reSee.it - Tweets Saved By @tristanleavitt

Saved - November 9, 2025 at 6:21 AM
reSee.it AI Summary
I’m noting it’s been 15 months since we filed a retaliation complaint with the OSC on SSA Shapley’s behalf, with no determination and unclear action from TIGTA. Hunter Biden’s suit against the IRS ignores a whistleblower exception, and the IRS/DOJ defense omits it. I intervened to support whistleblowers, but the government opposes. Weiss’s filings imply, falsely, whistleblowers are under investigation. OSC provides no public clarification, and accountability seems unlikely. It’s hard to urge whistleblowing now.

@tristanleavitt - Tristan Leavitt

And that work is far from over. 👉 It's been 15 months since we filed a retaliation complaint with @US_OSC on behalf of SSA Shapley, but they haven't yet made a determination. It's not clear what if anything @TIGTA is doing on the issue either. 👉 Hunter Biden filed a frivolous lawsuit against the IRS, falsely claiming the whistleblowers violated tax secrecy laws by sharing details about his taxes. But the offices tasked with defending against the lawsuit are the offices the IRS agents blew the whistle on: the IRS and DOJ Tax Division. They failed to even mention in their weak response that the tax secrecy laws contain a specific exception that protects whistleblowers to @WaysandMeansGOP. Since the IRS and DOJ aren't defending the whistleblowers we moved to intervene in the lawsuit so we could, but the government is aligned with Hunter Biden in opposing our motion to intervene. 👉 Meanwhile, Special Counsel David Weiss's office implied in court filings in California that the IRS whistleblowers were under investigation for their protected disclosures, when in fact it appears they were just dressing up the OSC investigation into the retaliation as an investigation into the whistleblowers. Because it happened in the context of an ongoing criminal prosecution, it doesn't appear @JusticeOIG is able to do anything about it. Congress demanded a briefing from OSC on why they allowed Weiss's office to impugn the whistleblowers by hiding the ball about OSC's investigation, but OSC has offered no public clarification, and it doesn't appear there will be any accountability for Weiss or his office. It's getting increasingly difficult for me to say with a straight face to federal employees that it's worth it for them to blow the whistle, no matter how big the waste, fraud, or abuse.

@WesternLensman - Western Lensman

@randallransom3 @DixieChick0211 @tristanleavitt The impeachment report may be, but the work that Tristan has done to protect and provide for the whistleblowers after they were targeted by their own govt employers is not. That’s the point of this post.

Saved - September 17, 2024 at 1:56 AM

@tristanleavitt - Tristan Leavitt

@TomFitton @realDonaldTrump He was also the Deputy Assistant Director of the FBI’s Security Division at the time the so-called “Trump Questionnaire” was used. His bias against conservatives and those of his deputy, Dena Perkins, permeated the unit.

@EMPOWR_us - Empower Oversight

Here is one of the interview outlines the FBI Security Division used to question our client's co-workers about his political opinions: https://t.co/VwNTWcNwNB

Saved - September 16, 2024 at 1:42 PM
reSee.it AI Summary
I shared details about whistleblower disclosures regarding FBI official Jeffrey Veltri, who has shown political bias, particularly against conservatives. He was involved in the controversial "Trump Questionnaire" and led a retaliatory investigation against our client, Marcus Allen, in 2021, bypassing standard procedures. This resulted in the suspension and revocation of Allen's security clearance, which the FBI eventually had to reinstate nearly three years later.

@tristanleavitt - Tristan Leavitt

This article details some of the whistleblower disclosures our client made about the political bias of FBI official Jeffrey Veltri, who is now the Special Agent in Charge of the FBI's Miami Field Office and spoke at today's press conference. https://nypost.com/2024/07/02/us-news/fbi-harbors-security-concerns-about-conservatives-views-them-as-unworthy-of-employment-whistleblower/

FBI abuses security clearance to ‘purge’ conservatives, views them as ‘unworthy’ of employment: whistleblower The FBI harbors “security concerns” about political conservatives and views them as “unworthy” of employment, according to recent whistleblower disclosures reviewed by The Post, which allege the security clearance process is being abused to “purge” the deplorables from the bureau. nypost.com

@tristanleavitt - Tristan Leavitt

@TomFitton @realDonaldTrump He was also the Deputy Assistant Director of the FBI’s Security Division at the time the so-called “Trump Questionnaire” was used. His bias against conservatives and those of his deputy, Dena Perkins, permeated the unit.

@tristanleavitt - Tristan Leavitt

🧵 From our 7/2/24 complaint to @JusticeOIG:

@tristanleavitt - Tristan Leavitt

@JusticeOIG More from the complaint...

@tristanleavitt - Tristan Leavitt

In September 2021, then-Section Chief Veltri opened the retaliatory and politicized investigation into our client Marcus Allen--bypassing the normal complaint vetting unit. He oversaw the suspension and then revocation of Allen's security clearance. Nearly three years later the FBI was forced to reinstate the clearance: https://empowr.us/fbi-whistleblowers-security-clearance-reinstated-in-full.

FBI Whistleblower’s Security Clearance Reinstated in Full - Empower Oversight WASHINGTON – In what appears to be an unprecedented move, the Federal Bureau of Investigation has fully reinstated whistleblower Marcus Allen’s security clearance after improperly revoking it. Allen made protected disclosures regarding congressional testimony of FBI Director Christopher Wray following the events of Jan. 6, 2021. The FBI retaliated against Allen, a decorated U.S. Marine ... empowr.us
Saved - August 29, 2024 at 7:15 AM
reSee.it AI Summary
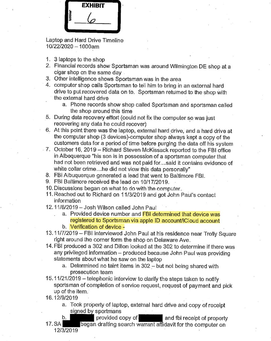
I shared a timeline from IRS whistleblower Gary Shapley. In November 2019, the FBI found that Hunter Biden's laptop was linked to his Apple iCloud. They confirmed no new files were added before they contacted Facebook about suppressing the NY Post story 11 months later.

@tristanleavitt - Tristan Leavitt

Start with this timeline provided by IRS whistleblower Gary Shapley. The FBI determined in November 2019 that the laptop was registered to Hunter Biden's Apple iCloud account. When the FBI took possession, they confirmed no files had been added to it. That was 11 months before the FBI contacted Facebook about suppressing the @nypost story. (Full transcript released by @WaysandMeansGOP here: https://waysandmeans.house.gov/wp-content/uploads/2023/06/Whistleblower-1-Transcript_Redacted.pdf.)

Page not found - House Committee on Ways and Means waysandmeans.house.gov

@zerovswr - Mike Maxwell

@mtaibbi When did the FBI know it was real and is there documentation on that? I need it!

Saved - November 8, 2023 at 7:34 PM

@tristanleavitt - Tristan Leavitt

This whole exchange with Sen. Hagerty has NOT aged well for AG Garland now that we know his DOJ denied USA Weiss special attorney authority before going to Capitol Hill to declare sunshine and rainbows in the Hunter Biden investigation.

@tristanleavitt - Tristan Leavitt

Hagerty responded: “Earlier this month, White House Chief of Staff, Ron Klain, stated on national television that quote, ‘the President is confident that his son didn’t break the law,’ and the White House Communications Director said that President Biden maintains his position that his son did nothing that was unethical. This is on national television. The President’s already told his subordinates, clearly—these are people that he can fire at will—that he and his family did nothing wrong. How can the American people be confident that his Administration is conducting a serious investigation?” Garland answered: “Because we put the investigation in the hands of a Trump appointee.” Hagerty closed: “Well, I think the observation here is terribly critical, because there’s an obvious conflict of interest here because, if those who are investigating the Biden family and their enterprise can be fired by the head of the family who’s being investigated—that is, Joe Biden can fire the Attorney General in Delaware [U.S. Attorney for the District of Delaware]—he can have an impact on all of your staffing.”

Saved - September 27, 2023 at 8:52 PM
reSee.it AI Summary
The Ways and Means GOP committee released IRS whistleblower documents, shedding light on their investigation. The FBI's interview with Gal Luft and AUSA Wolf's involvement in the search warrant for BlueStar Strategies are noteworthy. AUSA Wolf's bias and reluctance to pursue the Biden bribery allegations raise concerns. SSA Shapley's reports and the WH's influence on the case add to the conflict of interest. US Attorney Graves' decision not to prosecute HB after Pres. Biden's statement is questionable. The timeline reveals delays and potential political interference.

@tristanleavitt - Tristan Leavitt

🧵@WaysandMeansGOP voted to release all these IRS whistleblower documents pursuant to its legal authority under 26 USC 6103. Some items to point your attention to regarding the investigation... https://waysandmeans.house.gov/event/meeting-on-documents-protected-under-internal-revenue-code-section-6103-2/

Meeting on Documents Protected Under Internal Revenue Code Section 6103 - House Committee on Ways and Means Meeting Information Wednesday, September 27, 2023 at 10:30 AM in Room 1100 of the Longworth House Office Building. Notice of Meeting   EXECUTIVE SESSION MATERIALS RELEASED:   Committee on Ways and Means Staff Report Joseph Ziegler’s Affidavit 1: Exhibit 1A: Summary of Evasion and False Return Allegations for 2014 and 2018. Exhibit 1B: Summary of […] waysandmeans.house.gov

@tristanleavitt - Tristan Leavitt

@WaysandMeansGOP ➡️The FBI Form 302 summarizing its March 28, 2019 interview with Gal Luft. https://gop-waysandmeans.house.gov/wp-content/uploads/2023/09/T18-Exhibit-400-HWM-Gal-Luft-Interview-Requested-Redactions_Redacted.pdf

Page not found - House Committee on Ways and Means gop-waysandmeans.house.gov

@tristanleavitt - Tristan Leavitt

@WaysandMeansGOP ➡️ A month before AUSA Wolf told investigators she thought they should give up on the search warrant for BlueStar Strategies, she told them during the drafting process that the proposed search warrant should have nothing in it about "Political Figure 1" (Pres. Biden).

@tristanleavitt - Tristan Leavitt

@WaysandMeansGOP ➡️ SSA Shapley previously described the FBI asking the prosecution team on 9/21/20 if they could cut the investigation down to just 5 interviews. SSA Shapley's memorandum of this call has now been released: https://gop-waysandmeans.house.gov/wp-content/uploads/2023/09/T84-Shapley-3_Attachment-3_WMRedacted.pdf

Page not found - House Committee on Ways and Means gop-waysandmeans.house.gov

@tristanleavitt - Tristan Leavitt

@WaysandMeansGOP ➡️ Before AUSA Wolf even received the October 23, 2020 briefing on the confidential human source FD-1023 (later released by Grassley), she had already pre-judged it. This info further undermines @RepRaskin's claim that the Biden bribery allegations were fully investigated.

@tristanleavitt - Tristan Leavitt

@WaysandMeansGOP @RepRaskin Pittsburgh reportedly found this info was *not* disinformation. But no wonder that just 6 weeks later Wolf told investigators (who didn't know about the bribery allegations) they couldn't ask about Joe Biden because there was "no specific criminality to that line of questioning."

@tristanleavitt - Tristan Leavitt

@WaysandMeansGOP @RepRaskin Critics will no doubt argue that AUSA Wolf being "ordered" by the Principal Deputy Attorney General to receive the briefing somehow shows the Barr DOJ interfering. But Wolf was Hunter Biden's firewall. (Here rejecting the request to search HB's residence despite probable cause.)

@tristanleavitt - Tristan Leavitt

@WaysandMeansGOP @RepRaskin ➡️ Long before IRS SAC Waldon refused to answer Congress's questions about the storage unit that AUSA Wolf tipped HB's lawyers off about, Waldon's predecessor SAC was talking with IRS-CI leadership about his frustration with the Delaware USAO's not allowing that search warrant.

@tristanleavitt - Tristan Leavitt

@WaysandMeansGOP @RepRaskin SSA Shapley's Significant Case Report to his chain of command for that month of Dec. 2020 contained the type of information US Atty Weiss was no doubt unhappy to later read, leading to his retaliation against SSA Shapley.

@tristanleavitt - Tristan Leavitt

@WaysandMeansGOP @RepRaskin ➡️ IRS investigators learned in Sep. 2021 from @CNN that they had "an email from Hunter saying he expected all this 'stuff' to go away when his dad becomes President." https://gop-waysandmeans.house.gov/wp-content/uploads/2023/09/T67-Exhibit-506-Plea-offer-Email-with-IRS-09.22.2021_WMRedacted.pdf

Page not found - House Committee on Ways and Means gop-waysandmeans.house.gov

@tristanleavitt - Tristan Leavitt

@WaysandMeansGOP @RepRaskin @CNN ➡️ SSA Shapley's May 2021 report highlighted that AUSA Wolf "did not want any of the agents to look into the allegation" regarding campaign finance violations. She "does not want to include their Public Integrity Unit because they would take authority away from her."

@tristanleavitt - Tristan Leavitt

@WaysandMeansGOP @RepRaskin @CNN By 1/12/22, as the IRS charging recommendations were being finalized, SSA Shapley recorded that AUSA Wolf again said "she is not 'personally' interested in pursuing" the campaign finance case, and again indicated working with Public Integrity was just "more levels of approval."

@tristanleavitt - Tristan Leavitt

@WaysandMeansGOP @RepRaskin @CNN ➡️ It's a big deal that U.S. Attorney Matt Graves declined to bring a case against HB after the WH announced on 3/31/22 Pres. Biden didn't think his son had done anything wrong. This statement from the WH added to an already clear conflict of interest. https://www.whitehouse.gov/briefing-room/statements-releases/2022/03/31/press-briefing-by-director-of-communications-kate-bedingfield-and-nec-director-brian-deese/

Press Briefing by Director of Communications Kate Bedingfield and NEC Director Brian Deese | The White House James S. Brady Press Briefing Room 3:24 P.M. EDT MS. BEDINGFIELD:  Hello, everyone.   Good afternoon.  So, today we have a very special guest, a friend of the briefing room returning today.  You all know National Economic Council Director Brian Deese.  Brian is joining us to give some brief comments and answer some questions on the… whitehouse.gov

@tristanleavitt - Tristan Leavitt

@WaysandMeansGOP @RepRaskin @CNN Graves should have recused himself as a presidential appointee. But the WH spokesperson's timing may have influenced Graves overruling his career First Assistant, who had told DOJ Tax Division they were optimistic about the case against HB and would assign an AUSA of their own.

@tristanleavitt - Tristan Leavitt

@WaysandMeansGOP @RepRaskin @CNN I've already shared a 🧵 here on the chain of events the White House's 3/31/22 statement kicked off, particularly AG Garland being grilled by Senator Hagerty on 4/26/22: https://x.com/tristanleavitt/status/1703135027775881366?s=20.

@tristanleavitt - Tristan Leavitt

@WaysandMeansGOP @RepRaskin @CNN ➡️ The timeline in Sep. 2022, when the HB case was presented in the Central District of California, is also illuminating. Recall SSA Shapley's testimony that prosecutors seemed to delay the California case until U.S. Attorney Martin Estrada (a Kamala Harris donor) was confirmed.

@tristanleavitt - Tristan Leavitt

@WaysandMeansGOP @RepRaskin @CNN What has previously gone unnoticed is the timeline of public events in this period. On 9/18/22 Pres. Biden was interviewed on 60 Minutes and (incorrectly) said HB's troubles had caused no conflict for the government. https://www.cbsnews.com/news/president-joe-biden-60-minutes-interview-transcript-2022-09-18/

President Joe Biden: The 2022 60 Minutes Interview In a wide-ranging conversation with Scott Pelley, President Biden answers questions on Taiwan, inflation, the classified documents found in former President Trump's home and more. cbsnews.com

@tristanleavitt - Tristan Leavitt

@WaysandMeansGOP @RepRaskin @CNN Estrada was sworn in on 3/19/22--the day after Pres. Biden's 60 Minutes interview. That same day, 33 Republican Senators wrote to AG Garland asking that he give U.S. Attorney Weiss special counsel authorities to avoid political conflicts of interest. https://www.cornyn.senate.gov/wp-content/uploads/2022/09/Hunter-Biden-Special-Counsel-Letter-FINAL-2.pdf

Page not found | Senator Cornyn cornyn.senate.gov
Saved - September 27, 2023 at 7:55 PM

@tristanleavitt - Tristan Leavitt

SSA Shapley's Significant Case Report to his chain of command for that month of Dec. 2020 contained the type of information US Atty Weiss was no doubt unhappy to later read, leading to his retaliation against SSA Shapley.

Saved - September 18, 2023 at 12:23 AM
reSee.it AI Summary
The congressional interview transcripts reveal important context obscured in the story. SSA Shapley's protected disclosures and concerns were shared throughout the investigation. Despite obstacles, the IRS and Delaware USAO supported charges against Hunter Biden. The decision-making process involved various officials, including US Attorney Weiss and President Biden's appointees. Questions of conflict of interest and interference were raised. The investigation's handling and potential retaliation will be further explored. Stay tuned for more details.

@tristanleavitt - Tristan Leavitt

🧵 I appreciate that @lukebroadwater drew from many transcripts for this story. But I think it obscures some important context from the congressional interview transcripts, which have been provided to us by press sources.

@tristanleavitt - Tristan Leavitt

SAC Waldon’s comment about “unsubstantiated allegations” appears to be broadly referring to SSA Shapley’s allegations that U.S. Attorney Weiss had an ax to grind against SSA Shapley after his protected disclosures in the 10/7 meeting saying the investigation had been mishandled.

@tristanleavitt - Tristan Leavitt

To go backwards in time, SSA Shapley made protected disclosures to his chain of command throughout the investigation into Hunter Biden. For instance, Mike Batdorf confirmed that Shapley disclosed his concerns when Batdorf became Director of Field Operations (DFO) in early 2021.

@tristanleavitt - Tristan Leavitt

But as SSA Shapley has testified, the IRS’s goal was simply to pursue the investigation like they would any investigation, so besides commiserating with his counterparts at the FBI (who also expressed concerns), he tried to keep moving forward with the U.S. attorney’s office.

@tristanleavitt - Tristan Leavitt

Despite having closing various investigative avenues (especially regarding President Biden), the Delaware USAO at least supported the charges the IRS recommended in its Special Agent Report: felonies for 2014, ’15, and ’18, and misdemeanors for 2015-19. So did IRS leadership.

@tristanleavitt - Tristan Leavitt

It’s important to understand that the first level at which decisions were out of U.S. Attorney Weiss’s hands was with the Tax Division at DOJ HQ, which never made a final decision on this case. As DFO Batdorf corroborated, DOJ Tax had to endorse the case for it to move forward.

@tristanleavitt - Tristan Leavitt

DOJ Tax and Delaware USAO had pushed for the IRS to finalize those recommendations for leverage in a March 16, 2022 taxpayer status conference with Hunter Biden’s attorneys to get them to sign a statute of limitations extension on the 2014/2015 charges for which venue was D.C.

@tristanleavitt - Tristan Leavitt

Hunter’s attorneys very likely went straight to the NYT, because two days after the meeting the NYT ran an article about obstacles to the case with the sympathetic headline: “Hunter Biden Paid Tax Bill, but Broad Federal Investigation Continues.” https://www.nytimes.com/2022/03/16/us/politics/hunter-biden-tax-bill-investigation.html

Hunter Biden Paid Tax Bill, but Broad Federal Investigation Continues (Published 2022) The Justice Department inquiry into the business dealings of the president’s son has remained active, with a grand jury seeking information about payments from around the world. nytimes.com

@tristanleavitt - Tristan Leavitt

(The NYT ran the story despite noting unironically, “Prosecutors generally fight to keep jurors from knowing whether defendants have paid their back tax bills…Such knowledge could influence jurors.” 2 months later the NY Post revealed who actually paid: https://nypost.com/2022/05/08/hollywood-lawyer-kevin-morris-paid-off-over-2m-of-hunter-bidens-taxes.)

Hollywood lawyer paid off over $2M of Hunter Biden’s delinquent taxes Kevin Morris, an entertainment attorney and novelist, paid off more than $2 million of Hunter Biden’s delinquent taxes, a source said. nypost.com

@tristanleavitt - Tristan Leavitt

With the public discussion prompted by the NYT article and ensuing coverage, WH spokesperson Kate Bedingfield was asked the President’s position on 3/31/22. She said Biden stood by his 2020 comment that nothing Hunter did was unethical or inappropriate. https://www.realclearpolitics.com/video/2022/03/31/whs_bedingfield_we_absolutely_stand_by_bidens_comment_that_hunter_biden_did_nothing_wrong.html

@tristanleavitt - Tristan Leavitt

Consider this context when IRS investigators were told by DOJ Tax attorney Mark Daly that when the case was presented to the (career) 1st Assistant U.S. Attorney in D.C., she was optimistic about the case and agreed to partner with Delaware, saying she’d assign an AUSA to assist.

@tristanleavitt - Tristan Leavitt

As a President Biden donor and political appointee, U.S. Attorney Matt Graves should have recused himself from the decision on whether to charge the President’s son, and not been the deciding official on whether DC would partner with Delaware on the case. https://www.fec.gov/data/receipts/individual-contributions/?contributor_name=Matthew+Graves&contributor_employer=DLA+Piper

Browse Individual contributions - FEC.gov Explore current and historic federal campaign finance data on the new fec.gov. Look at totals and trends, and see how candidates and committees raise and spend money. When you find what you need, export results and save custom links. fec.gov

@tristanleavitt - Tristan Leavitt

Yet despite that unmitigated conflict (and with the President’s view out there that his son did nothing wrong), U.S. Attorney was the deciding person on whether charges were brought in D.C.—and he shot it down, declining to partner and arguing against charging at all.

@tristanleavitt - Tristan Leavitt

On 4/3/22 WH Chief of Staff Ron Klain reaffirmed Biden’s view: “The president's confident that his son didn't break the law.” He also said, “Neither the president or any of us at the White House have had any contact with the Justice Department about that.” https://abcnews.go.com/amp/Politics/week-transcript-22-white-house-chief-staff-ron/story?id=83832024

'This Week' Transcript 4-3-22: White House Chief of Staff Ron Klain & Sen. Roy Blunt


White House Chief of Staff Ron Klain & Sen. Roy Blunt were on "This Week" Sunday, April 3. This is a rush transcript and may be updated.

abcnews.go.com

@tristanleavitt - Tristan Leavitt

After this turn of events, of course IRS investigators noticed when Senator Bill Hagerty questioned AG Garland on 4/26/22 and the AG said: “He [Weiss] is in charge of that investigation, and there will not be any interference of any political…kind.” https://youtu.be/Sd1HE1h1Paw?si=syGKTA6miNvjVtYz

@tristanleavitt - Tristan Leavitt

Hagerty responded: “Earlier this month, White House Chief of Staff, Ron Klain, stated on national television that quote, ‘the President is confident that his son didn’t break the law,’ and the White House Communications Director said that President Biden maintains his position that his son did nothing that was unethical. This is on national television. The President’s already told his subordinates, clearly—these are people that he can fire at will—that he and his family did nothing wrong. How can the American people be confident that his Administration is conducting a serious investigation?” Garland answered: “Because we put the investigation in the hands of a Trump appointee.” Hagerty closed: “Well, I think the observation here is terribly critical, because there’s an obvious conflict of interest here because, if those who are investigating the Biden family and their enterprise can be fired by the head of the family who’s being investigated—that is, Joe Biden can fire the Attorney General in Delaware [U.S. Attorney for the District of Delaware]—he can have an impact on all of your staffing.”

@tristanleavitt - Tristan Leavitt

Hagerty asked whether DOJ had considered appointing a special counsel. Garland deflected while noting that special counsels still answer to the AG (as, of course, do U.S. attorneys with statutory “special authority” authority, despite claims contra at https://www.msnbc.com/opinion/msnbc-opinion/hunter-biden-irs-whistleblower-controversy-fizzling-rcna93754).

Opinion | One possible explanation for the Hunter Biden "whistleblower" confusion IRS agent Gary Shapley and Republicans like James Comer and Jim Jordan claim the U.S. attorney in Delaware bungled the Hunter Biden investigation. Not likely. msnbc.com

@tristanleavitt - Tristan Leavitt

Waldon, the other IRS attendee at the 10/7/22 meeting, testified that unlike Shapley, he "hadn't seen Merrick Garland's testimony." Batdorf testified he wasn't fully aware of it either. And the FBI agents interviewed in the last week made no mention of the AG's testimony.

@tristanleavitt - Tristan Leavitt

AG Garland's hearing testimony was key to IRS investigators believing U.S. Attorney Weiss had a path forward despite U.S. Attorney Graves overriding career officials in D.C. and declining the case. https://t.co/gRNPGPO78l

@tristanleavitt - Tristan Leavitt

In the Central District of CA, Delaware prosecutors and DOJ Tax appeared to wait until President Biden's U.S. attorney nominee, Martin Estrada, was confirmed before presenting the case there in September 2022. And even then AUSA Wolf wanted to delay until after the election. https://t.co/tXIU5VKK8g

@tristanleavitt - Tristan Leavitt

Waiting until after Estrada was confirmed suggested that—once again—an appointee of the President would not be recusing himself from making a decision about the President’s son, the very sort of conflict Sen. Hagerty had pointed out and Garland had insisted wasn’t an issue.

@tristanleavitt - Tristan Leavitt

So in late September 2022 (well before the 10/6 Washington Post leak) a meeting was set between DE USAO, IRS, and FBI senior managers—i.e. excluding AUSA Wolf—for 10/7/22. The meeting was specifically scheduled around SSA Shapley’s international travel to ensure he could attend. https://t.co/U4lWtvARXn

@tristanleavitt - Tristan Leavitt

More to come tomorrow on the 10/7/22 meeting and what to make of the supposed "refutations" of SSA Shapley's account of that meeting... and then on how IRS supervisors inadvertently explained how SSA Shapley's removal from the case was an act of retaliation by U.S. Atty Weiss.

Saved - August 30, 2023 at 8:30 PM
reSee.it AI Summary
Hunter Biden's legal team handed over emails to the press, revealing alarming details about the handling of his case. Prosecutors were willing to let him off the hook, but the stories raise concerns. Hunter's attorneys worked behind the scenes to prevent charges. The case was presented to US Attorney Matt Graves, while Hunter's team met with prosecutors. DOJ Tax held the keys to pursuing charges. If approved, Weiss would have had full backing, but instead, discretion was granted. Delaware had to work through other Biden-appointed US attorneys, compromising independence. AUSA Wolf pulled punches and charging Hunter was discouraged. Partnerships with DC and CA fell through. Clark's letter leaned on politics and the threat of Joe Biden testifying. In-person meetings were requested, and Estrada declined charges. Clark's letter to Weiss sealed the deal, intimidating him. The timeline is wild, with pressure from Main DOJ and the removal of whistleblowers. Clark's letter cited Trump's impeachment to intimidate Weiss. The threat of Joe Biden testifying had an impact. The impending expiration of charges played a role. Hunters' team expressed willingness to extend the statute of limitations. Clark's letter ensured the charges would expire. The Politico article presented the letter in the context of a gun charge.

@tristanleavitt - Tristan Leavitt

🧵Having read the Politico and NYT stories that came out tonight thanks to Hunter Biden's legal team handing all their emails over to the press, I have several thoughts. /1

@tristanleavitt - Tristan Leavitt

First and foremost, it's shocking on its face that prosecutors were willing to let Hunter Biden off scot free. But piecing together the two stories with what we already know, they raise even more alarm bells about how this case was handled. /2

@tristanleavitt - Tristan Leavitt

First, almost as soon as the Delaware U.S. Attorney's Office endorsed the conclusions below in Feb. 2022 (three felony tax violations and misdemeanors for 2015-2019), Hunter Biden's attorneys were working the refs behind the scene to prevent charges being brought. /3

@tristanleavitt - Tristan Leavitt

The Politico article doesn't reference the fact that the case had been presented to U.S. Attorney for D.C. Matt Graves in Mar. 2022--or that the same day Hunter's team was meeting with prosecutors (April 26, 2022), Attorney General Merrick Garland was on Capitol Hill testifying before a Senate Appropriations Subcommittee that because the investigation is under USA Weiss, "There will not be interference of any political or improper kind." /4

@tristanleavitt - Tristan Leavitt

Hunter's attorneys were meeting with prosecutors from both Weiss's office *and* DOJ's Tax Division, because the Tax Division held the keys to whether Weiss's office would have freedom to pursue the charges or not. DOJ Tax could deny Weiss's ability to bring charges. /5

@tristanleavitt - Tristan Leavitt

If DOJ Tax had approved the charges, Weiss would have the full backing of Main DOJ (a situation AG Garland would later imply existed). Instead, DOJ Tax merely granted discretion, which is why Weiss's team had to go hat-in-hand to the relevant venues to ask them to partner. /6

@tristanleavitt - Tristan Leavitt

Presumably this awkward situation of not having DOJ Tax backing is why, around this timeframe, Weiss discussed with DOJ officials special charging authority. But being told "if it proved necessary" meant he had to "follow the process"--try to get other USAs to partner. /7

@tristanleavitt - Tristan Leavitt

But in addition to the conflict of Delaware having to work through other Biden-appointed U.S. attorneys (hardly the independence Garland implied), Hunter's team was working ALL the refs--and making everything about Hunter Biden's tax crimes a political issue re: Donald Trump. /8

@tristanleavitt - Tristan Leavitt

AUSA Lesley Wolf had already pulled punches in the 2018-2021 investigation, and now in 2022 she was more than sympathetic to the arguments from Hunter's legal team, who she met with regularly without investigators. Clark told her charging Hunter would be "career suicide." /9

@tristanleavitt - Tristan Leavitt

Prosecutors waited for Biden appointee Martin Estrada to be confirmed as U.S. Atty for the Central District of CA in September before presenting the 2016-2019 charges there. But early the next month Weiss told investigators DC wasn't partnering and CA might not either. /10

@tristanleavitt - Tristan Leavitt

But just 3 weeks after the 10/7/22 meeting, when SSA Shapley called out the preferential treatment for Hunter Biden, Clark's 10/31/22 letter leaned heavily on politics (Pres. Trump, Sen. Grassley) while using THE THREAT OF JOE BIDEN TESTIFYING *to undermine the case*. /11

@tristanleavitt - Tristan Leavitt

In case the letter to Weiss wasn't enough, Clark starts requesting in-person meetings. He gets one with Weiss in Jan. 2023, where the lawyer for the son of the most powerful man in the world tries to gaslight Weiss about where the true pressure to succumb was coming from. /12

@tristanleavitt - Tristan Leavitt

Did Clark also meet with U.S. Atty Martin Estrada in the Central District of California just to make sure he was on the same page or knew President Biden might testify in the case? We don't know, but Estrada declined charges that same month, in Jan. 2023. /13

@tristanleavitt - Tristan Leavitt

But back to Delaware--aside from the bullying from Hunter Biden's legal team, why would Weiss go to AG Garland for special charging authority after Estrada rejected partnering in the CDCA when he's now been told the President might testify to undermine any case he brought? /14

@tristanleavitt - Tristan Leavitt

At the same time AG Garland testified to Senator Grassley on March 1, 2023 about USA Weiss's independence and not having heard of problems in Delaware, Main Justice had been passing around Chris Clark's emails asking who he could appeal to over Weiss's head. /15

@tristanleavitt - Tristan Leavitt

But then on Apr. 19 we sent the IRS whistleblower letter to Congress, and my co-counsel Mark Lytle went on various news outlets to share the allegations of preferential treatment and unmitigated conflicts of interest. https://www.cbsnews.com/news/hunter-biden-investigation-irs-agent-requests-whistleblower-protections-congress /16

In Hunter Biden tax investigation, IRS agent requests whistleblower protections to talk about "political considerations" "My client wants to come forward to Congress," the lawyer for the potential whistleblower told CBS News. cbsnews.com

@tristanleavitt - Tristan Leavitt

Notwithstanding what AG Garland had assured the American people about Weiss's independence, THE VERY NEXT WEEK after our letter, ADAG Bradley Weinsheimer bigfoots Weiss by making him take another meeting with Chris Clark--this time with Main Justice adding their pressure. /17 https://t.co/iI7rd15WKB

@tristanleavitt - Tristan Leavitt

The rest of the timeline is just wild. Main DOJ tells Clark the "next steps" would come in Delaware. Four days later the IRS whistleblowers were removed. The same day the "familiar figure" of AUSA Wolf proposed the UBER-sweetheart deal with no charges or plea whatsoever. /18

@tristanleavitt - Tristan Leavitt

It cannot have been a coincidence that Chris Clark's letter to Weiss was on Oct. 31, 2022, the eve of the 2014-2015 tax charges expiring. It sounds from the Politico article that Clark cited the same things to Weiss he cited in his spring 2022 PowerPoint that *began* with Trump's impeachment. What better way to intimidate a very non-MAGA career official like Weiss than with the prospect that going to trial over the 2014 and 2015 years, presenting evidence on the Burisma and other foreign income, would inextricably tie you to an impeached former president on the VERY THING he was first impeached over--and that Joe Biden would put his finger on the scale by testifying to try and make you look like a conspiracy theorist in your case, which Clark said would "destroy the Justice Department’s reputation." To be clear, everyone I've talked to has pointed out that Joe Biden testifying wouldn't really help Hunter. But I think the threat of it in this context would have had an impact on Weiss. I also understand that: - Weiss had already previewed in the Oct. 7, 2022 meeting with IRS and FBI officials that he was likely to let the 2014-2015 tax charges against the President's son expire in Nov. 2022. Nevertheless, Clark's letter HAD to have sealed the deal. - Hunter's legal team had also expressed willingness to extend the statute of limitations tolling agreement (so as to avoid pushing prosecutors to make a decision to indict within the statute of limitations). Still, it's rather hard to believe a Washington Post article from three weeks earlier was the impetus for Clark's Halloween letter rather than to ensure the impending expiration of the 2014-2015 charges. - The Politico article presented Clark's letter in the context of the gun charge, and without seeing the letter it's hard to know for sure. /19

@tristanleavitt - Tristan Leavitt

https://t.co/tQPx6HiLKI

View Full Interactive Feed