TruthArchive.ai - Tweets Saved By @quay_dr

Saved - August 31, 2024 at 2:08 AM

@quay_dr - Dr Steven Quay

Read it yourself: https://www.nature.com/articles/s41586-024-07873-4

Fibrin drives thromboinflammation and neuropathology in COVID-19 - Nature Life-threatening thrombotic events and neurological symptoms are prevalent in COVID-19 and are persistent in patients with long COVID experiencing post-acute sequelae of SARS-CoV-2 infection1–4. Despite the clinical evidence1,5–7, the underlying mechanisms of coagulopathy in COVID-19 and its consequences in inflammation and neuropathology remain poorly understood and treatment options are insufficient. Fibrinogen, the central structural component of blood clots, is abundantly deposited in the lungs and brains of patients with COVID-19, correlates with disease severity and is a predictive biomarker for post-COVID-19 cognitive deficits1,5,8–10. Here we show that fibrin binds to the SARS-CoV-2 spike protein, forming proinflammatory blood clots that drive systemic thromboinflammation and neuropathology in COVID-19. Fibrin, acting through its inflammatory domain, is required for oxidative stress and macrophage activation in the lungs, whereas it suppresses natural killer cells, after SARS-CoV-2 infection. Fibrin promotes neuroinflammation and neuronal loss after infection, as well as innate immune activation in the brain and lungs independently of active infection. A monoclonal antibody targeting the inflammatory fibrin domain provides protection from microglial activation and neuronal injury, as well as from thromboinflammation in the lung after infection. Thus, fibrin drives inflammation and neuropathology in SARS-CoV-2 infection, and fibrin-targeting immunotherapy may represent a therapeutic intervention for patients with acute COVID-19 and long COVID. Fibrin drives inflammation and neuropathology in SARS-CoV-2 infection, and fibrin-targeting immunotherapy may represent a therapeutic intervention for patients with long COVID. nature.com
Saved - June 19, 2024 at 7:55 AM
reSee.it AI Summary
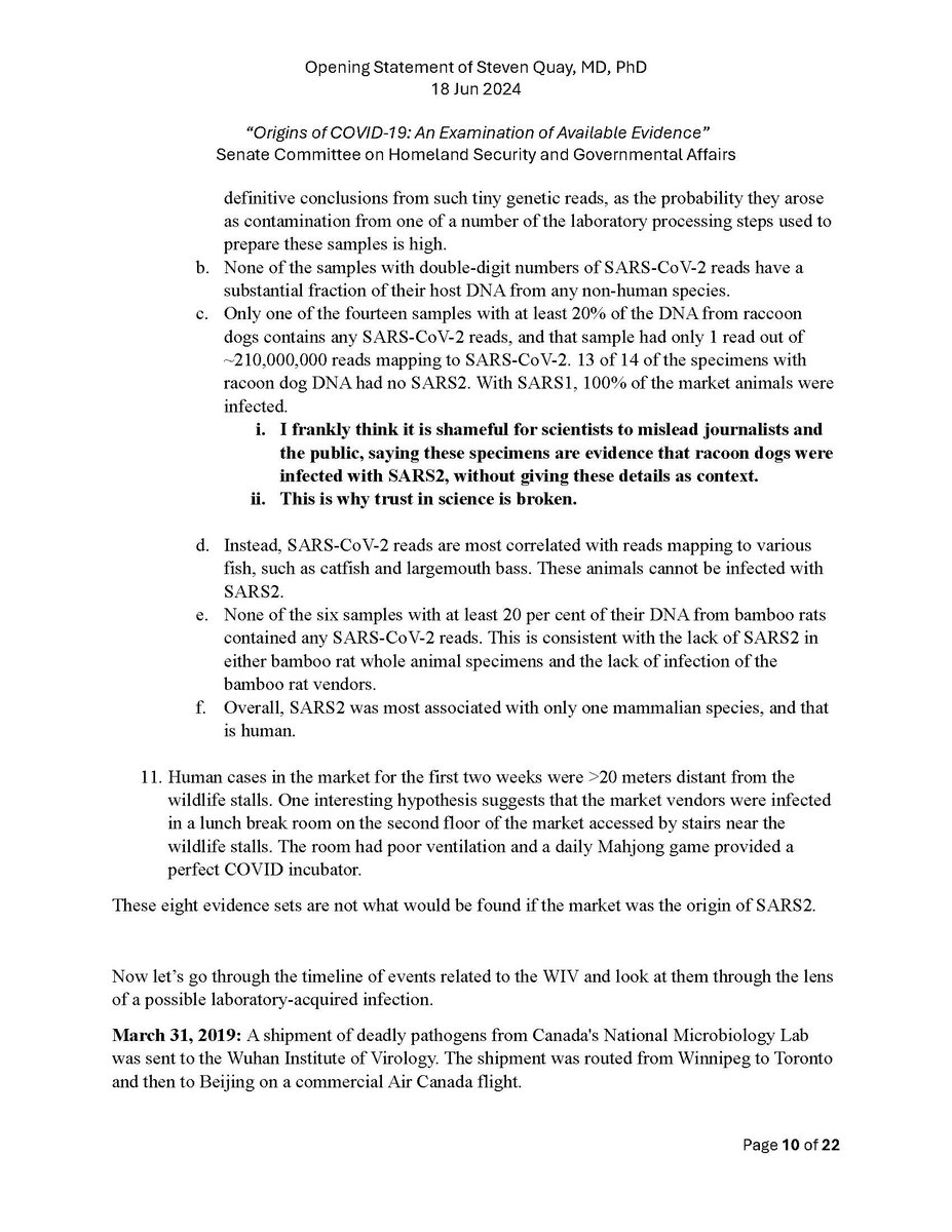
The author presents evidence supporting a lab-acquired infection as the origin of the outbreak. They provide data, observations, and a timeline from the WIV, as well as information on zoonosis and genome features. They also mention the unstable ancestor virus and the potential of a lab leak with the Nipah virus. A PDF of their statement is included.

@quay_dr - Dr Steven Quay

Here is my submitted testimony for the hearing today. I approach the question of the origin with six 'Russian nesting dolls' of evidence, all supporting a lab-acquired infection. 14 sets of data document the outbreak began months before the market cases 8 observations from the market data not c/w a spillover. A timeline of events at the WIV over six months c/w a lab reacting to a biosafety breech. Data from a zoonosis with respect to animals, people, and viruses never seen with a spillover. 8 genome features c/w a synthetic virus. Probability one virus from nature has all of these features is one in 1.2 billion. 9 features described in the 2018 DEFUSE grant are found in SARS2. The D614 unstable ancestor virus first seen in humans cannot passage in any animal without the D614G stabilization. Means the FCS was added last and infected a lab worker almost immediately and before animal passaging. Otherwise the first human cases would be D614G. Next potential lab leak? The Nipah virus, 75% lethal, Here is a pdf of my Statement: https://zenodo.org/records/12082166

Opening Statement of Steven Quay, MD, PhD 18 Jun 2024 "Origins of COVID-19: An Examination of Available Evidence" Senate Committee on Homeland Security and Governmental Affairs Here is my submitted testimony for the Senate hearing today.    I approach the question of the origin with six 'Russian nesting dolls' of evidence, all supporting a lab-acquired infection.   Fourteen sets of data document the outbreak began months before the market cases.    Eight observations from the market data are not consistent with a spillover.    A timeline of events at the WIV over six months is consistent with a lab reacting to a biosafety breech.    Data from a zoonosis with respect to animals, people, and viruses have never been seen with a spillover.    Eight genome features consistent with a synthetic virus. The probability one virus from nature has all of these features is one in 1.2 billion. Nine features described in the 2018 DEFUSE grant are found in SARS2.   The D614 unstable ancestor virus first seen in humans cannot be passaged in any animal without the D614G stabilization. This means the FCS was added last and infected a lab worker almost immediately and before animal passaging. Otherwise the first human cases would be D614G. The next potential lab leak? The Nipah virus, 75% lethal. zenodo.org

@quay_dr - Dr Steven Quay

https://t.co/n6TaDpT76o

@quay_dr - Dr Steven Quay

https://t.co/aIijAotbcT

@quay_dr - Dr Steven Quay

https://t.co/8j0cXYGrsd

@quay_dr - Dr Steven Quay

https://t.co/TrtSDPujvY

@quay_dr - Dr Steven Quay

https://t.co/XxF920h3So

View Full Interactive Feed