reSee.it

Token #43596

Subscribe To The Free @reSeeIt Newsletter

reSee.it

Token #43596

Subscribe To The Free @reSeeIt Newsletter

reSee.it AI Summary
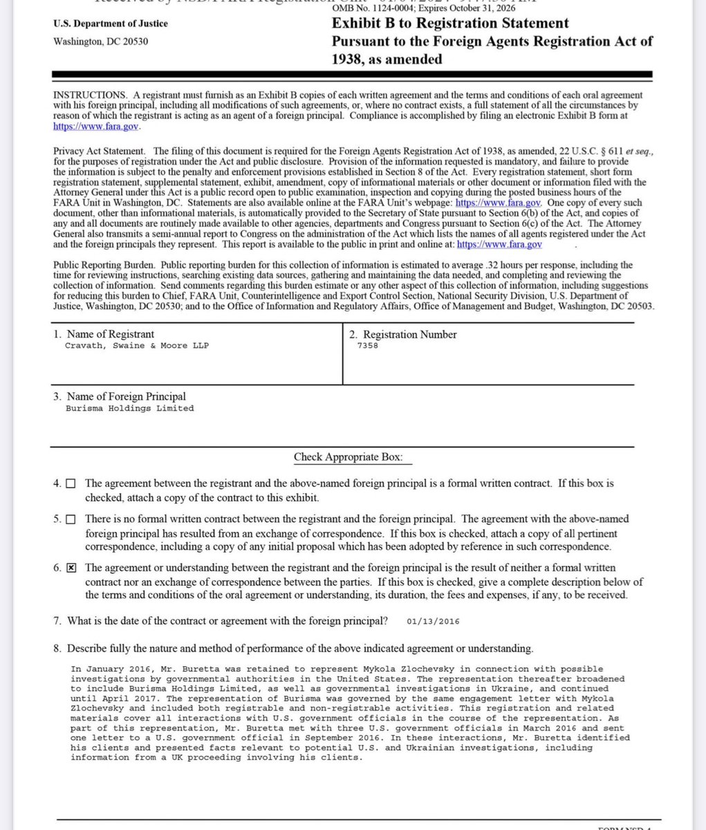
The law firm representing Burisma, the company that paid Hunter Biden, has registered as a Foreign Agent. This suggests a violation of FARA. The firm sought to avoid an investigation and had meetings with high-level officials, including Marie Yovanovitch. Will Hunter Biden face similar consequences as Rudy Giuliani?
𝕏 Post Text

@nataliegwinters - Natalie Winters

🚨🚨🚨 The criminal law firm representing Burisma, the Ukraine gas giant paying Hunter Biden millions, just registered as a Foreign Agent for its work in 2016. This proves once and for all Hunter Biden violated FARA. The firm was trying to prevent an investigation from the Obama admin and got meetings with high-level appointees including key anti-Trump impeachment witness Marie Yovanovitch. Hunter Biden was engaged in the same exact work. Will he get raided like Rudy Giuliani?