TruthArchive.ai - Tweets Saved By @teameffujoe

Saved - September 9, 2025 at 10:49 PM

@teameffujoe - The Older Millennial

I wasn’t aware judges didn’t even have to go to Law School. https://t.co/LxihfQjO2R

Video Transcript AI Summary
"Did you know the judge that released this guy didn't even go to law school? Yeah. Not even a lawyer." "These magistrate judges that are making a decision to release these people without bail? Yeah. They're they're not even lawyers." "They didn't go to law school. They didn't pass the bar." "They just got appointed to be judges." "No training required." "They don't even have to be lawyers, but they can be judges." "They don't have to go to law school. They don't have to pass the bar." "How the fuck is this a thing? How the fuck do we have judges who didn't even study the law?" "But to be the judge, to be the person overseeing these lawyers, to be the ultimate arbiter of the law, you don't have to go to law school. You don't have to pass the bar." "How is this a fucking thing?"
Full Transcript
Speaker 0: Did you know the judge that released this guy didn't even go to law school? Yeah. Not even a lawyer. Yeah. These magistrate judges that are making a decision to release these people without bail? Yeah. They're they're not even lawyers. They didn't go to law school. They didn't pass the bar. They just got appointed to be judges. No training required. Oh, yeah. And that's the case in states like North Carolina, South Carolina, West Virginia, Virginia, Texas, Arizona. They don't even have to be lawyers, but they can be judges. They don't have to go to law school. They don't have to pass the bar. However, they sit in judgment over people who did. How the fuck is this a thing? How the fuck do we have judges who didn't even study the law? How did this ever become a thing? That's that's one of the most insane things I've ever heard. Like, to to be somebody's lawyer, you have to go to law school. You gotta pass the bar. Like, just to represent a client, you have to do that. To be able to prosecute that person, you gotta go to law school. You gotta pass the bar. But to be the judge, to be the person overseeing these lawyers, to be the ultimate arbiter of the law, you don't have to go to law school. You don't have to pass the bar. How is this a fucking thing?
Saved - March 21, 2025 at 12:54 PM

@teameffujoe - The Older Millennial

Let’s talk about @harryjsisson and his involvement with Camil T. Maroun. *** This video was INSTANTLY RESTRICTED from the TikTok FYP for what TikTok defined as “Substances”. See if you can spot any alcohol or drugs. https://t.co/1Yn3XjAgtZ

Video Transcript AI Summary
The speaker discusses Harry's alleged connection to Camille Maroon and Maroon's alleged inappropriate contact with a 14-year-old autistic boy. Maroon founded and ran a social media company that Harry worked with. Maroon also founded Impulse, but is no longer listed on the company. Maroon's LinkedIn and Instagram accounts have been deleted. The speaker states that Maroon was deeply involved with TikTok and TikTok creators, but has seemingly vanished from the internet. The speaker claims that a girl, who revealed information about Harry, knew Maroon "was up to some shit" and made Harry aware. Harry allegedly promised to investigate but continued working with Maroon. The girl also has a recording of a death threat telling her to stop talking about Camille. The speaker states they will get to the bottom of this and encourages others to investigate.
Full Transcript
Speaker 0: Alright. So let's talk about Harry's involvement with a man named Camille Maroon and his alleged awareness of inappropriate contact with a 14 year old autistic boy. Now I'm not gonna come to any conclusions investigator. I'm not a lawyer. But I just wanna give you the information I have to allow you to do your own research and come to your own conclusions. So as of four days ago when all these stories about Harry broke, as of that time, Camille Maroon not only had a social media company that he founded and ran, a company with which Harry worked, but he also had a public LinkedIn that was directly associated with Impulse, which is the company he founded and currently runs, a company that he is no longer listed on. Because even though Google shows the archive of him having an account, he has either deleted it or set it to private. Also, of four days ago, he used to have an Instagram. However, that has also been deleted. Now Camille was very obviously involved deeply with TikTok and TikTok creators. But as of today, he has pretty much vanished from the Internet. His entire online presence, which was fully active four days ago, is now gone. Now like I said, I'm not coming to any conclusions on this, but it does seem pretty coincidental. When this information came out about Harry and that girl, I'm not gonna give her name, I don't want her to be a target, but she put out information where she knew Camille was up to some shit, and she made Harry aware that Camille was up to some shit. And even though Harry promised he was gonna get to the bottom of it and wasn't gonna work with him anymore, he not only kept doing that, but she actually has a recording of a death threat she received telling her, stop talking about Camille. Well, that's not something I'm going to do. Because if the information about Harry and Camille wasn't suspicious before, the fact that the day after the information about him broke, he deleted every single bit of his online presence is. So let me be very clear that we are going to get to the bottom of this. We are gonna continue to find out the facts here. But I just wanted all of you to be aware of the current situation, and please feel free to look into it yourself. When it comes to the safety of 14 year old children, especially those with disabilities, the more eyes the better.
Saved - February 14, 2025 at 1:08 PM

@teameffujoe - The Older Millennial

This teacher’s crashout over Trump is legendary. **He has been fired. https://t.co/I08Ddia06n

Video Transcript AI Summary
What bothers me even more than that guy are the Republican senators and congressmen who blindly follow along. They don't believe in any of it. They're just scared he'll trash them on Truth Social and they'll lose their jobs. They're doing whatever he says, which is a dictatorship. After everything I've done for you over the last two years, standing up for you, you're going to treat me with disrespect? If I could take back your letter of recommendation, I would. Don't ever talk to me like that again, personally. You disrespect me like that after I stood up for you? You got your letter, your grade, so now you can treat me like that?
Full Transcript
Speaker 0: And the only thing that bothers me more than him is all the public Republican senators and congressmen who just keep going along with it. It's not because they believe in it. You gotta know they don't believe in it. They don't believe in any of it. They're just afraid that he's gonna talk smack about them on truth social, and then they're gonna lose their job in an election. So they're just doing whatever he says, which is the worst possible thing because that's called a dictatorship. Jesus Christ. You don't see that? I'm not kidding. When I say wipe that smile out I I don't translate that detention. I just wrote you a referral mentally. You're going to detention for bringing up politics and class. You wanna go for two? Call yourself, man. Yo. Excuse me? Excuse me? Excuse me? Excuse me? After all I put up with you for the last two years and clocked you up and stood your back when they ripped you, you what? You say what? What? Are you serious? Treating you with that disrespect. Are you serious? Are you serious? Are you serious? If I can take back your letter of recommendation to college right now, I would. You talk to me like that after everything I've done for you? Are you kidding me? No detention. Don't ever talk to me again personally. You can ask questions in class. You say anything in class without raising your hand, you go to detention for a week from now on. Disrespect me like that. You got your letter, so now everything's good. Right? You got your high grade on the midterm, so everything's good. Now you can treat me like that? After all, I stood up for you. You punk ass. You really gonna do that to me? And the only thing that bothers me more than
Saved - February 10, 2025 at 12:20 PM

@teameffujoe - The Older Millennial

Liberals Today: @elonmusk having access to US Treasury data is a massive risk! Liberals 2 Months Ago: A Chinese spy getting access to every computer at the Treasury is no big deal. https://t.co/eFFiIV3usX

Video Transcript AI Summary
A Chinese state-sponsored actor gained remote access to every workstation at the Department of the Treasury a month before Trump's inauguration. The Biden administration later confirmed this in a letter to Congress. This significant breach went largely unnoticed by the public. The concern over Elon Musk's access to data seems misplaced given this major security failure. The Chinese intrusion renders concerns about TikTok's potential access to data less relevant. It's baffling that this massive security breach hasn't received more attention.
Full Transcript
Speaker 0: Did you know that a Chinese spy got remote access to every single workstation at the treasury a month before Trump took office? So while you liberals are like, oh my god. Elon Musk can't possibly get access to all the information at the treasury. Fucking China got it. The month before Trump took office, Biden administration sent a letter congress admitting the days earlier a Chinese state sponsored advanced persistent threat actor secured remote access to every workstation in the department of the treasure. Democrats thought so little of this intrusion. Most of you never even heard of it. Most of the American people never heard of this, but it happened. Why all of you worry about Elon Musk having access to your personal data. The country of fucking China's got it. Kinda makes the whole block in TikTok worthless as well. Right? The United States government gave a Chinese spy full access to the department of the treasury. But, yeah, Elon's who we should worry about. You're fucking sheep.
Saved - February 9, 2025 at 3:02 AM

@teameffujoe - The Older Millennial

A liberal judge in New York just banned the Secretary of the Treasury from accessing The US Treasury. https://t.co/hgyC8oeplV

Video Transcript AI Summary
A New York judge, Engelmayer, issued an order barring all political appointees, including the Secretary of the Treasury, from accessing US Treasury data. No legal basis or reason was given for this ex parte order, which was initially temporary but faces efforts to make it permanent by Democrat attorneys general. This action, I believe, is unconstitutional. The order allows previous employees to retain access, leaving the Secretary with less authority than subordinates. This is outrageous; the secretary is effectively blocked from their own department. This is seditious and treasonous, and those responsible should face jail time.
Full Transcript
Speaker 0: So a liberal New York judge just did something so unconstitutional that I actually had to look it up under five different sources because I didn't believe there was any chance this actually happened. So judge Engelmayer just forbade all political appointees, including the new secretary of the treasury from accessing US department of treasury data. You understand how insane that is? The judge just banned the secretary of the treasury, the person who is in charge of the United States treasury from having access to the United States treasury data. And in doing this, the judge cited no law, no precedent, and not even any fucking reason to do this. Oh, and the order was ex parte, meaning it couldn't be challenged. In fact, the only lawyers allowed to weigh in on this were democrat attorney generals. They just banned the person in charge of the treasury from accessing the treasury. Now all the employees that were there when Biden was in power, they still have access. So right now, the secretary of the treasury has less power than the people who work for him. This is fucking insane that you can just get a judge in New York to say the secretary of the treasury doesn't get to do anything at the treasury. And while this order is currently only for a week, these democrat attorney generals are pushing to make this permanent. They are trying to permanently bar the secretary of the treasury from accessing anything at the treasury. This is seditious and treasonous. How are you going to have random state judges and random state attorney generals bar the executive branch from accessing information in the executive branch? How are you going to bar the fucking secretary of treasury from the treasury? Fuck sanctions. Fuck being fired. These people need to go to fucking jail.
Saved - February 7, 2025 at 4:38 PM
reSee.it AI Summary
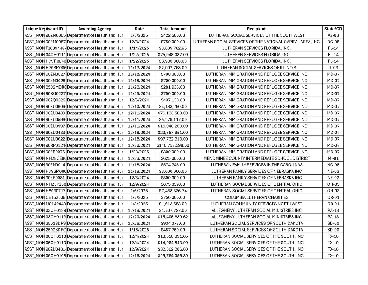
I’m frustrated to see that while Americans in North Carolina faced dire conditions, we allocated $584 million to support illegal immigrants. Organizations like Lutheran Family Services are receiving billions in taxpayer dollars, raising concerns about accountability and transparency. Recent grants to various Lutheran organizations total staggering amounts, and it's crucial to question how this money is being used. After the news broke, one organization even changed its name to Global Refuge, which feels like an attempt to evade scrutiny.

@teameffujoe - The Older Millennial

At the same time Americans in NC were freezing to death in tents, we were giving $584,000,000 to support illegal immigrants! https://t.co/qcFSvCpJzA

Video Transcript AI Summary
The government allocated $584 million to assist illegal immigrants through Lutheran Immigration and Refugee Services while claiming they couldn't find funds to help American victims of hurricanes and wildfires. During this time, families in North Carolina were living in tents, and those in Los Angeles were facing wildfires, yet the government couldn't provide them with housing. This stark contrast raises serious concerns about priorities. Regardless of political affiliation, if you think this is acceptable, it reflects a disregard for American citizens. Complaining about the exposure of this issue only shows a lack of concern for the situation at hand.
Full Transcript
Speaker 0: At the exact same time that our government was telling us they couldn't find the money to help the victims of the hurricane and the wildfires, they were giving $584,000,000 to help illegal immigrants. Yeah. I showed you that list in my prior video where over the last two months, the United States government through USAID has doled out $584,000,000 to Lutheran Immigration and Refugee Services. Now Lutheran Immigration and Refugee Service does exactly what it sounds like they do, but it's it's not even the fact that we're spending half a billion dollars to support illegal immigrants. It's the fact that while we were able to spend that half a billion dollars, while we just cut those fucking checks, sometimes more than one a day for tens of millions a week, at that exact same time, we were telling Americans living in fucking tents in North Carolina, we couldn't find the money to help them. We were telling people in LA dealing with multiple wildfires, we couldn't find the money to help them. Like, there were American families literally freezing to death in fucking tents because our government couldn't put together the money to get them into real fucking housing. And at the same time, we were given 584,000,000 fucking dollars to illegal immigrants or at least to support illegal immigrants. I don't give a shit if you're a democrat, republican, libertarian. I don't fucking care what you are. If you think that's okay, you hate America. Just fucking admit it. Stop complaining on x. Stop complaining on TikTok about us looking into this money. Stop complaining about us revealing this ridiculous amount of fucking corruption. If you have a problem with this information coming to light, then you just hate America. It really is that fucking simple.

@GenFlynn - General Mike Flynn

Now it’s the “Lutheran” faith (this use of “religion” as a money laundering operation must end): Lutheran Family Services and affiliated organizations receive massive amounts of taxpayer dollars, and the numbers speak for themselves. These funds, total BILLIONS of American taxpayer dollars. Here are just a few of the recent grants awarded (pre @RobertKennedyJr ) by the Department of Health and Human Services (HHS): LUTHERAN IMMIGRATION AND REFUGEE SERVICE INC: $367,612,906 LUTHERAN SOCIAL SERVICES OF THE SOUTH, INC: $134,190,472.95 LUTHERAN SERVICES FLORIDA, INC.: $82,937,819.95 There are MANY more organizations cashing in on our hard-earned money. These entities are receiving huge sums, which raise serious questions about how taxpayer funds are being spent and who’s benefiting. It’s time to hold these organizations accountable. American taxpayers deserve transparency. Enough is enough! And there is much more where these screen shots below came from.

@teameffujoe - The Older Millennial

By the way, after all this news broke they changed their name to @GlobalRefuge Don’t let them slip into the shadows. https://t.co/37Xb5AgliY

Saved - January 25, 2025 at 8:20 AM
reSee.it AI Summary
The conversation begins with a user expressing disbelief that four police officers committed suicide due to the events of January 6, asserting that officers do not take their own lives over witnessing a riot. Another participant questions why officers who testified before the January 6 committee received pardons, suggesting they may have been involved in a federal conspiracy. A third user responds with a link, presumably providing further information or context related to the discussion.

@teameffujoe - The Older Millennial

I’m just gonna say this. IF YOU BELIEVE THAT 4 CAREER POLICE OFFICERS “COMMITTED SUICIDE” FROM THE “HORRORS” THEY SAW ON JAN 6th, YOU’RE A FUCKING MORON. Police officers don’t kill themselves because they witnessed a riot. They GET KILLED when the Democrats don’t want them to testify.

@CJ445336594275 - LightOtruth

@teameffujoe And why did the ones that testified before the January 6 committee get a pardon? Could it be because they were actually part of the fedsurrection https://t.co/Qz5DTZrysA

Video Transcript AI Summary
Recently, some police officers spoke about their trauma during the January events. One officer described being outnumbered, beaten, and called a traitor. However, it turns out he was not in uniform and was actually an FBI informant carrying a Confederate flag. This revelation undermines the narrative presented, suggesting it was not based on truth. There's a call to release FBI files to uncover the real culprits behind the events.
Full Transcript
Speaker 0: You know how all those cops went up in front of the American people a few days ago for the January talking about how traumatized they were? Remember this guy? Speaker 1: Because I was among the vastly outnumbered group of law enforcement officers protecting the capital and the people inside it. I was grabbed, beaten, tased, all while being called a traitor to my country. Speaker 0: Yeah. That guy. Well, that guy was actually not in uniform, and he was not there as a capitol police officer. He was there as an FBI plant. The dude was there carrying a Confederate flag. You can't make this shit up. It's him, and he thought he was going to get away with it. Once again, unraveling of the narrative because the narrative wasn't strong because it wasn't true. So we can try again. Try try again. But guess what, guys? Release the FBI files, and you will see who's really guilty.

@Boristhedog1974 - Boris

@CJ445336594275 @teameffujoe Here's your answer https://t.co/1wK8Kw6Ohe

@CJ445336594275 - LightOtruth

@Boristhedog1974 @teameffujoe https://t.co/vnnPhdm9Lg

Saved - January 10, 2025 at 1:43 PM

@teameffujoe - The Older Millennial

East Palestine: $750 Loan Maui: $750 Loan Southeast US: $750 Loan LA: 100% of the Recovery Costs! It pays to be a blue state! https://t.co/WZX71SUsxA

Video Transcript AI Summary
The Biden administration announced that victims of the LA wildfires will receive 100% of their recovery costs covered for the next 180 days. In contrast, victims in East Palestine, Maui, and those affected by hurricanes in the southeast received only a $750 loan, which required proving damage to qualify. This disparity highlights the frustration over the differing levels of support provided to disaster victims, especially when the LA wildfires were deemed preventable by the state of California.
Full Transcript
Speaker 0: So the Biden administration just announced the relief they're going to give to the victims of the LA wildfires, and that relief is going to be 100% of the recovery cost for the next 180 days. So for the next 6 months, the United States federal government is gonna be on the hook for 100% of every single recovery cost. They have decided that the American taxpayer is paying for everything. Meanwhile, the victims in East Palestine got a $750 loan. The victims of the Maui wildfire, $750 loan. The victims of the hurricanes all throughout the southeast, $750 loan. Not only did we have to fight to get that money, but we also had to have FEMA representatives come out and show actual damage so we could see if we even qualified to get a $750 loan that we have to pay back. But the victims of the LA wildfires, the wildfires that were 100% preventable by the state of California, they are getting 100% of their recovery costs paid for for the next half a year. Are you fucking kidding me?
Saved - December 19, 2024 at 3:57 PM

@teameffujoe - The Older Millennial

🚨 IN CASE YOU MISSED IT🚨 The CR also contained this little provision which redefines a “US Person” as ANY PERSON IN THE UNITED STATES and not just American citizens or people authorized to be here. Wonder why that was put in there??? https://t.co/kKvOCXkHr9

Saved - November 14, 2024 at 10:42 PM

@teameffujoe - The Older Millennial

These idiots will not get off the @MeidasTouch touch line of “Fox News Host”. https://t.co/ppuEJKQLDx

Video Transcript AI Summary
Donald Trump has appointed a Fox News host as his secretary of defense, but it's important to recognize his qualifications. He is a 20-year veteran of the U.S. Army, served as an infantry officer in Iraq and Afghanistan, and received two Bronze Stars. Additionally, he graduated from Princeton and Harvard Business School. In contrast, Ash Carter, who served as Obama's secretary of defense from 2015 to 2017, had no military experience and was a physicist. This raises questions about qualifications, especially when comparing someone with extensive military service and education to someone without military background. If you're going to criticize, it's essential to understand the facts and context.
Full Transcript
Speaker 0: Donald Trump just named a Fox News host as his secretary of defense for his incoming administration. How long are you fucking retards gonna keep acting like that's his entire CV? Because, yeah, if the only thing he'd ever done was be a media host, I'd agree he'd be unqualified. But you seem to leave out a few things, Harry. Like the fact he's a 20 year veteran of the United States army, that he served as an infantry officer in both Iraq and Afghanistan, that he was awarded the bronze star twice. And that in addition to his 2 decades of service in the United States military, he also went to Princeton. Oh, and then on top of that, graduated the Harvard Business School. You wanna talk unqualified secretaries of defense? Let's talk about this motherfucker, Ash Carter, who was Obama's secretary of defense from 2015 to 2017. This fucking dude never served in the United States military, and he was a physicist. Barack Obama made a physicist who knew nothing about the military the secretary of defense. That's unqualified. But trying to say a guy who's now currently a Fox News host, who also served 20 years in the army as an infantry officer, attained the rank of major, got 2 bronze stars for it, earned both the expert and the combat infantry badge, and also graduated from Princeton and Harvard. That guy is the guy you're trying to say is unqualified. And, look, Harry, I'll give you a break on the Obama appointment because you were 12. But if you're going to be that young and you're going to be that fucking stupid, shut the fuck up.
Saved - October 30, 2024 at 5:24 PM

@teameffujoe - The Older Millennial

Just in case anyone was wondering, the “Voter Protection” official telling everyone they can’t vote is…. Surprise surprise, DEMOCRAT OFFICIAL PAM JANVEY! https://t.co/Gg4fVRwDD6

@teameffujoe - The Older Millennial

We need to identify this woman! Is she an poll worker or an employee of the @DNC ??? Her tag just says “Voter Protection”.

Saved - October 30, 2024 at 11:00 AM

@teameffujoe - The Older Millennial

🚨 THIS IS VOTER FRAUD 🚨 THEY CLOSED THE LINE AT 1:45pm CLAIMING THE PROCESS IS SLOW. THAT’S 💯 % ILLEGAL. https://t.co/8vmzFJVADW

Video Transcript AI Summary
Voting is closed right now, but we have the right to vote until 4:30. The process is slow, and they cut the line at 1:45 due to high volume. This feels like voter fraud. No, it's not fraud; it's a procedural decision. You can contact voter protection or the county commissioners to complain. They are not accepting anyone else, and it's posted that they can cut it off. This is about ensuring everyone has the right to vote until 4:30 on election day. The situation is frustrating, and I have it on video.
Full Transcript
Speaker 0: I have a question. I have to bring someone here about 4 o'clock to vote. Are they gonna I'm gonna ask you to talk to this Are they gonna turn everyone down? I'm gonna ask you to talk to this gentleman because the voting is closed right now. It's closed. I just want you to talk to this gentleman. We have the right to vote until 4:30. I get you. He's doing his job. Why is it closed? Let me explain it to you. Please. Okay. This process is very slow and grueling. That doesn't matter if we're online. Very slow and grueling. Doesn't matter if we're online by 4:30, we have the right to arrive. Had to close was because a high volume of people want to do this. Slow and grueling. Well, then they have to wait till everyone's They had to cut the line at 145. They cut the line at 145. 140 5. You heard that, everyone? They cut the line at 145. Here's your This is, voter fraud, by the way. Who No. It's not. Who is it? Yes. It is. Oh, voter protection. I heard about that on x. Yeah. There's a lot going on. Contact tack voter protection. Let's see what this is. Contact the county commissioners to complain. This is and so so you don't think this is, voter fraud? This is this is voter fraud. See that everyone? They cut the line even though we have till 4:30. Election fraud here in Bucks County. And you have an oath. I mean, don't you care? I mean, like, really? This is ridiculous. Hey. How you doing? Hey. How are you? They're not accepting anyone else. Oh, did they cut off for today? They cut it off because of election fraud. That's why they cut it off. That's incorrect. It's actually posted them on that. They can cut it off. No. It's election fraud. It's not. It's election fraud. What are you voting for the left? It's election fraud. They're open till 4:30. Everyone in the line has the right to vote until 4:30. On election day? No. This is election day. No. I got a videotape. This is ridiculous. I just got a video.
Saved - August 4, 2024 at 4:57 PM

@teameffujoe - The Older Millennial

Hilarious! We just caught @CNN using AI to try to make the crowd look bigger at a @KamalaHarris event! https://t.co/Lhfjv7dbxY

Video Transcript AI Summary
CNN used AI to make a Kamala Harris event look bigger, as shown by Katherine Rampell's photo. People noticed issues like a strange road sign and fake-looking crowd. Mainstream media, like MSNBC editing Joe Rogan's clip, and CNN using AI to boost Harris' image, are being called out for dishonesty. It's clear that media lies are widespread, leaving it up to viewers to decide how to react. Translation: CNN utilizó inteligencia artificial para hacer que un evento de Kamala Harris pareciera más grande, como se muestra en la foto de Katherine Rampell. La gente notó problemas como un letrero de carretera extraño y una multitud falsa. Los medios principales, como MSNBC editando un clip de Joe Rogan y CNN usando IA para mejorar la imagen de Harris, están siendo criticados por su falta de honestidad. Es evidente que las mentiras en los medios son comunes, dejando a los espectadores decidir cómo reaccionar.
Full Transcript
Speaker 0: CNN just got caught using AI to try to make the crowds at a Kamala Harris event look bigger. Let me introduce you to Katherine Rampell. He worked for the Washington Post and is a commentator on CNN. And this was the image she posted. He said scenes from the Harris fundraiser in Pittsfield, Massachusetts. Then people started noticing some little issues with this photo. And she said, getting spam claiming these photos are AI. Not sure why I'd use AI to create a crowd of people in downtown Pittsfield. Then people started zooming in. The fuck is going on with that road sign? How does that happen? Someone explained to me how they can put their hands through the fucking sign? And what fucking language is this? Like, it's very obvious. This is all fake. I think they tried to take a tiny crowd at our fundraiser and make it some big event using AI. We're now at the point that in the last 2 days alone, he got MSNBC editing a Joe Rogan clip to make it sound like he supported Kamala Harris when actually he was talking about Tulsi Gabbard. Now we got CNN using AI to make it look like people give a shit about Kamala Harris. It has become very clear that the mainstream media is willing to lie directly to your face. It's up to you whether or not you're gonna take it.
Saved - November 7, 2023 at 7:41 AM

@teameffujoe - The Older Millennial

So I just had this kid from the UK threaten to murder me and my fiancé. https://t.co/BKp4q5o4n9

Video Transcript AI Summary
A person named Kai Pesion threatened to murder the speaker and their fiance due to their support for Palestine. The speaker confronted Kai, who foolishly used his real name on Instagram. The speaker quickly gathered information about Kai and contacted his family, posted the death threats on their social media, and informed the police in Scotland, where Kai resides. The speaker also reached out to Kai's university and employer, who promptly responded. The speaker emphasized that while they are open to debates and insults, death threats are unacceptable. They vowed to expose Kai's actions to everyone in his life, ensuring they are aware of his disturbing behavior.
Full Transcript
Speaker 0: So I just had a kid threaten to murder me and my fiance, and I'm gonna make him famous. Let's talk about it. So this is Kai Pesion and he is such a supporter of Palestine. He decided to jump in my DMs and threaten to murder me and my fiance. He told me not to leave my house because something is waiting for me. So I said, well, I'm flying tomorrow. Are you gonna get me at the airport? He said, oh, yes. I have you mapped out. Don't worry. He'll be at the airport. I guess he was talking about a hitman. He said what's coming to you is beyond words. Then he said good luck on the flight. Something big is coming. Protect Emily at all costs as well, Peter Griffin. I guess I'm Peter Griffin, but he said she's getting it too. Had this dude just threatened me, I probably wouldn't have gave a shit. I mean, if you saw my DMs, holy shit. You would think the whole world's coming for me. But when he threatened my fiance, he seriously fucked up. Because he was dumb enough to use his real name on Instagram. So it took me about 30 seconds to find out everything about him. So I proceeded to Facebook message his mother, Father, siblings, and grandparents. They also posted his death threats to me on all their pages and asked, is that something they're cool with? But then I found out some even more interesting things about him. He lives in the UK, which completely changes what I can do legally, Because if you online threaten somebody in the US, generally, the police don't give a shit. However, in the UK, online death threats are punishable by two to 7 years in prison. So I contacted his local police department in Scotland and provided them with all the evidence. They've assured me they will be speaking with him shortly. In addition to that, he also happens to be an honor student at a Scotland University, and their dean was kind enough to arrange a Zoom meeting with me later this week. Scotts are so accommodating. And lastly, I contacted his current employer. It's so cool, like their website has like a direct DM option, And they responded within 2 minutes, so they'll be looking into the incident as well. Now, I'm not gonna show any of his personal information, because then I'd be accused of doxing, I think people need to understand that this shit is not okay. Like, if you wanna argue and debate with somebody, I'm all for that. Hell, even if you wanna Call me fucked up names in my DM. Go to town. But when it rises to the level of threatening to murder me and my fiance, I'm gonna do everything I can to ruin your fucking life, and I'm gonna make sure that everyone in that life, Your mother, your father, your grandparents, your siblings, your children, your friends are exactly aware of the type of psychopath
Saved - September 27, 2023 at 1:59 AM

@teameffujoe - The Older Millennial

Either @harryjsisson is lying, or @nyuniversity is liable for hundreds of thousands in fines and could lose their federal funding! #HarrySmollett #NYU #CleryAct

Video Transcript AI Summary
The speaker provides an update on a bomb threat made towards them and their university. They address claims that the university is not complying with the Clery Act, which requires colleges to issue emergency notifications and timely warnings. The speaker mentions recent reports made under the Clery Act, such as a stolen scooter and incidents of harassment. However, there is no mention of the supposed bomb threat in any of these reports. The speaker argues that if minor incidents are reported, a bomb threat should also be reported. They suggest that either the bomb threat didn't happen or the university is willing to face fines and potential loss of federal funding. Another TikTok creator contacted the university's student life department, who claimed to have no knowledge of the situation.
Full Transcript
Speaker 0: Okay. I actually have another update on the recent bomb threat that was made toward me and my university. Speaker 1: How about this update? Either you're lying about this bomb threat or NYU is about to be hit with 100 of 1,000 of dollars in fines. Harry, do you know what the Clery Act is? I didn't think you would, so let me help you out with this. See, the Clery Act requires colleges and universities to issue emergency notifications and timely warnings. And in case you were wondering, all NYU campuses are required or comply with the Clery Act. And your NYU campus does comply. See, they put out campus notices of every alleged crime, even as recent as yesterday, September 25th. And they ensure that they comply with the Clery Act because they report everything. Like, let's see what they've reported recently. Somebody stole a scooter that was important enough to report. Somebody threatened an Asian student. No one was physically injured, but they say it was still a scary episode for those involved. That was worth reporting under the Clery Act. There was also a report of some fondling. I had to black out the word that says SA because TikTok Doesn't like that word. And I don't wanna give him an excuse to take this video down just because I showed it. But, yes, somebody touched somebody's butt. That was worth reporting under the Clery Act. But you know what's not in any of these reports? Your supposed bomb threat. So if somebody stealing a scooter is big enough to report under the Clery Act, but not a supposed bomb threat. And I know a lot of you Harry fans are gonna be like, well, they knew it was a fake. First of all, no, they didn't. Because not only did they claim to put bombs in a dorm room, they also claimed it was in the main building as well. And then some of you will probably claim, well, they don't have to report bomb threats. Well, according to the college president's guide to the Clery Act, yes, they would. In fact, reporting bomb threats under the Clery act was such a big deal. They literally held a webinar last year to teach college presidents about reporting on it. And what are the potential penalties for not reporting a bomb threat under the Clery Act? Those would be fines by the US Department of Education. And in theory, they risk losing their federal funding. So again, Harry, either this didn't happen or your college is willing to pay 100 of 1,000 of dollars in fines as well as possibly losing all of their federal funding simply so they could let you and student life handle the bomb threat. Oh, and by the way, a fellow TikTok creator did put in a phone call to your student life department. Here's what they had to say. Speaker 0: Surprise, surprise student life said that they had no clue what was going on and that they hadn't heard anything about it.
View Full Interactive Feed