reSee.it - Tweets Saved By @gregmushen

Saved - August 6, 2025 at 9:53 AM
reSee.it AI Summary
The discussion explores why certain hunter-gatherer populations, like the Tsimane, Hadza, and Masai, exhibit low rates of heart disease despite varying diets. The Tsimane consume a high-carb diet, the Hadza have a balanced intake of meat and plants, while the Masai rely on fermented milk and meat. Despite high saturated fat intake, their cholesterol levels remain low, attributed to high energy expenditure. The conversation concludes that maintaining a physical activity level above 2 and a diet low in saturated fat and high in soluble fiber may reduce cardiovascular risk.

@gregmushen - Greg Mushen

Why Don’t Hunter Gathers Have Heart Disease? (Part 1) Heart disease is the number one cause of death in industrialized societies. So it’s interesting to look at multiple populations that don’t have it, and ask why? What is driving it and what can we learn from them? 🧵

@gregmushen - Greg Mushen

The Tsimane, the Hadza, and the Masai come from different locations and lifestyles. The Tsimane are from Bolivia. They hunt, fish, do slash and burn horticulture (plantains, rice, manioc), and have some market integration. Their macros are 70% carbs, 20% fat and 10% protein.

@gregmushen - Greg Mushen

The Hadza are hunter gathers from Tanzania. They subsist on meat from hunting, as well as 600 different plants throughout the year. Their macros are 60% carbs, 20% fat, and 20% protein.

@gregmushen - Greg Mushen

The Masai are pastoralists from Kenya/Tanzania They subsist mostly on 2-3L of fermented milk a day, blood that is drawn non-lethally from cattle, and meat a few times per week (not a staple). Their macros are 10% carbs, 20% protein, and 70% fat. Most of the fat consumed is saturated.

@gregmushen - Greg Mushen

What’s interesting is that despite diet variations, total cholesterol, and LDL are low. Despite consuming 100-200g of saturated fat per day, the Masai can still maintain an ApoB of 76! https://t.co/FswfH22tBt

@gregmushen - Greg Mushen

And while there is some plaque buildup in the Masai, the Tsimane have almost none. They have the lowest CAC values ever recorded. The Hadza have minimal to clinical evidence of atherosclerosis or heart disease. So why is it that despite wildly different diets, lipids are elite across the board?

@gregmushen - Greg Mushen

Since it doesn’t appear to be food related, it must be environment. What happens when we remove them from their environment? Does this change things? Here’s a paper that could help us answer that. https://t.co/CkSgEJz4os

@gregmushen - Greg Mushen

This study looked at rural Masai pastoralists (high activity), rural Bantu (semi sedentary), and urban Bantu (sedentary). It looked at many markers, but the ones we will focus on are lipids and energy expenditure. The key columns here are ApoB and ApoB/ApoA-1. https://t.co/50M8e1V4u6

@gregmushen - Greg Mushen

So right off the bat, we see that rural Masai have much better ApoB and the best ApoB/ApoA-1. The rural Batu have better ApoB but higher ApoB/ApoA-1. This seems counterintuitive on the surface, so what explains it?

@gregmushen - Greg Mushen

The urban Batu are at higher absolute risk. Higher ApoB, higher LDL-C, but they also have higher ApoA-1. This could be for many reasons, but the key point here is we are resolving what may appear to be a paradox.

@gregmushen - Greg Mushen

So what caused the changes? How is it that the rural Masai are able to eat 100-200g of saturated fat yet still have the lowest risk of heart disease? And the answer is adjusting for energy expenditure.

@gregmushen - Greg Mushen

The table presents beta coefficients from multiple linear regression models predicting: - Total cholesterol / HDL-C ratio - ApoB / ApoA-1 ratio With ethnic group as the exposure variable (Masai as reference group), and three levels of adjustment: - Model 1: crude (no adjustment) - Model 2: adjusted for energy expenditure (EE) - Model 3: adjusted for EE + BMI This allowed them to show that the differences in ApoB and the lipid ratios were entirely due to energy expenditure.

@gregmushen - Greg Mushen

When we look at raw energy expenditure, we can see the difference clearly. The rural Masai will walk up to 16 miles per day with their cattle. The average caloric expenditure from physical activity for the Masai is 2,575 kcal/day! So energy expenditure is critical for reducing risk of cardiovascular disease, and may be the strongest lever we have. But we’ve heard that exercise won’t move the needle for cholesterol right? So why the apparent contradiction? The simple answer is there is no contradiction.

@gregmushen - Greg Mushen

Tier 0 - No Response In this meta analysis, they looked at ten exercise interventions. The average kcal/week expenditure was 900kcal/week, which is about 5% the weekly amount of exercise of the Masai, and strikingly similar to the urban Bantu group. No wonder we don’t see an effect there. What about higher exercise groups?

@gregmushen - Greg Mushen

Tier 1 - Minimal Effective Dose Between 300-500 kcal per day seems to be the minimal effective dose to impact LDL-C, but not ApoB. At this level, there is LDL-C reduction of 8-12mg/dL. https://t.co/oRP9Gb6bBn

@gregmushen - Greg Mushen

Tier 2 - High Flux At around 1,500 kcal/day, LDL usually lands around 80-90 mg/dL and ApoB around 77 mg/dL. Depending on family history and personal risk factors, this is either a stopping point, or at the doorstep to elite. This is seen in the rural Bantu, as well as longshoremen and bus conductors.

@gregmushen - Greg Mushen

Tier 3 - Hunter Gathers This is the apex tier. To better account for body mass, we can look at the ratio of total energy expenditure (TEE) to base metabolic rate (BMR). Masai - 2.87 Tsimane (men) - 2.02 Hadza (men) - 2.26 So why do the Tsimane have the lowest PAL ratio, but also the lowest CAC ever recorded?

@gregmushen - Greg Mushen

The difference is likely explained by diet. The Tsimane have a diet very low in saturated fat, high in soluble fermentable fiber, so this may be more protective in aggregate than high flux alone. So the key may be: high flux + high fermentable fiber + low saturated fat.

@gregmushen - Greg Mushen

BUT…there are some edge cases here. It is biology after all. In an Amish study, they had a PAL ratio of 2.3, yet still have an ApoB of 103! So what gives? https://t.co/yIDOFayyQM

@gregmushen - Greg Mushen

It turns out that 12% of the Amish have an APOE polymorphism that raises LDL-C by 75mg/dL in carriers. If you exclude this group, the Amish land in the neighborhood of hunter gatherer societies. https://t.co/qdjy3lrmC0

@gregmushen - Greg Mushen

In summary: - If you want to have the absolute lowest risk of cardiovascular disease, you will want to have a PAL ratio above 2 - If you want to further reduce it, you will limit saturated fat (<10% of calories), and get around 50g of soluble fermentable fiber per day - If you have any lipid polymorphisms, you may need extra interventions to get to apex tier

@gregmushen - Greg Mushen

In part 2, we will look at mechanisms.

Saved - August 6, 2025 at 9:47 AM
reSee.it AI Summary
Hunter-gatherers exhibit low heart disease rates due to high physical activity, which enhances the clearance of ApoB particles, reducing their exposure even with high saturated fat intake. While the Maasai show atherosclerosis, they rarely experience heart attacks. Key mechanisms include residence time and fractional catabolic rate, both influenced by exercise. Studies indicate that increased energy expenditure and resting energy demand drive VLDL production, leading to a smaller ApoB pool and faster clearance, ultimately protecting against heart disease.

@gregmushen - Greg Mushen

Why Don’t Hunter Gatherers Have Heart Disease? (Part 2) In Part 1, we explained despite radically different diets, hunter gatherers have elite lipid profiles and near zero rates of heart disease. But how does this work? 🧵

@gregmushen - Greg Mushen

It’s not what you eat, it’s what you can clear. High physical activity load (PAL) expands clearance bandwidth, reducing ApoB exposure even when dietary saturated fat is high. This is why the Maasai, despite high saturated fat intake, can still have low ApoB, and low rates of heart disease.

@gregmushen - Greg Mushen

However, unlike the Tsimane who had the lowest coronary artery calcium (CAC) levels recorded, the Maasai still have atherosclerosis. Mann discovered this in 1972 and autopsies of 50 men revealed fatty streaks and fibrous lesions. However, early streaks ≠ heart attacks The Maasai rarely suffered the ruptured plaques that kill.

@gregmushen - Greg Mushen

So there is a dietary tradeoff here. High amounts of saturated fat will still lead to atherosclerosis, but it’s significantly offset by high PAL. But how does PAL offset it?

@gregmushen - Greg Mushen

The core mechanism at play here is residence time (RT). ApoB RT is how long a cholesterol carrying particle like VLDL or LDL stays in your bloodstream before being cleared. The longer it stays, the more chances it has to get damaged, enter the intima, and cause plaque buildup.

@gregmushen - Greg Mushen

Residence time is dependent on fractional catabolic rate (FCR), which is the percentage of a substance, like LDL, which is removed from your body per period of time. High FCR = faster clearance Low FCR = particles linger RT = 1 / FCR

@gregmushen - Greg Mushen

But, neither FCR nor RT has to change for there to be significant improvements. Other variables can change as well, such as absolute secretion rate (ASR). Imagine a sink. The ApoB pool is the water in the sink. The ASR is the faucet, and the FCR is the drain. So any one of these variables can be modified to ensure your sink isn’t filling up. Exercise is the only intervention that simultaneously modulates every component of the sink.

@gregmushen - Greg Mushen

Exercise modifies ASR In this study they used stable isotope kinetics to monitor all three. They had 56 type 2 diabetics perform supervised exercise at 70% VO2Max 4x/week for six months. They saw pool size decrease 47%, ASR decrease 51%, and FCR changed by 4% so clearance was statistically unchanged. But even though residence time was not changed, there was still a sharp drop in atherogenic load because there were fewer particles in the first place. The sink was no longer backing up.

@gregmushen - Greg Mushen

But energy expenditure here was still pretty minor. It was above sedentary people, but still below urban Bantu. This puts them squarely in tier one where we barely saw any changes. So what happens to it in when exercise matches one of the higher activity tiers?

@gregmushen - Greg Mushen

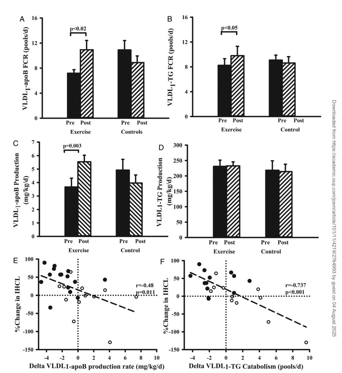
This study looked at 27 sedentary adults with biopsy proven NAFLD. They assigned 16 weeks of supervised aerobic training at 40-60% HR reserve. During this time, VO2max increased 31%. But did the drain widen? https://t.co/4CPWLOfYK4

@gregmushen - Greg Mushen

VLDL-ApoB turnover (FCR) increased from 7.2 to 10.9 pools per day, and VLDL-TG from 8.3 to 9.8. Controls were unchanged. The rise was driven by higher catabolic removal, not particle transfer. So we know both ASR and FSR can be modified, and FSR is dependent on sufficient stimulus and time to do so. But what about athletes who have been training a long time?

@gregmushen - Greg Mushen

That’s what this study set out to explore. They injected radiolabelled LDL mimic nano emulsions (LDE) into 24 trained cyclists and 20 sedentary controls then tracked its 24 hour decay. What they found was that FCR was 5x faster in athletes (3.5%/h vs. 18%/h) https://t.co/eGcBNSGKoI

@gregmushen - Greg Mushen

A much bigger drain means shorter RT even though LDL-C was very similar. They also found that FCR scaled with fitness peak (VO2max). Ox-LDL was 50% lower in athletes. Shorter circulations plus higher receptor activity means less oxidative damage, lowering atherogenic potential per particle.

@gregmushen - Greg Mushen

To test the mechanism, they compared exercise effects between wild mice and LDL-R knockout mice. They found that exercise boosted muscle update of LDE only in the wild mice.

@gregmushen - Greg Mushen

The author’s interpretation of this was “Removal from plasma was markedly accelerated…through the induction by exercise of increased LDL receptor activity”

@gregmushen - Greg Mushen

But yet we saw the water in the faucet decrease, so what’s driving the water in the first place? It turns out, this is largely regulated by resting energy expenditure (REE). In this study, they used stable isotope tracers to measure VLDL-triglyceride (VLDL-TG, the water in the faucet) in healthy men and women. They tested whether production correlated with: - REE - Plasma free fatty acids (FFAs) - Insulin levels - Body fat and fat distribution They found that VLDL-TG production was strongly correlated with REE. Fasting insulin was also an independent predictor. Higher insulin -> higher VLDL-TG production But the effect was additive to REE.

@gregmushen - Greg Mushen

What this means is the liver doesn’t just respond to how much fat is circulating. It responds to how much energy the body is burning. Energy demand, not just substrate surplus, drives VLDL production. This means that both VLDL and ApoB are part of the body’s substrate delivery system and are scaled to meet real time energy needs.

@gregmushen - Greg Mushen

Hunter gatherers don’t get heart disease because they move relentlessly. Constant energy flux shrinks the ApoB pool and speeds clearance. Fewer particles and shorter residence time means fewer opportunities for oxidation.

@gregmushen - Greg Mushen

Even high saturated fat diets can’t clog a fast draining sink if your PAEE is 2x your BMR. High physical activity load (PAL) is the hidden cardio protector.

@gregmushen - Greg Mushen

In part 3, we will evaluate dietary and genetic modifiers.

Saved - August 6, 2025 at 9:06 AM
reSee.it AI Summary
The discussion explores why hunter-gatherers, like the Amish, exhibit low heart disease rates despite high saturated fat intake. The Amish maintain high activity levels, with men averaging 18,000 steps daily, which aids in atherosclerosis prevention. Genetic factors also play a role; 12% of the Amish carry an APOB allele affecting lipid clearance. Non-carriers show low heart disease risk despite poor diet, while heterozygotes with impaired clearance experience higher risks. The conversation highlights the interplay of diet, exercise, and genetics in heart health.

@gregmushen - Greg Mushen

Why Don’t Hunter Gatherers Have Heart Disease? (Part 3) In Part 2, we explained how clearance can play a big role, and how it can be modified with exercise. And while exercise can mitigate diet significantly, diet and genetics still play a big role. 🧵

@gregmushen - Greg Mushen

Let’s look at a few populations and determine if the model holds. Starting with the Amish.

@gregmushen - Greg Mushen

The Amish have very high activity levels. Men walk 18k steps per day, women 14k Children > 20k per day. This is an important detail as atherosclerosis is a disease than manifests over decades. So starting early, and continuing through life will make a big difference. https://t.co/2HBE8r8aeb

@gregmushen - Greg Mushen

The Amish have high saturated fat intake. About 16% of calories versus 12-13% in matched non-Amish. Whole milk, home-churned butter, and lard. They have a relatively autonomous food supply. They rely on meat they slaughter, food they grow but… https://t.co/7140XRUSYe

@gregmushen - Greg Mushen

They have fewer vegetables than non-Amish (1.2 servings per day), and more cookies, cakes and pies than non-Amish (1.91). And pretty low fiber at 26g/day. So their diet is far from perfect. https://t.co/xe6r54O9CU

@gregmushen - Greg Mushen

Let’s look at their lipids…here’s where it gets interesting. You couldn’t have built a better natural experiment here. 12% of the population has an APOB allelle, R3500Q. https://t.co/bZCXyaJnfk

@gregmushen - Greg Mushen

ApoB-100 is the lignand that allows LDL particles to dock to the LDL receptor (LDLR) on hepatocytes for clearance. So in Mushen’s Law™️ this impacts the clearance/FCR side of the model.

@gregmushen - Greg Mushen

We would expect those without the variant to have low heart disease, and those with the variant to have higher heart disease. And that’s exactly what we see…

@gregmushen - Greg Mushen

Lipid values Non-carriers (TC/LDL-C/HDL-C/TG) 200 / 130 / 56 / 59 Heterozygotes 260 / 193 / 54 / 51 Homozygotes (only two people) 391 / 327 / 56 / 43 Three very clear groups. How does this impact them?

@gregmushen - Greg Mushen

Non-carriers had median CAC of 0 when young (44) and 8 when old (66). Heterozygous had 72 when young and 92 when old. https://t.co/nLzpL6k1dg

@gregmushen - Greg Mushen

The non-carriers, despite eating a lot more saturated fat, cookies, pies, only a serving of veggies per day, and low fiber are still in the lowest risk category as they age. Even though their faucet is turned on higher and they have elevated LDL-C (135). But despite this, they are able to clear it from all of their activity, so they have minimal CAC.

@gregmushen - Greg Mushen

However in the heterozygotes, this changes. Same diet, same exercise. But they have a genetically broken drain, so they can’t clear it. As a result, the residence time increases, and those lipids can get trapped and start the atherosclerotic process.

@gregmushen - Greg Mushen

So two Amish men, same diet, same exercise. One has a broken drain, the other one doesn’t. One has a CAC of 72 at 44, and the other 0 at 44. It’s not the butter per se, it’s the clearance.

@gregmushen - Greg Mushen

It is poetically absurd that there was a population with both high PAL and varying genetics. We got super lucky with this one.

Saved - August 6, 2025 at 8:41 AM
reSee.it AI Summary
The discussion centers on the sleep patterns of various hunter-gatherer groups, which consistently average around 6.4 to 6.5 hours. One participant notes the absence of short sleep genes among these groups, prompting curiosity about the implications. Another suggests that the quality of sleep, influenced by factors like morning UV light and grounding, may enhance the restorative effects of this sleep duration. The first participant expresses interest in the relationship between activity levels and sleep quality, highlighting the consistency of these findings.

@gregmushen - Greg Mushen

What’s perplexing is the hunter gathers that have been studied have remarkably similar length of sleep: San - 6.4h Hadza - 6.5h Tsimane - 6.4h I have not found any short sleep genes in any of them. It seems like not enough on the surface…until you start digging…

@DrGrimmMD - Brian Grimm, M.D.

Interesting, right? Maybe it’s not the length of sleep but the quality of charge transfer during it. When adenosine builds from wakefulness, UV light in the morning jumpstarts the day’s melatonin production, not just its suppression. And if you’re barefoot, grounded, and electron-rich… 6.4 hours might feel like 9.

@gregmushen - Greg Mushen

@DrGrimmMD Yeah, it’s fascinating. It has got to be that. I did a cursory search on activity and found some studies that showed that SWS increased with activity, but haven’t pulled on that thread yet. What I find so fascinating is how consistent it is. Why?

Saved - January 17, 2025 at 12:58 PM

@gregmushen - Greg Mushen

This is an incredible story. A man stayed behind in Pacific Palisades, and using only a garden hose, was able to save his house. https://t.co/u2G9KKH0LL

Video Transcript AI Summary
The house, built by my parents in 1960, holds countless memories for me. Losing it would be devastating, as rebuilding would be financially impossible due to high property taxes. While preparing the house during the fire, I noticed no fire trucks were present. If they had responded quickly, many homes, including those behind me, could have been saved from the small spark that ignited the flames. I took action to protect my home, doing everything I could in that moment.
Full Transcript
Speaker 0: The house was built by my mother and father in 1960, and, I I lived here my whole life. So there's a lot Speaker 1: of memories here, and I think I owed it to them as well to to try my best to save it. Some things in life are worth fighting for. I mean, if I were to lose this house, it would be very difficult to afford to be able to build a new house, to pay the enormous property taxes they have here. Where would I what would I do? When I was out here, hosing the house down and getting ready and when the the houses started to burn, I didn't see one single fire truck out here at all. 0. If they had some fire trucks, just put a squirt here, a squirt there, and kept an eye on things, all these houses would be here now. I'm telling you right now, I saw with my own eyeballs. All these houses, the houses behind me, they're all gone. They started with one little spark, one little small fire. They just squirted those out, had a few people out there. It was they'd all be here now. I did what I needed to do. I did what I wanted to do. I did what I thought I could do, and, that's what I did.
View Full Interactive Feed