it wasn't going to be successful is what he thought. So is that something, though, that Is that a bad thing or because you want to become the ruling party? Like that's the goal of it. So then Help me understand why he failed you so much in that conversation or what could he have done differently maybe? Speaker 1: Yeah. But good questions. Yeah. What he didn't have, he didn't have the courage of his convictions and actually didn't have any convictions Because he was doing politics by Pauline. But I must admit, it's not only him. It's every leader, PolyF, today Because, yes, their their first goal is to be elected. But when the population has been manipulated by the extreme left, By the media, you know, you need to tell them the truth. And I like to say that in politics, if you want to please people, You tell them if you want to help people and and helping them, you tell them the truth. And if you want to help yourself As a politician, you tell them what they want to hear, and that's all the establishments politicians are doing. They are telling people what they want to hear today. And because the I'm not saying that the population is wrong. I'm saying that the population has been manipulated. And the best example of that, it's, You know, when I start to speak about it, ending the the cartel in Nilderian poultry, Canadian are paying twice the price for that because we have a cartel called Supply management in Canada, only 2% of the population agreed with me. But now if you Do a a poll or so. They may be 40% of them. So you need to be out there with your ideas and speaking About them openly with passion and conviction, and you have more support. That's why for us, our growth is a little bit slower. You know, 0% in 2018 when we created the party, 1.6% in 2019, our 1st election, 5% of the last election, and I believe at the next one, we can grow from 5, I don't know, 7, 8, 9, 10. I don't know. But, and it's always with the same ideas. So we are offering another, option for Canadians. That's the midterm option. And and, I hope I'll be elected tomorrow, but I won't change What I believe in, to be elected tomorrow. And and our candidates also understand that. Actually, I must say that at the last election, I did a Zoom teleconference with my candidates, and I told them the goal is to have 4%. And and why 4%? Because they created a new rule at the last election for a new political party like us. They said we need to have 4% of the vote to participate in the national debates against the 1 year in Canada. I was I was able to participate in the national debate in 2019, but in 2021, they created that new rule. So I said to our people, my goal is 4%. We have 5%. I will be able to participate in the next debate against Trudeau and Poirier. But when I was saying 4% to my candidates, I was telling them you won't win, you know, which 4% you cannot win. But our candidates are there for the cause, and they know that they may not win today, but they will win, and the country will win a little bit, later. And that's why we are very different than the establishment political parties. And the The conservatives, they must promote conservative ideas, but they are not they are not doing that because it's not popular today. So, so that's why. Speaker 0: Yeah. And I probably would have had some different thoughts had I not gotten a little bit of public profile in this area, you know, like political and legal. But what I found, and this is why I founded an organization called Empowered Canadians, is I found that Canadians were very Confused or lost or uncertain about political structures and systems and legal systems and how to participate. And just coming from like a position in an elected official or a party, I would think that it's a very difficult conversation to have sometimes. So I can see you're having the difficult conversations and it's a lot harder to get to where you want to get. But I wonder if that has part of something to do with it. And the other thing I've noticed a lot, and I think this is more happens in Canada than other Places around the world is they're really looking for kind of either a hero or somebody else to do the work. And I don't know if that's your experience or not, or if you feel the same way. So I can kind of now again coming at, I can kind of understand a little bit more where the Conservative Party is coming from only because of what I've witnessed. And I'd like to go into that a little bit more with you as well. But I'd like to know your thoughts about that. If that's what you're seeing, if there's just a lack of information Standing or desire to be involved in this whole process. Are you fighting the fight? And like Sometimes I wonder why am I doing this and wonder if you feel the same way too. Speaker 1: Yeah. But, you know, It's it's normal in between elections. People are not looking at what's happening in politics, and they are not following that, Like during an election, election time. But that being said, for me, as a leader, it's the best time to travel across the country And having time to have that conversation, the only challenge that I have is with the mainstream media, they are canceling me because I believe that they know that, You know, if I'm out there with common sense policies, our our party will grow faster. Actually, they're doing the same thing with Robert f Kennedy Junior in the state, the mainstream media is canceling him, and he's doing a good campaign with, social media and, and a YouTuber, And I'm doing the same thing here in Canada. What is when I'm meeting people, a lot of them are are fed up with the system. They They're they know that it's not working. They know that their center of living is going down, but they're so afraid Of their own life to try to build a better life and, and own more money and being able to put food on their table That they are not so prorated, by by politics, and they may not have time to participate, I Truly to be like a member of the people party or a member of a political party, they're too busy to try to survive. And, but during the election time, I believe that it will be able to to grow our support. And, you know, it's not more that people, today, are more precipitated by their way of life. And because we have that huge inflation, it's because of big government, Huge taxes and, you know, it's, our standard of living is going down, and people understand that. And I believe that would be a big wake up, when the election time will come. Speaker 0: Well, and I have to agree with you. You know, people Obviously you're so preoccupied. When I started doing this kind of educational campaign and stuff like that, people were like, well, why are you charging for a Class, it should be free. Everything's so expensive. And my response back to a sense was Maybe if we were a little bit more involved in holding our elected officials to account earlier, we might not be in the position that we're in. So I understand we're not in a good situation now, but certainly it's time that we start doing our fair share. So I was talking a little bit about, and you touched on that, the apathy and things like that, but then we also have, I see almost the opposite. And this was almost the reason that I asked you to be on the show. Cause my show is called Dialogue Over Division. And I'm trying to bring back dialogue. I feel like everyone's just getting cancelled. You can't say anything right. And I feel it's worse than children in a schoolyard that we've just become. I don't know what we've become and it's strange. And I think that it's time to stop. So I just want to have conversations with people. But, I put out a silly poll on Twitter and I was just shot down by your supporters and just telling me that I'm wrong and that my poll should tank and how dare you. And then conservatives, when I said that I was bringing you on the show, they're like, Now your votes are splitting and what are your thoughts about, so you have complete apathy from some people and then you have This almost irrational support, like, there's nothing you could do and they just they're like cheering for their team so strong, but I don't know. It's it's hard. Speaker 1: Yeah. That's social media. It happened to me, actually. You know? I have a lot of people that I don't like what I'm seeing and not coming on my Twitter account and Facebook page. That's social media. And, you know, that's okay. And if they're not polite Or we're gonna block them. That's not my policy because I want them to come and have the discussion on my on on my, social media, my Facebook account or Twitter account, x account, I must say. But, that being that being said, if they are not polite and they're they don't want to have a a nice discussion, I will block them, But that's happening, but also the the point that the the conservative supporter are saying, they're saying that to me and to everybody. Bernier is fitting the vote. Bernier is fitting the vote. We want to get rid of Trudeau. Actually, I hope that Pierre Poirier will have a majority. Why? Because I understand that when he will have a majority, You won't do what you won't you won't act like a real conservative government. Actually, I had the experience of that. I was with Stephen Harper, 2006, elected with a minority, 2008, elected with a minority, 2011, we had our majority. I said, oh, okay. We gotta govern like a a real conservative party. We're gonna do a Privatization, deregulation, smarter government. No. We did nothing. He Harper was The good manager of a big government. We did nothing because Alper wanted to be reelected, and he was looking at the poor and focus group. So if we have a majority conservative party of government, he won't do anything because his his goal, as soon as he elected, Will need to be reelected, and he won't have the courage to do bold reform. For us, as a new political party, I gonna say to these people after that, You know, you had your majority government, and Polyair did nothing. We are the real option for a big change And and, and the the idea of splitting the vote is not there. You split something that is the same. If you look at all our policy on immigration, on balancing the budget, on ending the cartel and supply management, On the climate, emergency, we won't sign the Paris Accord. For us, they have no climate emergency, And the environment is a shared jurisdiction with provinces. If a province, wants to put regulation and fight climate change, good for them, But we won't we won't sign that accord. Polyave will. So on climate change, another big difference. On the equalization formula, People out with, they're tired to give money to Quebec as a poor province, and I can tell you we're not a poor province in Quebec. But the equalization formula is unfair. Poliev won't touch that. He won't touch that. He won't speak about that. But that's important for the unity of our of our country. When you have about 25% of the population in Alberta who are saying that we're ready to separate, You need to answer that. You need to be out there and speak to them, but Boliev won't do that. He's taking The vote of Westerners for granted. So you we're not speaking the vote because we are so different than the conservatives. And for me, I'm telling people, you know, vote for your ideas. Vote for what you believe. You will have more chances To have what you want if you do that. Speaker 0: Well, it sounds like the BBC party is not going anywhere from what I've just heard. Speaker 1: No. No. No. No. Like I said to my wife, I'm 60 years old. I'm in shape, and I'm there for the next 10 years. So the time is on our side. Speaker 0: So good to know. And then so speaking of that, you're the leader of the party, but you have had 4 unsuccessful election runs. So where does that look or does that affect your prognosis of where things go? Are you looking at a Jacob, are you just feeling that that was a hump? Speaker 1: Yes. So I must say that after the last election, I didn't win I didn't win the seat in Bose in 2019. I didn't win. I went back in Bose in 2021. I didn't win my seat with 19% of the vote. And after that, We did. We are a third party, and we asked all our members if they want Bernier to stay as the leader After the last election, and I had 95% of support. So yeah. And I want to stay as a And our members are saying yes. We want you to stay as a as a as the leader. And so, I did run-in a by election Last June in Manitoba, southern Manitoba, in the writing called Porteig L'histoire, And I didn't win with 17% of the vote. So I can tell you that 17 is a good beginning because I was in both. I have 19%, very well known in both a Francophone riding, and I'm going to Manitoba and telling people over there, want to be elected. I will move in your writing and work for you, and I have for the first time 17%. So answering your question, I will run back in Manitoba at the next election in 2025 in the same riding, and we're gonna deal from that 17%, And we'll see what will happen. Speaker 0: K. So 2025 is your prediction for the next election, you think? Speaker 1: Yeah. Because, you know, I know that the establishment politicians are looking at the polls. So Trudeau, he he can today, he won't be reelected, And same thing for the NDP. The NDP wants to stay in power with the coalition with Trudeau. So they will wait. They will wait. And I believe that their coalition will stand until September or fall 2025, but we never know. But I can tell you that People's Party will be ready for that date or before. Speaker 0: Yeah. And so, You know, I think we talked about this a little bit earlier. I can't remember if it was before, but the incredible Spending that we're seeing from the Liberal Party. Like this government needs to come to an end because the accountability is just out of control. Like what we're seeing every day, every week. I don't understand how it's gotten this bad, but again, and that's something I'd like to talk about how you saw things back then and if they've really changed. But if the goal really is, I think For Canada's sake, we really need to make sure that this government isn't back in place. Is there any I understand the concerns that you mentioned with Polyov's government and the Conservatives. But is there Hello? Or, like, how you anybody works together or no that's off the table? Speaker 1: Yeah. You know, that that's off the table. But what I can tell you is I want to get rid of Trudeau like you, like everybody. So what I'm telling Canadians, you know, a DPC candidate elected Will support, but yes. When it will be, it will act like a conservative government and will shame him if he do the opposite. So I'm telling people, vote for us because we are your insurance policy that PolyF will govern in the right direction. And, you know, we can be like the NDP, but the NDP of the right. So the NDP is pushing to the toward the extreme left, But we can push Polievre to the right and support him when he'd be a conservative. So for for Canadians, it's a win win supporting the PPC Because we will support I understand that Polyaive has more chances to be prime minister than myself right now. I understand that. And but also, I will be there, and I will fight for the ideas in the house with other candidates that can be elected. And we will support the government when it would be in line with our ideas. So I believe that conservative voters out west or all all across the country Can have an insurance policy with us that they will have a real conservative government. Speaker 0: Well, and I can understand that on a, a party level or a national level. But when you're looking at the riding and that's where people are bringing up the concerns because Then that's where people are going to have a hard time making a decision, I think, between a conservative candidate or a PPC candidate and ensuring that somebody with 0 accountability or know how to balance a budget gets in again. So On a national level, I understand that insurance policy, but what about on a riding scale? Speaker 1: Okay. Like I said, in many bothering my by election, last, summer, last June, and in in Alberta or in Saskatchewan, I I said to people, do you really believe that if you vote for me, if you vote for the PPC, you will have liberal candidate elected in your riding in Alberta, in Saskatchewan, in Manitoba? No. It won't happen. So, you know, Speaker 0: there were a few writings. My writing was one of those that it's City Centre Edmonton. And we had a conservative NP, James Cummings briefly and Randy Boissoneau was the NP before Liberal. And then James Cummings lost at the one in 2021. And we have Randy Wassenaude again. And I think it was 600 votes that he lost on. Again, I'm not telling people what to vote for, but this is the Concern that I've been hearing people have and how we reconcile that really or if there is. Speaker 1: Yeah. But what I'm saying, you know, Vote for what you believe. And if you look at the at the data right now, the polling right now, Polyea will be in government If there's an election today. Mhmm. So and I hope that it will be at 42% during the election campaign because I'll be able to say to people in your writing, You know, take a chance. Vote for your in line with your ideas. Actually, look at the poll. You you know that Polynev has a huge chance to be elected. So you need a PPC candidate to be elected in your writing to make the difference, not our and be sure that Polyea would be honest. Speaker 0: Yeah. And so I can, I can appreciate that too? And like, you know, rural Alberta is probably, you know, a good, great place, but someplace like City Centre Edmonton, it was there was a lot of it could have gone either way and it did. So that's what happened here. And it was just interesting to me that a former Liberal MP then went back again and then like, you know, sometimes you don't see that happening and that's exactly what happened in this writing. So Very interesting to see that. But I think we covered that pretty well. And there's a few other things that I wanted to talk about. Anyway, one of Like you were in government before and then you're seeing what's going on here. Did you ever think that it would get to this Level of just complete basically neglect for Canadian people. I don't know how else to describe it, What's going on, especially with the accountability of any financial accountability. That's I cannot did you see that coming? Speaker 1: No. No. I never thought that the state of our country would be like that. And actually, it's it's our institutions also. You know, for example, me and Brian Petford, We, sued the federal government because we were not able to travel across the country during the COVID hysteria, to do impose a vaccine passport for Canadian travelers. We were not able to travel by plane, by train, or by boat. So for us, it was against the constitution and illegal, unconstitutional. So we didn't we we we, didn't win in the federal court, And we appealed that decision at the fed federal federal appeal court, and we didn't win. That happened last week. And the judge said, your case is mute rude. Sorry. Because, you know, it it's it's it's The the restriction are not enforced anymore, so why having a discussion about that? But these restrictions can come back, And we're gonna go up to the Supreme Court of Canada, but what I'm telling you is our institutions. We are also woke judges And judges who won't look at the constitution, and they will do everything to not Give us a decision based on the constitution that happened all across the country. If you look at all the cases Says that the Justice Center For Constitutional Freedoms, bought in court and fight in court and fought in court They didn't win the majority of them all across the country, and so it's very disappointing. You have to the institution, the system that is Not for me, not working. They they are not doing their job by judging and giving a decision on based on the constitution. You have politicians. And, you know, you don't want to be a politician these day. These days, the credibility of politician is very low. And That's why we what I'm saying right now, the most important for me is the credibility of the People's Party and my own credibility. What I'm saying today, I said that 5 years ago or 10 years ago, and people can understand that I'm saying thing by conviction. But the credibility of politician is very low because of them, and and the institution, the government is spending money, like, you know, There's no end. And now we are paying with the inflation tax. So it's a big mess. Yes. Speaker 0: So interesting you went there because one thing I did want to talk to you about is, and this is something I hear all the time and I watch it And I shake my head. You have elected officials posting publicly for the whole world to see. Childish, immature, finger pointing and then blocking their own constituents from responding. Like what is your take on that? And like when you were in government, was there a discussion about this or did it just all go like Crazy afternoon left and everyone's it's really disheartening to see elected officials acting in this manner. And it's from all sides, I think, from what I Speaker 1: elected official and also bureaucrats. You know, you have 2 kinds of of, Ministers or or politician. You are the one that will control their department and be the boss of the civil servants. And but they're they're a minority, but the majority of them are doing what the what the bureaucrats are asked them to do Without asking any questions. And and so what you have, you have these bureaucrats that are telling politicians what to do, And politicians are too afraid to to confront them or to ask questions and they they they gonna follow that line. And that's Why, you know, when she you have a conservative government or a liberal government, and it's the same. Yeah. It's the same because the civil servants are all the same, and they are there. You know, politicians are elected, and when they they are not able to win, but bureaucrats are not elected, and they're there and they they have, security. So that's why, you know, you cannot a liberal or a conservative, and it would be about the same. So that's the deep state. And I had that experience when I was a minister. When I did my reform in telecommunication, I had my own deputy minister, My the 1st civil servant in my department who was working against me, against my own reform, and tried to Speak to other minister and deputy minister against my reform. So that's deep state. They think that they are in control. And and when you have when you have the politician of today's that their only goal is to be elected, They're gonna say anything. And when they're gonna be elected, they may do the opposite of what they said. Speaker 0: So, I don't know if you saw the cross examination I did with prime minister Trudeau and my Speaker 1: Oh, congratulation. That was great. I saw it Once and another time with my wife. Congregation. Speaker 0: Thank you. And the last question I asked him was, when did you and your government Start to become so afraid of your own citizens. And I've been, like I was saying, I've been criticized by everyone for everything and that's one of them. And at the time it really made sense to me that question because I was on the ground in Ottawa, with these regular Canadian citizens that are, you know, just trying to hold their government to account. And that was how they did it. And then we were sitting through the public order emergency inquiry for 6 months and little Tamara Leach, the terrorist was beside me and all of the officials are coming and going and there's no security problems. And I was just like this, None of this makes sense to me. And that was my question to him. So a 2 part question. Do you think that the government is scared of their own people because an additional component I thought of later is that and you were kind of alluding to this is civil servants. It's the opposite. They're afraid of their government. They're afraid of the government, whereas independent Canadians, the government is afraid of that. Do you think I have that right? Or did I get something or it's way more complicated than that? Speaker 1: No. You have that right. I was not a while at the same time and you were there. We saw that. That was not a protest. That was a celebration Because we knew at that time that we had the momentum, and these draconian measures will end the day, and it happened couple of weeks after that. But when you asked that question to the prime minister, yes, he was scared. He wanted to he wanted to control. He didn't want to have any discussion with us, and they They were telling that we're racist and Nazi and all that, and that was not true. And the media also, played that game. And, and Trudeau wanted to control and to impose his point of view. He was acting like a dictator. And the the fact that what he did also with the bank accounts of, you know, Canadians, donors who donated The money to the the cause, they've he they frozen their account. That was the first without any hearing, Without anything. And, so that was that was a government afraid of his own people And did everything to control them, and that's what he did. It's a shame, and it will be and I I really appreciate what you did. And when you asked the question also, did you lie or something like that? Why did you Speaker 0: lie? I'll tell you the question again because it was actually about whether the role of a Prime Minister or leader is to unite its citizens or divide them by name calling. And he said I never called anyone names. Speaker 1: Yeah. That was a good question. You did that in France actually and in a in a TV show, but that was great. You did a good job over there. But yes, you know, we have a government that is only there for themselves and they don't care about Canadians. They don't care about Canadians anymore. Speaker 0: Yeah. Well, I think that the trucker protest like, just the protest. That's what I've been trying to remind people now about because it was just so heated and political and divisive. Really what you had with Canadian citizens going to Ottawa and trying to hold their government to account. They did it maybe in not the same way that other people would, but that was about as nefarious as it was. And so just looking back on it I try to remind people that that's all it was. So, I appreciate that because it's interesting to hear your perspective given that Una We're there and you were in that position or those positions before. So I'd like to wrap it up here if you have any final comments or thoughts you wanted to and then we're gonna do a few more minutes, for the paid x subscribers. Speaker 1: No. I really appreciate, and I want to thank you for that time, and, we had a very good discussion. So, I hope I'll be able to come back on your show, in the next time, or If you have any questions, don't hesitate to be in touch with our team. And, I want to thank you again for what you did in Ottawa, And, you know, when you were, interrogating, the the prime minister, that was great. And, That was a a good time in our democracy, being able to have the prime minister and being able to ask him questions and looking at his answers And lying to the population, that was a big moment, and I want to thank you for all that. And let's stay in touch. So, And, I really appreciate my time with Speaker 0: you. My pleasure and great to have you. My show, like I said, is called dialogue over And the reason I wanted to have you is there was so much division at that moment and I would like to have a dialogue about it. So here we are. So thank you for that again and We'll catch up in a moment here.
Saved - September 21, 2023 at 8:29 PM
reSee.it AI Summary
The trial of Tamara Lich and Chris Barber raises questions about its political nature. Former Ottawa Mayor, Jim Watson, is set to testify for the Crown. What unique evidence can he provide compared to city employees or police? We await his testimony to find out.

@forevaeva79 - Eva Chipiuk, BSc, LLB, LLM

Can we really say the trial of Tamara Lich and Chris Barber is not political when the Former Mayor of Ottawa, Jim Watson is scheduled to testify as a witness for the Crown? Seems like an odd witness to me. What evidence can he offer that those that work for the city or police cannot? I guess we have yet to see what type of evidence he will present.

Saved - September 17, 2023 at 2:08 AM
reSee.it AI Summary
Drinking in public spaces is illegal in Canada, while smoking crack is not. Critics argue that this is unreasonable and lacks rationality. Concerns include health impacts, drunk driving, and disorderly behavior. In contrast, London allows drinking on the street, treating citizens as responsible adults. The Canadian government's restrictions seem more about control than protection. It's ironic that citizens are deemed responsible enough to pay taxes but not to drink responsibly. The lack of consistent surveillance in public spaces is also highlighted. Government control in various areas may raise similar questions.

@forevaeva79 - Eva Chipiuk, BSc, LLB, LLM

Can someone answer me this: Why is it illegal to drink a beer in the park in #Canada but you can smoke crack? Does this sound reasonable or rational to you? “Those opposed to drinking in public spaces have cited the health impacts of normalizing alcohol consumption and worries about drunk driving and dangerous and disorderly behaviour, among other concerns.” @CBCNews But if you shoot up heroin, none of these problems exist? I am in London, England and you can drink on the street, because the government here treats their citizens like adults. If you think the government in Canada is doing it to protect you, think again. This is about control. If you let the government treat you like a child, they will treat you like a child using control and discipline. Also take it a step further, you can’t drink outside because you are not responsible enough, but you are responsible enough to pay taxes so they government can tell you where you can drink (or again, shoot up in public, not problem in fact, public transportation buildings seem to be preferred). Do you see the problem now? Still not convinced, this is actually in the article: “No surveillance, no trust Malleck, the medical historian with Brock University, says that for the last century, the notion of drinking in a public space has been that it's fine as long as it's in a controlled public space, such as a bar or restaurant, where someone in a position of authority knows that if rules are broken, they could lose their liquor licence. But in public, he says, there's no consistent surveillance.” You NEED to be surveilled. You are not responsible enough to drink in public, just make sure you pay the government first. What other areas of government control don’t make sense to you? https://cbc.ca/amp/1.6904771

Saved - September 16, 2023 at 7:56 PM
reSee.it AI Summary
In Canada, let's discuss Tamara Lich and Chris Barber's charges seriously. Sedition and treason are grave accusations, not to be taken lightly. Using these terms casually undermines our country, its people, and the justice system. Let's respect the seriousness of these charges.

@forevaeva79 - Eva Chipiuk, BSc, LLB, LLM

Can we have a serious discussion in Canada about the actual evidence, and charges of, Tamara Lich and Chris Barber? It seems necessary to say, sedition and treason are extremely serious charges. These are not allegations or terms that should be used lightly in any context or country, including Canada. Using these terms so causally and flippantly does a disservice to Canada, the public, the democratic and justice system.

@forevaeva79 - Eva Chipiuk, BSc, LLB, LLM

@JessicaVdV But Lich and Barber aren’t charged with sedition (ie. overthrowing the government) or treason, they are charged with intimidation of mischief and some other minor charges. Would be strange for the Crown to present evidence of sedition or treason and not charge them with such a…

Saved - September 15, 2023 at 7:11 PM
reSee.it AI Summary
Justin Trudeau's call for citizen engagement clashes with the prosecution of Tamara Lich, Chris Barber, and other Canadians who demanded better answers from their leaders in Ottawa. Trudeau urged citizens to embrace their civic responsibilities, but those who did were met with resistance. In a free society, we need more civic engagement, not less. If the protest was deemed excessive, the fault lies with the politicians who chose not to listen.

@forevaeva79 - Eva Chipiuk, BSc, LLB, LLM

When you hear the words of @JustinTrudeau in this clip saying: “We need citizens to engage, to pay attention and to be demanding of better answers, to be demanding more of our leaders and our political figures,” how do you reconcile his words with the prosecution of Tamara Lich, Chris Barber, and other Canadians, who went to Ottawa to engage, pay attention and demand better answers, and demand more of their leaders and political figures? What PMJT called for was encouraging Canadians to take part in their civic responsibilities. What Tamara, Chris and other Canadians did was embrace their civic responsibilities. To live in a free and democratic society, we need more civic engagement, not less. If the protest was too long or too loud, perhaps it was not the protesters that were the problem, but the political figures that chose not to listen.

@Vesperskill - Vesper

I was listening to a speech by Justin Trudeau & I wondered how perfectly Ironic it fits as a voice-over for a Freedom Convoy clip. It's unbelievable how it worked out! Please have a listen & maybe Trudeau will hear himself & wonder how he ever went so wrong! Share EVERYWHERE🙏

Video Transcript AI Summary
There is room for Canadians in Canadian politics. We need citizens to engage, pay attention, and demand better answers from our leaders. We have the potential and resources to shape our country. Let's come together as a nation to face the challenges and make Canada extraordinary.
Full Transcript
Speaker 0: For once, there might be room for Canadians in Canadian politics. Yeah. Raise our expectations of how we get to hold those people to account, and mostly come together as a country once again from coast to coast to coast to fall together the challenges that only an extraordinary country like Canada with extraordinary Canadians like you are going to be able to. Thank you very much. I'm sorry. This is Canada with the opportunities, with the potential, with the resources, both in our ground and in our land and mostly our human resources, we have no few our political body is where we have the kind of conversations that define the future of this country, the future of our kids, and we need citizens to engage, to pay attention, to be demanding of better answers, to be demanding more of our leaders, our political political figures. Whether it's making your voice turn across your community, we're all very, very good at that. We are all, as citizens, knowledgeable about the fact that we're lucky, and we need to help shape the community we're part of. For once there might be room for Canadians in Canadian politics Yeah. To pay attention, to be demanding a better answer to be demanding more of our leaders and our political political figures. And mostly, fleet come together as a country once again from coast to coast to coast, just all together the challenges that only in extraordinary country like Canada with extraordinary Canadians like you are going to be able to.
Saved - September 9, 2023 at 11:46 PM
reSee.it AI Summary
The Crown's case in the Lich and Barber prosecution faces challenges. Calls for peaceful protest hinder their argument for criminal charges like obstruction of justice. The judge criticizes the Crown's use of unattributed posts as circumstantial evidence, deeming it misleading. When asked about their intent with disclosure evidence, the Crown's response falls short. Hearsay and circumstantial evidence are deemed inadmissible. [Link to article]

@forevaeva79 - Eva Chipiuk, BSc, LLB, LLM

Things do not appear to be going well for the Crown in the Lich and Barber prosecution. It seems all the calls for lawful and peaceful protest are making it harder for the Crown to make its case for the criminal elements of counselling mischief, obstruction of justice, and others… “The judge said the Crown’s movement to submit “unattributed” posts, which means the author is unknown, as “circumstantial evidence” is “highly misleading” and even falls short of the criteria for hearsay. The Crown was asked what is its intent with the disclosure evidence, to which he replied, “We will let you know.” “We are too late in the game for 'We will let you know,’” the judge responded. “You can't have hearsay circumstantial evidence.”” https://westernstandard.news/news/admissibility-of-crown-s-evidence-under-scrutiny-in-lich-barber-trial/article_ecba774a-4e8a-11ee-82a8-ebb9f3f766e5.html

Saved - September 8, 2023 at 11:19 PM
reSee.it AI Summary
Suing regular Canadians for $400 million stifles democratic rights in the capital. Instead, consider holding the government and police accountable for mismanaging the protest. As a convoy lawyer, I urge you to use my name, Paul, and explore alternative avenues for seeking damages. Let's ensure a free and democratic society.

@forevaeva79 - Eva Chipiuk, BSc, LLB, LLM

Hello @PaulChampLaw, since you asked, yes, suing regular Canadians for $400 million for exercising their democratic rights in the nations capital has caused a chilling effect and does not exemplify a free and democratic society. Have your clients ever thought of directing their concerns to, and seeking damages from, the government and police authorities who wholly mismanaged the protest? Seems like the public bodies paid by public funds to manage and minimize the damages you are seeking for the court to address ought to be held to account as well. Also, I’m much more than “convoy lawyer”. Feel free to use my name Paul.

@PaulChampLaw - Paul Champ

Convoy lawyer says criminal charges are chilling protest and expression. I’m sure she would say the same about class action. I fully share her concerns and it also troubles me, because the right to protest is so fundamental to democracy. But I believe these legal cases will…/1 https://t.co/84k462acFq

@forevaeva79 - Eva Chipiuk, BSc, LLB, LLM

“In an exclusive interview with The Post Millennial, Edmonton attorney Eva Chipiuk said the long, arduous legal ordeal endured by both Tamara Lich and Chris Barber has already produced a protest “chill" in Canadian society. “Canadians are being shamed and vilified for doing so.… https://t.co/obchjh9Gge

@DavidKrayden - David Krayden

Leave it to lawyer @forevaeva79 to sum up the trial of Tamara Lich and Chris Barber being about ordinary s Canadians being "shamed and vilified." Right on. Putting political dissidents on trial makes Canada look not only authoritarian but just plain silly: #TrudeauMustGo…

Saved - September 7, 2023 at 8:47 PM
reSee.it AI Summary
The Freedom Convoy and the trial of Tamara Lich and Chris Barber have broader implications, both humanitarian and internationally. Canadians must open their eyes to what's happening. Democracy requires reciprocal participation, but we've been apathetic. The Convoy reminded officials of their duty to the public. Blocking and ignoring concerns won't solve anything. Our leaders must engage in difficult conversations and withstand public scrutiny. Canada deserves better.

@forevaeva79 - Eva Chipiuk, BSc, LLB, LLM

The Freedom Convoy and the trial of Tamara Lich along with Chris Barber have broader implications, both humanitarian and internationally that are not often discussed as described by @DiegoTheEgo2 below. The world is watching Canada with concern. Question is, do Canadians see what is happening or will they continue to keep their eyes closed? Democracy is not grounded in unilateral sacrifices, but requires reciprocal participation. Canadians have failed to uphold their civic duties. We have been apathetic and unengaged, as a result our elected officials have forgotten they work for the public. The Freedom Convoy was a stark reminder to elected officials of what can happen when they ignore their constituents. Citizens should not be fearful about engaging with their elected officials and demanding answers. They are elected to serve the Canadian public. If elected officials can’t take the heat from the public, they should get out of the fire. Dialogue is key. Blocking and ignoring constituent concerns is not the answer. Our elected officials are showing the world that they are not leaders, they cannot commit to difficult conversations, and they cannot take the heat. This is not a good look Canada. #Canada deserves better.

@forevaeva79 - Eva Chipiuk, BSc, LLB, LLM

👇👇

Saved - September 4, 2023 at 5:48 AM
reSee.it AI Summary
Representing members of the Freedom Convoy movement taught me the frustration of misinformation and intentional lies. We must be cautious with second-hand knowledge. In this digital era, let's educate ourselves with factual information. Canada, let's uplift and educate one another instead of shaming.

@forevaeva79 - Eva Chipiuk, BSc, LLB, LLM

THE most frustrating part about representing certain members of the Freedom Convoy movement was the amount of misinformation and intentional lies. What it has taught me is to be very careful with second hand knowledge. In this day and age when so much is recorded and there is so much available information, we owe it to ourselves to take time to inform ourselves about what is factual and what is not. Let’s try to do better Canada. Let’s educate and elevate each other rather than disparage and shame one another.

@forevaeva79 - Eva Chipiuk, BSc, LLB, LLM

@jonathansgilman @nspector4 Hello Jonathan. That is incorrect. Tamara is well versed in what legal rights Canadians have under the Charter. Her husband who is not as well versed about Canada’s legal and political systems used the words “1st Amendment” in the first bail review. What I have learned over the…

Saved - August 6, 2023 at 6:14 PM

@forevaeva79 - Eva Chipiuk, BSc, LLB, LLM

Albertans could see pandemic-related charges withdrawn after ruling on Public Health Act breach

Albertans could see pandemic-related charges withdrawn after ruling on Public Health Act breach | CBC News Albertans charged with breaking pandemic-related laws could see their charges withdrawn after a Calgary judge ruled the Public Health Act was breached when politicians, instead of the chief medical officer of health (CMOH), made final decisions on health restrictions. cbc.ca
View Full Interactive Feed