TruthArchive.ai - Tweets Saved By @GenXGirl1994

Saved - February 22, 2026 at 9:32 PM
reSee.it AI Summary
GenXGirl1994 claims Susie Wiles is being recruited for a “Tucker Carlson Banishment” campaign ahead of the 2026 election, calling it a likely poor move. @gouvergnar responds with multiple links and finishes by urging not to let that legacy escape.

@GenXGirl1994 - GenXGirl

Reporting shows Susie Wiles is being recruited to form a “Tucker Carlson Banishment” campaign. It would probably be the single dumbest thing to do going into the 2026 election but this 👇🏼 is Susie Wiles.

@GenXGirl1994 - GenXGirl

🚨WHO IS SUSIE WILES?🚨 If you’re alarmed by the swamp creatures getting appointed by Trump, take a closer look at a key decision maker of his administration, his Chief of Staff, Susie Wiles: ▫️Fanatical Christian Zionist ▫️Big Pharma ▫️Global Corporations ▫️Establishment Donors https://t.co/1ct909mVIa

@gouvergnar - GouverGNAR Morris

@GenXGirl1994 https://t.co/1jIIosQ0jf

@gouvergnar - GouverGNAR Morris

@GenXGirl1994 https://t.co/Arnvw55p2i

@gouvergnar - GouverGNAR Morris

@GenXGirl1994 https://t.co/bPIBXav4jw

@gouvergnar - GouverGNAR Morris

@GenXGirl1994 Do not let them escape their legacy https://t.co/ymUV4pkuue

Saved - February 18, 2026 at 10:04 AM

@GenXGirl1994 - GenXGirl

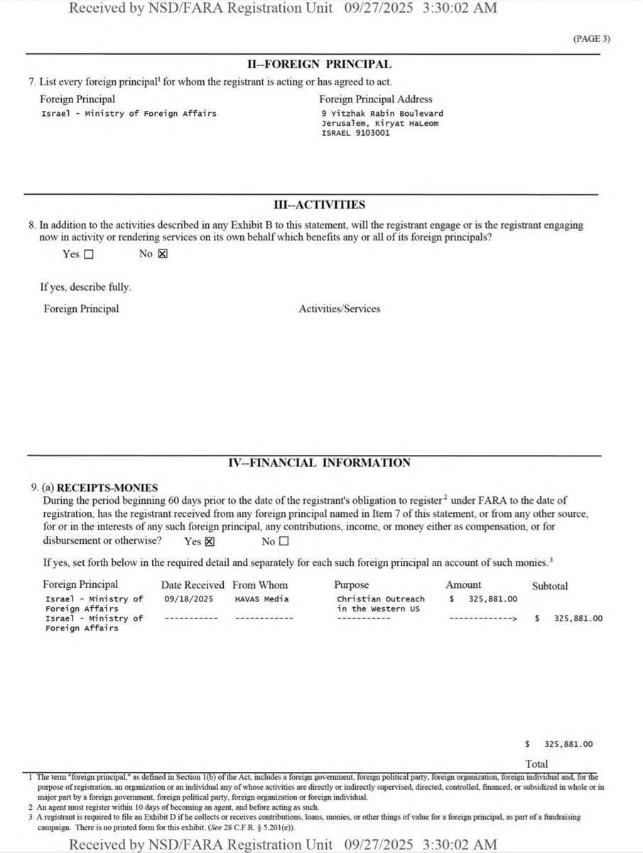
UPDATE: These FARA registered Israel agents are all affiliated with Salem Media Group (@SalemMediaGrp), self described as the largest conservative media network Brad Parscale: - Chief Strategy Officer, Salem Media Group - Former Trump campaign manager - Owner, Clock Tower X (Israel Agent) - FARA shows Clock Tower X will subcontract to Salem Media Group Uri Steinberg - Owner, Bridges Partners (Israel Agent) - Worked with Salem Media Group for 20 years Yair Levi - Owner, Bridges Partners (Israel Agent) - Featured guest at Salem Media Group events Chad Schnitger - Director, Show Faith By Work (Israel Agent) - Executive, Faith & Freedom Coalition of California, led by Ralph Reed - Ralph Reed is affiliated with Salem Media Group (note: Faith & Freedom Coalition locked their website where you need a password to access it and Chad Schnitger set his LinkedIn to private. I think these guys are feeling the pressure)

@GenXGirl1994 - GenXGirl

ISRAEL SPENT $56M OUT OF $190M BUDGET These are the FARA registered companies plus Google (who apparently doesn’t need to register) propagandizing America on behalf of Israel: - SKDK - Google - Clock Tower X - Bridges Partners (Israelis) - Show Faith by Works After SKDK was exposed in the news, they stated they were closing their contract and deregistering as Israel agents, however, those documents are still not filed with FARA. Regardless, there work was basically done since they were performing the initial planning and testing. Now, we’re in the implementation phase.

@GenXGirl1994 - GenXGirl

x.com/i/article/1974…

Saved - February 10, 2026 at 1:27 AM

@GenXGirl1994 - GenXGirl

Grateful for the folks at @RedactedNews for featuring the list of Israel targeted churches & the pastors who attended the 1000 Ambassadors for Israel summit. Pastor @jchasedavis provides great insight into what’s happening (This is a clip. Link to full segment in 2nd post) https://t.co/GQxYLQnxU3

Video Transcript AI Summary
The segment discusses a recent effort in which Israel hosted about 1,000 American Christian pastors who were invited to sign forms pledging to be ambassadors for Israel within their congregations, including receiving plaques and certificates. A crowdsourced list of these pastors, compiled by a popular X user known as Gen X Girl, shows a concentration in the American Southwest (California, Texas, Arizona, Nevada, Colorado) with denominations including evangelicals, Baptists, Methodists, and many nondenominational churches. The participants’ willingness to pledge allegiance to a world government is emphasized as a point of concern, with the claim that “their allegiance belongs to God and no foreign government.” Pastor Jay Chase Davis of The Well Church in Colorado (not on the list) comments that the event is “pretty wild” and offers two understandings. First, he suggests understanding Israel’s political instincts and the biblical reality of how Christians should think about nation-states, citizenship on earth, and citizenship in heaven. He notes that Americans naturally favor an “American first” attitude, but asserts that the political entities of Israel relate to America because America is the global superpower, and that evangelicals have been fed a “twisted” scriptural interpretation about Israel and God’s redemptive plan. He posits that Israel is courting evangelical support because evangelicals form a large voting block, and that these pastors are being brought over to become ambassadors who will defend Israel in various capacities. He asserts that some dispensationalist teachings have led to views that could imply salvation apart from Jesus, which he labels as heretical, and argues this makes evangelicals vulnerable to manipulation. Speaker 0 asks why Orthodox and Catholic pastors aren’t on the list and what doctrinal reasons would exclude participation, while Speaker 1 explains that the trip likely targeted a specific demographic (evangelicals) due to their historical theological training (often influenced by dispensationalism) and political leverage. He describes the goal as a tour with credentialing to defend Israel and align evangelical leaders with Israeli interests, noting susceptibility due to confusion about Israel’s modern political actions and salvation doctrines. Philip’s question raises concern about evangelizing Israelis during such visits, suggesting it would not be well received; Speaker 1 confirms mixed reception and expresses suspicion that the mission may be more about indoctrination and political outreach than evangelism. For viewers concerned about their church’s alignment, Speaker 1 advises asking questions, emailing pastors, and potentially seeking a different church if the church’s stance becomes incompatible with one’s beliefs. He recommends consulting historic confessions (e.g., Westminster Confession of Faith, London Baptist Confession 1689) and engaging with educational resources such as his podcast Full Proof Theology and his work with the Center for Baptist Leadership.
Full Transcript
Speaker 0: Who were the Christian pastors that went to Israel last week pledging to become ambassadors for Israel inside their own congregations? When it was announced last week that Israel hosted 1,000 American Christian pastors, there was an outcry, a demand in our chat on the segment we did last week. I saw it online on X everywhere. There was a demand for this list because people wanna know is the person giving your sermon this week, a foreign agent because Israel did ask them to sign forms saying that they would be an ambassador. They got plaques certificates saying that they are. They're saying now they want to target an extra 10,000 American Christian pastors. This is antithetical to scripture. The Bible is extremely clear that your allegiance belongs to God and no foreign government. Full stop. Well, here is a list that was published by and crowdsourced by popular x user Gen X Girl. When you go through it, you notice that a lot of them were from the American Southwest, California, Texas, Arizona, Nevada, Colorado. That's kind of interesting. The denominations were evangelicals, Baptists, Methodists, many nondenominational churches. So what can we make of this? How do we interpret these pastors who are saying, no. This is fine. I will pledge my allegiance to a world government. How does that happen? Joining me to discuss is pastor Jay Chase Davis. He's from the Well Church in Colorado. He was not on the list. Maybe your invitation got lost in the mail. I don't know. What do you think? Speaker 1: It might have got lost in the mail. It might be because we don't have thousands of people at our church. I'm not really sure. But, yeah, I looked over that list last night. Another pastor friend sent it to me. It's pretty wild, to see kind of this sponsored event for all these pastors. You know, I think one of the most helpful ways to understand it because a lot of the American evangelicals are confused on this topic is just to understand two things. One is the political kind of instincts of the nation state of Israel and why they would do this, and the second is the biblical reality of how Christians should think about nation states, their own nation, their own citizenship, and ultimately their citizenship in heaven. I think it's really important that we're grounded in scripture, grounded theologically, understanding how God's redemption is worth throughout time, and that we do have duties to fulfill here, for an America. Listen. In America, we are American citizens. We want the best for America. It's very natural to have an American first attitude. But the political entities of Israel are very much you know, they relate to America because America is kind of the big dog. We are the global superpower, and so they wanna party up to us. And for a lot of evangelicals, they've been kind of fed kind of a a strange contortion of scripture regarding how, the nation state of Israel and god's redemptive purposes and plans in the world play out today. Speaker 0: Maybe you can walk me through specifically why these sects of Christianity. Some of them, this is totally fine, and for some of them, is a no way Jose. For instance, we don't see Orthodox or Catholics on this list. Can you explain why that doctrine would preclude participation like this, but then maybe others would would go along with it. Speaker 1: Yeah. I think my first instinct is to say it was probably a trip designed for this population group. But thinking more like sociologically and religiously, American evangelicals for the last hundred and fifty years, a lot of the seminaries, Dallas Theological Seminary, Moody Moody Bible Institute, have kind of been caught up in a theological system called dispensationalism in which Israel and the Jewish people have a particular track of redemption, that that some, on their best, if already charitable, would say they'd want them to know Jesus because Jesus is the only way to salvation. But others might get into some, really icy and heretical waters where they would suggest that there's a way to salvation apart from Jesus Christ, which is just, you know, heretical, to put it bluntly. And so for for Israel, the way they're thinking of bringing over these pastors is they sense a lot of people in America asking questions about Israel. They sense a lot of, suspicion about Israel's activities politically and globally, especially in American politics, and so they're trying to curry favor. And one of the big population groups and voting blocks in America is evangelicals, and evangelicals have been taught kind of this weird twisting of scripture about how we are to relate to the Jewish people and how we relate to Israel. And so they're going to bring over, I guess, a thousand, it sounds like, pastors, evangelical pastors mainly because that's a large voting block. And in order to become ambassadors for Israel, they're gonna bring them over and give them kind of a tour, show them the sites, give them some education, and send them out with some kind of credentialing system, to defend, Israel in any and all capacities. And so they're they're doing it mainly for political instincts, they're they're doing it, and it's easy to get these pastors over there because for many evangelicals in America, they're deeply confused not only on the relationship between, the initiative of Israel today and Israel we see in the bible, but matters of salvation, that Jesus is the only way to be saved, that you must repent of your sins and be born a new creation in Jesus Christ by the power of God, and that is the only way to salvation. For the like I said, for the last hundred fifty years, they've been kind of fed a lot of theology that's that's very weak, that's not very sound historically if we look back at the church, and so it's easy to prey on these Christians for that reason. Speaker 0: Philip has a question. Speaker 2: Yeah. And it's it's funny because you just kind of almost like preempted my question. But so what I was what I was curious about is so you have these pastors going to Israel who are like mandated by the Bible to evangelize to others, to people who are non Christians. So how well would that go over in Israel if these pastors rather than just doing the the the political song and dance of of showing support for Israel, actually attempted to start evangelizing to Israelis? I don't think that would go over well at all. So it's like they they go over there with the full intention of not doing what it is they should be doing. Speaker 0: That's a funny way to put it. Speaker 1: That is a funny way to put it. And, yeah, I've been to Israel one time, and I think that, you know, when I was over there and we were sharing the gospel, it was received. I've heard reports where it wasn't received, you know, but that's the way gospel preaching goes. You'll preach the gospel to some people, and and God will save them, and to others, they won't. And so I don't necessarily know what these pastors were doing as far as I I would hope, you know, they're going over there, great. I have an opportunity to share the gospel with with, Jewish people. You know? That would be great. But like you, I'm a little bit suspicious, and and instead, I'm afraid it was a bit of an indoctrination thing. And like I said, you see this with Israel with, like, APAC and other organizations. They typically bring over congresspeople or anyone over in August, and they try to give them the tour and give them the spiel and give them money in order to to get online with Israeli interest as well to show them that we can be partners. And so there's Speaker 0: a So if you are a Christian and you see your church on this list, I guess you're really gonna have to pray about it to know if you're in the right parish. I guess what advice would you have for somebody who feels like, I'm not aligned with this. I don't wanna see this. I we're not saying just quit because we are not in charge of people's spiritual journey. But what what can we say to people like that? Speaker 1: Yeah. I think it's always fair to ask questions. It's always fair to send an email to a pastor. You really wanna show respect as much as you can in that email while also being honest with your own convictions. And the way I would just say is, like, hey. Like, I have different beliefs about these matters. Is this something that would bar me for membership in this church? And if so, then I'm gonna find a new church here which I can be a member of. But, you know, when you put on Christians, kinda extra biblical expectations, that now being a Christian means you have to support the nation state of Israel in everything in in anything and everything it does, well, that that would be, pretty unbiblical. And so you wanna come up you wanna come up with sources. You wanna come up with, like, a historic confession or creed. Look to the Westminster Confession of Faith, the London Baptist Confession 1689. Any of these historic Protestant Christian confessions that you can use not as ammunition, but to better understand. And if any Christian's asking those kind of questions, which are totally free to ask, you should just talk with your pastor, but also find other resources. You should be learning yourself. And so if you're in confusion about these matters, I run a podcast called Full Proof Theology. You can always check that out. I'm a contributing scholar at the Center for Baptist Leadership. We write on cultural matters, particularly in the American context for Baptist, but you can always go to find resources there. But Christians need to get educated on this stuff, and they they can just send an email to a pastor and say, hey. Where do you stand on this? Because it seems like you're an ambassador for Israel. I'm pretty uncomfortable with that, and so I'm gonna go find a church that I can fellowship with that's not gonna have a pastor that's an ambassador for Israel.

@GenXGirl1994 - GenXGirl

Link to List of Churches targeted by Israel for geofencing (per Show Faith by Works FARA docs) & pastors who attended the 1070 Ambassadors for Israel Summit (this is not a complete list) Give it a few seconds to load. To search for your church, use Control F or Command F (MAC) Thank you @lynne1171992 for helping me. https://docs.google.com/spreadsheets/d/e/2PACX-1vSMD_LWcGIbxjuppWJaqRV6WMlVC0FfR47zjqfj5b__ITyJ1qanJ8mBLueppxshXAg912wyVpgR6AYq/pubhtml#gid=0

Saved - February 4, 2026 at 9:15 PM
reSee.it AI Summary
I claim Palantir’s AI targets humans in America and abroad via contracts with the FBI, IRS, HHS, NATO, CIA/NSA/DOW, Israel’s government, and health insurers for coverage denial. NATO acquires Palantir AI to decide actions and timing; in Gaza, Lavender AI & Gospel AI were used to identify targets, yielding mass murder of families and false targets. I reference Peter Thiel & Epstein; GenXGirl1994, Fuentes, and others in related posts.

@GenXGirl1994 - GenXGirl

INSIDE PALANTIR’S KILL CHAIN How Palantir’s AI targets humans in America & abroad through contracts with: - FBI - IRS - HHS - NATO - CIA / NSA / DOW - Israel Government - Health Ins Companies for Coverage Denial https://t.co/oDSfhk9S70

Video Transcript AI Summary
The discussion centers on the kill chain concept and Palantir’s role within it. One speaker explains that the system you call the kill chain was created privately, while publicly lawyers frame it as something like “tech for the amelioration of unwanted blah blah blah.” The term kill chain sounds good to him, though not originally Palantir’s; it’s a general military sequence from identifying a target to taking a life. Palantir’s contract added their software and artificial intelligence to the kill chain, making it quicker, and, in his view, “better and more violent.” He notes that stepping back to examine the actual application of these technologies can be destabilizing. Another speaker discusses a personal trajectory: Juan didn’t leave Palantir entirely for ethical reasons, only taking another job, but his motivation to speak out against Palantir grew after observing the Israeli invasion of Gaza following the October 7 attacks. Palantir has contracts with the Israeli Defense Forces, with the exact nature intentionally opaque, yet evidence suggests Palantir’s AI tech was used for target selection in Gaza. The speaker Carp embraces controversy as part of marketing, stating Palantir is comfortable being unpopular. He adds that Palantir works with health insurance companies to build AI for denials management to protect revenue, raising the question of whether Palantir’s AI should decide what care is covered for individuals. A third speaker explains the technical approach: they use what legal scholars call predicate-based search to identify indicators of potential bad behavior in a person’s life. In essence, Palantir makes software that helps customers collect and analyze data and then act on the analysis. By 2013, a decade after founding, Palantir’s client list included the FBI, the CIA, the NSA, the Marines, the Air Force, Special Operations Command, and more. Palantir already had contracts with the IRS to analyze taxpayer data to guide auditors to easier audits, handling financial information for many. They also had multiple contracts with the Department of Health and Human Services, whose core responsibility is Medicare and Medicaid, controlling millions of Americans’ health records and access to health care. A final speaker warns that as we increasingly live in a simulated world, we move toward governance by algorithm, governed by those influencing these AI systems to advance profit- or control-seeking objectives.
Full Transcript
Speaker 0: Created the system which you call kill chain. Privately. Publicly, the lawyers have some innocuous So something like tech for the amelioration of unwanted blah blah blah. For me, it's the kill chain. Kill chain sounds good. Kill chain isn't an original term created by Palantir. It's the more general military verbiage for the series of decisions leading from identifying a target to taking their life. Palantir's contract added their software and artificial intelligence to the kill chain. It's quicker Speaker 1: and better and safer and more violent. It reduces the distance you have to the problem, but when you're able to take a step back and really see the actual application of these technologies, your whole world starts falling apart, which is something that, you know, definitely happened to me. Speaker 0: Juan didn't leave Palantir entirely for ethical reasons. He just got another job. But the reason he eventually started speaking out against Palantir came after watching the Israeli invasion of Gaza following the October seventh attacks. Palantir has contracts with the Israeli Defense Forces. The exact nature of the contracts is opaque intentionally, but there is evidence to suggest that Palantir's artificial intelligence tech was used for selecting targets in Gaza. Carp doesn't mind the controversy. In fact, it's part of the marketing. We are very comfortable being unpopular. Palantir works with health insurance companies to build AI for denials management to protect revenue. Do you want Palantir's AI making decisions about what care is covered for you and your loved ones? Speaker 2: What we do is we use what legal scholars call predicate based search so we would look at you and then we would go out and say oh there's lots of different things Speaker 0: in your life that may be indicative of someone being someone involved in bad behavior. Put simpler, they make software that makes it easier for their customers to collect and analyze data and then act on that analysis. By 2013, ten years after their founding, Palantir's client list included the FBI, the CIA, the NSA, the marines, the Air Force, Special Operations Command, and more. Palantir already has contracts with the IRS going through taxpayer data to save auditors time by finding the easiest audits to pursue. That's all of your financial information. And they have multiple contracts with the Department of Health and Human Services. HHS's core responsibility is Medicare and Medicaid. That's control over millions of Americans' health records and their access to health care. Speaker 1: As we kind of increasingly live in a simulated world, we move closer towards governance by algorithm. But more importantly, subject to decisions made by the people who are influencing these AI systems in order to fill an agenda for whatever their profit seeking or control seeking objectives are.

@GenXGirl1994 - GenXGirl

https://t.co/Z8LT8oTO0N

@GenXGirl1994 - GenXGirl

NATO ACQUIRES PALANTIR AI Palantir’s AI takes data & provides action: what to do, when to do it, & what happens if u don’t In Gaza, Israel used Lavender AI & Gospel AI to “identify targets” under ops “Where’s Daddy”. It resulted in mass murder of whole families & false targets https://t.co/Q3nF15yxj0

Video Transcript AI Summary
Speaker 0 describes a 2021 claim by the commander of Israeli intelligence to design a machine to resolve a human bottleneck in locating and approving targets in war. A recent investigation by Plus 972 Magazine and Local Call reveals that the Israeli army developed an AI-based Lavender system to designate targets and direct airstrikes. During the initial weeks of the Lavender operation, the system designated about 37,000 Palestinians as targets and directed airstrikes on their homes. The system reportedly had an error rate of about 10%, and there was no requirement to verify the machine’s data. The Israeli army systematically attacked targeted individuals at night in their homes while their whole family was present. An automated component, known as “where’s daddy,” tracked targeted individuals and carried out bombings when they entered their family residences. The result, according to the report, was that thousands of women and children were killed by Israeli airstrikes. Israeli intelligence officers allegedly stated that the IDF bombed homes as a first option, and in several cases entire families were murdered when the actual target was not inside. In one instance, four buildings were destroyed along with everyone inside because a single target was in one of them. For targets marked as low level by Lavender, cheaper bombs were used, destroying entire buildings and killing mostly civilians and entire families. It was alleged that the IDF did not want to waste expensive bombs on “unimportant people,” and it was decided that for every low-level Hamas operative Lavender marked, it was permissible to kill up to 15 or 20 civilians; for a senior Hamas official, more than 100 civilians could be killed. Most AI targets were never tracked before the war. Lavender analyzed information collected on the 2,300,000 residents of the Gaza Strip through mass surveillance, assessing the likelihood of each person being a militant and giving a rating from 1 to 100. If the rating was high enough, the person and their entire family were killed. Lavender flagged individuals with patterns similar to Hamas, including police, civil defense, relatives, and residents with similar names or nicknames. The report notes that this kind of tracking system has existed in the US for years. Speaker 1 presents a counterpoint: a “fine gentleman of the secret service” claims to provide a list of every threat made about the president since February 3 and profiles of every threat maker, implying that targets could be identified through broad data collection including emails, chats, SMS. The passage suggests a tool akin to a Google search but including private communications. Speaker 0 adds that although some claim Israel controls the US, Joe Biden says Israel serves US interests. Speaker 2: A speaker asserts, “There’s no apology to be made. None. It is the best $3,000,000,000 investment we make,” and claims that without Israel the United States would have to invent an Israel to protect its regional interests. Speaker 0 closes reporting for Infowars, credited to Greg Reese.
Full Transcript
Speaker 0: In 2021, the commander of Israeli intelligence published a book on designing a special machine that would resolve what he described as a human bottleneck for locating and approving targets in war. A recent investigation by Plus nine seven two magazine and Local Call reveals that the Israeli army has developed an artificial intelligence based Lavender part the system part discipline. During the first weeks of the Lavender war, the lavender system designated about 37,000 Palestinians as targets and directed airstrikes on their homes. Despite knowing that the system makes errors about 10% of the there was no requirement to check the machine's data. The Israeli army systematically attacked the targeted individuals at night in their homes while their whole family was present. An automated system known as where's daddy was used to track the targeted individuals and carry out bombings when they entered their family's residences. The obvious result was that thousands of women and children were wiped out by Israeli airstrikes. According to these Israeli intelligence officers, the IDF bombed them in homes as a first option. And on several occasions, entire families were murdered when the actual target was not inside. In one instance, four buildings were destroyed along with everyone inside because a single target was in one of them. When it came to targets marked as low level by the AI lavender system, cheaper bombs were used, which destroyed entire buildings, killing mostly civilians and entire families. This was done because the IDF did not want to waste expensive bombs on who they deemed as unimportant people. It was decided that for every low level Hamas operative that Lavender marked, it was permissible to kill up to 15 or 20 civilians. And if the target was a senior Hamas official, more than a 100 civilians was acceptable. Most of these AI targets were never tracked before the war. The Lavender software analyzed information collected on the 2,300,000 residents of the Gaza Strip through a system of mass surveillance, assessed the likelihood of each person being a militant, and gave a rating from one to a 100. If the rating was high enough, then they were killed along with their entire family. Lavender flagged individuals who had patterns similar to Hamas, including police, civil defense, relatives, and residents who had similar names and nicknames. This sort of tracking system has existed in The US for years. Speaker 1: What I will be providing you in the fine gentlemen of the secret service is a list of every threat made about the president since February 3 and a profile of every threat maker. And these are, like, existing targets? Exhibit a. Oakland resident Justin Pinsky posted on a message board. Romania has a storied history of executing their leaders. Couldn't they do us a solid and take out Bush? How is this all possible? Keyword selectors. Attack, take out Bush. So think of it think of it as a Google search, except instead of searching only what people make public, we're also looking at everything they don't. So emails, chats, SMS, whatever. Yeah. But which people? The whole kingdom is not white. Speaker 0: And while many people claim that Israel controls The US, Joe Biden said that Israel serves US interests. Speaker 2: There's no apology to be made. None. It is the best $3,000,000,000 investment we make. Were there not in Israel, The United States Of America would have to invent an Israel to protect her interest in the region. The United States would have to go out and invent an Israel. Speaker 0: Reporting for Infowars, this is Greg Reese.

@StockSavvyShay - Shay Boloor

SO WHAT DOES $PLTR ACTUALLY DO? I get this question all the time -- and honestly, it makes sense. But that’s not because it lacks a story. It’s because the story doesn’t fit into the usual enterprise software narrative. Most software companies build tools that make business

@GenXGirl1994 - GenXGirl

https://t.co/jVKqYi4XyS

@Elvathelion - Elva the Lion ⚡︎

👇 https://t.co/LyRYBkjSD0

@GenXGirl1994 - GenXGirl

INSIDE PALANTIR’S KILL CHAIN How Palantir’s AI targets humans in America & abroad through contracts with: - FBI - IRS - HHS - NATO - CIA / NSA / DOW - Israel Government - Health Ins Companies for Coverage Denial

@GenXGirl1994 - GenXGirl

Peter Thiel & Epstein.

@AydinNose - Jen Aydin’s Nose

@GenXGirl1994 He told us exactly who he worked for https://t.co/9CfPcuMPsk

@GenXGirl1994 - GenXGirl

@hippyresident That’s Fuentes’ file. 😂 he’s one of them now.

@GenXGirl1994 - GenXGirl

@curious10665 💯

@GenXGirl1994 - GenXGirl

@fludLightzon @zoomn I’m there already.

Saved - February 1, 2026 at 7:51 AM
reSee.it AI Summary
A discussion about The Mega Group and its alleged web of ties among powerful figures: Roy Cohn, Ronald Lauder, Donald Trump, Les Wexner, Steven Spielberg, Charles Bronfman, Epstein, Maxwell, and associates. Claims link Saudi, Israeli, and Mossad connections, Clinton-Trump politics, and figures like Adnan Khashoggi. The thread traces Iran-Contra links, Arkansas connections (Mena, S&L scandal, Southern Air Transport), and broader influence across business and politics.

@hippyresident - 𝕻𝖆𝖓𝖓𝖘𝖙𝖎𝖌𝖆𝖙𝖔𝖗

What is The Mega Group? Roy Cohn Ronald S. Lauder Donald Trump Clinton Epstein Roy Cohn, jewish lawyer and friend of Donald Trump and father Fred Trump Roy Cohn is lawyer and friend of Ronald Lauder, helped Jeffrey Epstein get a passport to Saudi Arabia, close friend of Netanyahu of Israel, associate of the @Likud_Party (Israel) with ties to Trump associate and political advisor George Nader (convicted pedophile), He also helped privatize The World Trade Center for Larry Silverstein just before September 11th Ronald Lauder’s Estée Lauder Companies was a donor to MIT: Media Labs along with Jeffrey Epstein Mega Group aka “Jewish Billionaire Mafia” with Israel espionage ties involving Clinton, Trump and other politicians and high profile Americans. Members include: Les Wexner, Michael Steinhardt (Trump / Israel ties), Steven Spielberg, Ronald S. Lauder, Charles Bronfman (Robert Maxwell business partner/ Mossad ties) Mega Group associates include: Ghislaine Maxwell, Epstein, Roy Cohn, Mark Rich (Mossad ties/ Rothschild friend/ Pardoned by Clinton), Alan Greenberg of Bear Sterns who hired Epstein, Sheldon Adelson Vegas billionaire and financial supported or several Trump businesses and political donations, Republican Jewish Coalition (major Trump donor) and more

@2Stoned2GoHome - Blunts4Jesus_

Take a look behind the curtain… https://t.co/Effp1g1ers

@GenXGirl1994 - GenXGirl

@hippyresident Yup! The Lauders are still very active. For the past 2 years, they’ve been targeting the pro-Palestine movement. They also donated to the sexual harasser, Andrew Cuomo in the NYC Mayor primary.

@GenXGirl1994 - GenXGirl

William Lauder donated $250K to Andrew Cuomo Jack Zinterhofer (William Lauder’s cousin who works for their family business Estée Lauder) also donated $250K Both are related to Ronald Lauder, President of the World Jewish Congress, a pro-Israel lobby group. (brother to William Lauder & cousin to Zinterhofer) The Lauder family not only has deep ties to Israel, the Israel lobby, attacks on Israel critics, and direct lines of communication with the Trump Administration, Ronald Lauder also has ties to Jeffrey Epstein and Israeli intelligence. https://nymag.com/intelligencer/article/nyc-mayor-race-who-are-andrew-cuomos-donors.html https://www.politico.com/news/2023/10/22/pro-israel-lobbying-00122895

@GenXGirl1994 - GenXGirl

🔹Ronald Lauder - Heir to the Estée Lauder fortune is an associate of Jeffrey Epstein & his financier Lex Wexner. In 2019, a 3-part expose reported Lauder’s association with the Mega Group, Israeli Mossad, Epstein and the mysterious Austrian passport Lauder issued to Epstein.

@hippyresident - 𝕻𝖆𝖓𝖓𝖘𝖙𝖎𝖌𝖆𝖙𝖔𝖗

@GenXGirl1994 When you dig into his Saudi ties you start to see a big picture. Bin Salman and Jared Kushner play a big role.

@Partisangirl - Syrian Girl

A passport with a Saudi address was found in Epstein's apartment https://t.co/B3SqsQ9b2B

@GenXGirl1994 - GenXGirl

@hippyresident 💯💯💯 Adnan Khashoggi was associated with Epstein through Robert Maxwell. Khashoggi was a run runner in Iran Contra between Israel and Iran. The Khashoggis were very close to the Saudi Royal family.

@hippyresident - 𝕻𝖆𝖓𝖓𝖘𝖙𝖎𝖌𝖆𝖙𝖔𝖗

@GenXGirl1994 He founded “The Safari Club” which became The BCCI scandal which led to the formation of “The Mega Group” The beginning… People should really watch this❗️

@hippyresident - 𝕻𝖆𝖓𝖓𝖘𝖙𝖎𝖌𝖆𝖙𝖔𝖗

@Prolotario1 It became a global operation. https://t.co/6X7kaq1Bc1

Video Transcript AI Summary
The transcript discusses insights from a video about Epstein Adnan Khashoggi, Safari Club, and a Fake Passport, and their relation to the Camp David Accords and the 1979 Egypt–Israel peace framework. The author notes that the Egyptian telecommunications project was proposed by Adnan Khashoggi as a “gift” or favor in relation to Sadat agreeing to the Camp David frameworks. The author argues that the two participants received gifts beyond this—namely, Sadat and Israeli prime minister Menachem Begin received the Nobel Peace Prize, suggesting it was a political bargaining chip to bring them to the negotiation table. Background on Begin is provided: Begin was a disciple of Vladimir Ziev Jabotinsky and joined the Ergun, an underground Zionist terrorist organization, ultimately leading it in 1944 to press Britain to remove troops from Palestine, with the King David Hotel bombing cited as a historic example. The author contends Begin was a terrorist-turned-leader, challenging peaceful-imagery narratives. A key source cited is The Weapon Wizards, describing a February 1979 covert Israeli delegation to China, with high-level participants traveling in secrecy because the trip could provoke US anger. The book questions whether Americans were furious, and whether “Americans” refers to the general public or the Carter administration, noting the narrative in the book that this was done without US knowledge and controlled by Israelis. The author then presents a counterpoint: there is Zionist influence in the United States, suggesting little risk to US–Israel relations over Israel’s relationship with China. A 1997 New York Post piece by Yuri Dam is cited, reporting that Israeli Prime Minister Begin received US approval for a $10,000,000,000, ten-year deal to modernize the Chinese armed forces, described as one of the most important in Israeli history, with China insisting on secrecy. The Times article from 3/15/1979 is cited stating Carter planned $4,000,000,000 in economic and military assistance to Egypt and Israel over three years, with allocation not yet decided. The article reiterates the Safari Club objective to secure Camp David Accord acceptance by both sides and connects this to the Saudi Arabia and Reagan doctrine, suggesting the aim was to bring Israel and Egypt into a pro-US axis with regional partners. The Safari Club Charter reportedly planned an operation center in Cairo by 9/1/1976. Additional connections are drawn: Khashoggi’s associates, including Israeli arms dealers Yaakov Nimrodhi and David Kimchi, a Korean Mossad officer, and Iranian middleman Gobanifer, as well as their roles as Israeli agents and intermediaries in arms deals and the airlift of Ethiopian Jews. The piece notes Diane and Ezer (Diane and Eze) Weisman’s involvement, with Weisman as Israeli defense minister managing Israel’s sales to China and later partnering in Elube Technologies. The author also points to Zayara International, a travel firm founded by Nimrodi and Khashoggi to attract Islamic tourists to Jerusalem, and mentions the Talpiot program founded in 1979, suggesting it may have been established to facilitate high-technology transfer as part of the Camp David negotiations. The piece closes by urging viewers to like, subscribe, and share.
Full Transcript
Speaker 0: The recently uploaded video in which I presented a summary of research I conducted named Epstein Adnan Khashoggi, Safari Club, and Fake Passport. As a result of that research, some things crossed my mind in regards to the Camp David Accords agreed frameworks in the Egypt Israel peace treaty of 1979. Now if you haven't watched the video, I recommend that you do. This is a lot of great information within it. Well, as mentioned in that video, I highlighted the Egyptian telecommunications project that was first proposed by Adnan Khashoggi as being a quote unquote gift or favor in relation to the Egyptian president Anwar Sadat agreeing to the two frameworks known as the Camp David Accords. That wasn't the only, quote, unquote, gift of the two participants coming to the table. For one, both Anwar Sadat and Israeli prime minister Manachin Begin received the Nobel Peace Prize. I suggest that this was likely proposed ahead of the meeting that there was a strong possibility they'd received the prize before the peace meetings were arranged as a political bargaining chip to get Sadat and Bergen to the negotiating table. Table. I just wanna give a bit of background here on Manachin Begin. Manachin Begin was a disciple of Vladimir Ziev Jabotinsky, the founder of a nationalist revisionist Zionist movement and its better youth wing. Begin joined the Ergun, an underground Zionist terrorist organization that had split from the main Jewish military organization, the Haginar, in 1931. Begin assumed the Ergun's leadership in 1944, determined to force a British government to remove its troops entirely from Palestine, and we all know how that went. Remember the King David Hotel bombing? So essentially, he was a terrorist that became the head of the terrorist organization. So it's ludicrous for anyone who is aware of the history to think that Begin was a man of peace. So getting back to the article, I used a quote from a book, The Weapon Wizards, How Israel Became a High-tech Military Superpower. Quote, a delegation of high ranking Israelis secretly traveled under the cover of darkness to meet with a Chinese delegation in February 1979. Until that winter day, Israeli defense officials had never been to China. The two countries did not have diplomatic ties, and nobody on the Israeli side except for the members of the delegation, the prime minister, the defense minister, and a handful of others knew about the trip. If word got out, Israel knew that the Americans would be furious. So then I posed the question, were Americans furious? Are they furious today? Who exactly are they talking about when they say Americans? I assume they're referring to the general public. Maybe they are just referring to the Carter administration. Anyway, regardless of perception being pushed by the authors of the book is that this was all done without the knowledge of The US and that it was the Israelis that were behind the discretion. Anyway, I found information that I bring up later in the article that challenges this narrative. Continuing now with the article, quote, these risks that the Zionists have historically taken seem insane on the surface. That is, if you believe the narratives that you have been sold to you by the establishment. On the other hand, if you are aware of the Zionist influence in The United States, then you understand that there is no real risk to the relationship between The US and Israel when it comes to Israel's relationship to China. This has become glaringly obvious, unquote. And with that being said, I knew something was up with the 1979 China Israel situation, and then I found this, quote, Yuri Dam writing in the New York Post on 03/30/1997, reported back in 1979, then Israeli prime minister, Menachem Bergen, got US approval for authorizing Shoah Eisenberg to undertake a $10,000,000,000 ten year deal to modernize the Chinese armed forces. Dan described this deal as one of the most important in Israeli history and that the Chinese insisted on absolute secrecy. So, bam, there you have it. It was approved by The US, presumably by the Carter administration, and China were the ones insisted on their secrecy, likely due to avoid upsetting allies who were enemies of Israel. And I think the timing here says a lot. I certainly don't think I'll be speaking out of turn to relate this approval being granted as a favor from Manachin Bergen for signing the Camp David Accords and as a favor for assisting with US foreign policy. So I thought that was pretty damn big. So this is from the 03/15/1979 New York Times. This is the fallout from the signing of the Egypt Israel peace treaty. The headline reads, Carter is said to put new USA for Israel and Egypt at $4,000,000,000. President Carter, in a meeting with members of congress today, reportedly said the $4,000,000,000 in economic and military assistance will go to Egypt and Israel over the next three years. According to participants in the meeting, The United States has not yet decided how to divide this total between the two countries. So this also seems like to be the original big aid package for Israel, taking into consideration the size and the timing and the fact that Egypt are a part of the aid package, it has to be related to the Camp David Accords. As previously mentioned in the Epstein and Nankashoggi Safari Club and fake passport video, it was an objective of the Safari Club to get the Camp David Accords agreed to by both sides. And now knowing of further details of this Saudi Arabia and Reagan doctrine article that I read and uploaded a video recently, we can gather that the motivation was to get both Israel and Egypt on board with being a part of this pro US axis so that there were a group of Middle Eastern countries allied with The United States. Again, Egypt's on board was such a key objective. The original Safari Club Charter established that an operation center would be built by the first of September nineteen seventy six in Cairo, Egypt. Another few tidbits from the Saudi Arabia and Reagan doctrine article that caught my attention in regards to the China Israel developments in 1979 is this part of the article mentioning the Israeli involvement in Iran Contra. Quote, Khashoggi's partners, including Israeli arms dealers, Yaakov Nimrodhi and Al Schwimmer, Korean Mossad officer David Kimchi, and Iranian middleman, Gobanifer, were all Israeli agents. Khashoggi himself was a close friend of Kimchi, a longtime political confidant of Israeli leaders as a Wiseman and Shimon Peres, and a go between for Israel in the airlift of Falasha Jews from Ethiopia. Interestingly, Israeli businessman, Yaakov Nimrodhi and Saudi billionaire, Adnan Khashoggi, joined forces to launch a travel firm called Zayara International with the aim of encouraging Islamic pilgrimage in an effort to attract Islamic tourists to Jerusalem. Now if we take a look at David Kimchi, it seems like he is one conduit of information from the Israeli side to Keshoggi, I e, he's a part of the safari club. In 1977, David Kimchi was assistant to Massach chief Yitzhak Hofei. David Kimchi accompanied Moshi Dayam to a meeting with Tuhami in Morocco on the 09/16/1977. Dayam offered to withdraw from the Sinai, paving the way for president Answers Sedat's visit to Jerusalem two months later. This was a key moment to paving the way to the Camp David Accords. Another note worth mentioning is that Diane and Eze Weisman were related. Their wives were sisters. Now this is from my article. Quote, according to the authors of weapon wizards, senior representatives from the Israeli foreign and defense ministries were also part of the nineteen seventy nine Israeli delegation to China. The Israeli defense minister at the time was Eze Weisman, nephew of Israel's first president, Chaim Weisman. Prime minister Manachin Bergen referred questions regarding to China's shopping list to defense minister Eze Weisman who he ordered to personally approve what Israeli companies could or could not sell, giving Wiseman absolute authority under weapon sales to China. Wiseman would go on to be a partner in Elube Technologies, a major middleman for the export and import of arms. So he basically became an arms dealer. Diane was the Israeli foreign minister at the time of the Israeli and Chinese delegations meeting in February 1979, which means he was most likely part of the delegation to China. So we are starting to see a lot of connections between these events. And another point I'd like to make in regards to all of this is that the Talpiot program was founded in, you guessed it, 1979. So maybe the Talpiot program was set up as part of this negotiation with Bergen to sign the Camp David Accord and part of the quote unquote gifts or favors to Israel or some kind of agreement that The United States would assist with Israel acquiring high technology. Essentially, the Talpiot program would be a vessel that would facilitate that technology and military edge over the years. So a lot of docs have been connected here, and thank you for watching. And don't forget to like, subscribe to the channel, and share the video.

@GenXGirl1994 - GenXGirl

@hippyresident You know what I find interesting? Most of these ties before, during and after Iran Contra also run through Arkansas.

@hippyresident - 𝕻𝖆𝖓𝖓𝖘𝖙𝖎𝖌𝖆𝖙𝖔𝖗

@GenXGirl1994 Well, that’s where all the airports were.

@TheSCIF - The SCIF

THE CLINTONS, CONTRAS, GUNS, DRUGS, THE CIA and the inevitable cover-up of the Mena, Arkansas airstrip. A major international cocaine smuggling ring operating out of the Mena, Arkansas airport which also smuggled weaponry for the CIA to Nicaraguan Contras. This entire investigation went nowhere and people lost their lives in order to expose this operation which is allegedly still operational in some areas of the country today. The Clintons and the individuals involved were so confident at times that they literally would move product off of the aircraft in broad daylight, right out in the open. They had everyone in their pockets, from judges, to local and the state police, and above. They knew they would get away with it because they were the government. Cathy O'Brien breaks down her experience with the Clintons during this time, moving cocaine and other information for the CIA and was also being used for Mk Ultra mind control experiments. During some of these experiences she goes on to explain that she was used as a sex slave for both Bill and Hillary Clinton, but more for Hillary and mentioning that they were both allegedly bisexual. What if I told you this operation is tied to other presidents and goes much higher than the U.S. government and also allegedly has ties to human trafficking rings? Would you honestly be surprised? This is how powerful and just another story of how deep the Clintons reign of power goes and how big this global cabal really is. Now it's time they're ALL held accountable.

Video Transcript AI Summary
The transcript portrays Mena, Arkansas as a central hub for large-scale drug trafficking in the 1980s, organized under the approval of governor Bill Clinton. It states that Barry Seal set up one of the United States’ largest smuggling operations in Mena, with Medellin, Cali, Bogota, Colombia as the drug cartels’ international network. U.S. customs estimated that at least 75% of all drug-smuggling aircraft passed through Mena for various reasons, making it a sanctuary for prominent importers of illegal drugs during the early to mid-1980s. A former operator claims Barry Seal attempted to establish drug operations in Louisiana but faced political obstacles, turning to Arkansas due to what is described as a “sleazy governor hooked on cocaine.” The narrative asserts that Seal carried out a first trial run by delivering an enormous quantity of cocaine to a remote airport in Ouachita National Forest, identified as Mena Airport, and that he delivered a personal stash of cocaine and a packet of information from J. Bennett Johnston to Bill Clinton, who allegedly cut two lines of cocaine and inhaled. The speaker further claims sexual experiences with Bill Clinton, describing Clinton as bisexual leaning toward the homosexual end, and asserts Hillary Clinton was involved in “sex programming” and accessed it to fulfill perversions. The speaker also alleges more extensive interactions with Hillary Clinton. The accounts claim that there was $100,000,000 in cocaine moving through Arkansas monthly, creating challenges in laundering such sums in a small state. The testimony describes money accounts accumulating and then showing zero balance at month’s end, implying money laundering connected to the drug trade. In addition to Mena, other parts of Arkansas allegedly served as drop points for money and cocaine. A separate account claims special cargo doors were installed inside planes without FAA permission to drop cocaine in flight through open doors in midair. Clinton is described as having integrated corrupt cops, judges, and politicians into high-level positions to sustain the smuggling and money laundering operations. A former participant says that in fifteen years, he did not encounter corruption comparable to what he found after the Mena investigation. The narrative states that the trafficking, money laundering, and murders involved an unholy alliance among organized crime, high-ranking U.S. political figures, and Colombian drug kingpins, with rumors of CIA conspiracy and links to Nicaraguan contras masked by broader political narratives. The rise of Clinton to the presidency allegedly provided national attention to activities in Arkansas, yet nine state and federal investigations into Mena had been shut down, and a tenth investigation was anticipated but claimed unlikely to reach significant conclusions. When asked in 1994 whether he had knowledge of Mena’s operations, Clinton reportedly answered, “No. They didn’t tell me anything about it,” asserting the issue was federal, not state, jurisdiction. The transcript ends by questioning why, if drug-smuggling persists at Mena, Clinton would have allowed it after becoming president.
Full Transcript
Speaker 0: In 1982, cocaine trafficker Barry Seal set up one of the largest drug smuggling operations in The United States in Mena, Arkansas under the approving eye of governor Bill Clinton. Speaker 1: Medellin, Calais, Bogota, Columbia, the nucleus of the most powerful drug cartels in the Western Hemisphere. 2,000 miles away, hidden in the mountains of Western Arkansas's Ouachita National Forest, lies a transshipment point for these cartels. US customs has estimated that at least 75% of all drug smuggling aircraft have passed through the Mena, Arkansas airport for one reason or another. During the early to mid nineteen eighties, Mina served as a sanctuary for Adler, Berum and Seal, one of the biggest, if not the most famous of all importers of illegal drugs into this country. Speaker 2: Barry Seal was a a drug smoker. And he tried to set it up in his home state of Louisiana, but they wouldn't let him. He had to come to a state that had a sleazy governor hooked on cocaine. Speaker 3: To carry out my first trial run operation, An enormous quantity of cocaine had been flown in on one of these operations, and that was to deliver it into the neighboring state of Arkansas. By that time, Bill Clinton's drug operation was in full swing. He was Governor of Arkansas, and I delivered this cocaine to a remote airport in Ouachita Forest, which I've since identified as MENA Airport. I also delivered a little packet of information and a small quantity of cocaine, a personal stash from J. Bennett Johnston to Bill Clinton. I delivered it to Bill Clinton and he cut out two lines of the coke and he did inhale. That certainly wasn't the only time I saw Bill Clinton using cocaine. My sexual experience with Bill Clinton was extremely limited in spite of the fact that I was a sex slave. It was my experience that Bill Clinton is bisexual, leaning far more towards a homosexual end. All I've ever seen him involved in was a homosexual activity, with very limited experience with him myself. Whereas my experience was much more, prevalent with Hillary Clinton because Hillary is also, bisexual leaning more towards a homosexual end, and it was she who accessed my sex programming to fulfill her perversions. Speaker 2: There were a 100,000,000 a month in cocaine coming in and out of me in Arkansas. They had a problem. They were doing so much money in cocaine, 100,000,000. You you create a problem in a little state like Arkansas. How do you clean $100,000,000 a month? For about two months, I watched accounts accumulate money. At the end of month, they're zero balance. They're laundering drug money. Speaker 0: In addition to the operations at MENA, small clearings in other parts of the state were used as drop points for money and cocaine. Speaker 4: They had special cargo doors installed inside without FAA permission so that these doors could be opened in flight. They'd pull in and slide back and cocaine could be dropped out of side in flight. Speaker 2: I snuck around and crawled through the bushes thinking that I'd really have to hide to see them unloading the dope. Didn't have to. And you go walk right up to the airport and they unloaded it right in front of They didn't care. Speaker 0: Clinton had integrated a number of corrupt cops, judges, and politicians into high level positions to ensure the continued success of the drug smuggling and money laundering operations. Speaker 4: For fifteen years, I did not encounter anything like the corruption which I encountered after the Mina investigation. Speaker 2: And all of this drug run, all of the trafficking of drugs, sending them all over the nation, came out of Little Mina, Arkansas, right under the nose of little governor Billy Clinton. Bill Clinton controlled the legal system. He controlled the judges. He controlled the attorneys. He controlled the banks. Speaker 5: It's just a small state, a one party state. What tends to happen in small states like that, I think, is the longer the person remains governor, that I think the greater the abuses are. Speaker 1: The Mina story is a tale of drugs, guns, money laundering, murder involving an unholy alliance between organized crime, high ranking US political figures, and the drug kingpins of Colombia. Throughout the years, rumors of a CIA conspiracy and links to a Nicaraguan contra resupply effort have masked the real players behind this horrific operation. Bill Clinton's election to the presidency of The United States proved to be the catalyst which unwittingly allowed the illegal activities inside his home state to receive national attention. Yet justice in Arkansas has been excruciatingly slow in coming. Many honest law enforcement officials have simply been kept from doing their jobs. In fact, to date, nine separate state and federal investigations into the drug smuggling money laundering activities at MENA have been shut down. In the 1995, the United States House Banking Committee chaired by representative Jim Leach of Iowa launched investigation number 10 into Mena. Insiders believe the investigation will not be allowed to reach any significant conclusions. At a press conference on 10/07/1994, the president was asked if he had any knowledge of Mina's drug smuggling money laundering operations. Speaker 6: No. They didn't tell me anything about it. They didn't say anything to me about it. The airport in question and all the events in question were the subject of state and federal inquiries. It was primarily a matter for federal jurisdiction. The state really had next to nothing to do with it. The local prosecutor did conduct an investigation based on what was within the jurisdiction of state law. The rest of it was under jurisdiction of The United States attorneys who were appointed successively by previous administrations. We had nothing, zero, to do with it, and everybody who's ever looked into it knows that. Speaker 1: As governor, Clinton had repeatedly stated that MENA was a federal problem. And as a result, his hands were tied. Although untrue, Clinton managed to shift the blame away from himself. However, with his election to the presidency, Clinton no longer had any excuse. The question must be asked, if drug smuggling activities at Mina are continuing today, as the evidence suggests, why has Clinton allowed it?

@GenXGirl1994 - GenXGirl

🎯🎯🎯 But it goes deeper then that. Savings & Loan scandal in Arkansas & the money laundering around the time of the S&L collapse. Bill Clinton getting groomed for President while greasing the way for Reagan/Bush’s Iran Contra via all the things that happened at Mena, the fleet of airplanes from Southern Air Transport that were used by the CIA to gun run to Nicaragua & Iran which were later bought by Lex Wexner in 1995 who used them to create an international logistics route for LBrand that was boosted as revolutionary (but rumored that it was also used for nefarious activities) during the time when Clinton becomes president and sets in motion the total infiltration of Israel & its operatives in our government (which started with Reagan). There are other details that I can’t recall but a lot happened in the nowhere places in Arkansas.

Saved - February 1, 2026 at 7:51 AM
reSee.it AI Summary
I’m noting claims that Ronald Lauder, president of the World Jewish Congress, issued Epstein a fake Austrian passport in 2019 under the name Marius Robert Fortelni, and that he’s a Mega Group member who urged criminalizing anti-Israel speech. The DOJ released Epstein files, and posts link Lauder to Epstein, Mossad, and ideological clashes with Israel criticism. Replies invite reading the linked article.

@GenXGirl1994 - GenXGirl

CONNECT THE DOTS In 2019, Whitney Webb reported US Ambassador to Austria, Ronald Lauder, issued a fake Austrian passport for Epstein Last night, DOJ released an Austrian passport containing Epstein’s photo but issued under the name “Marius Robert Fortelni” Lauder is the Pres of the World Jewish Congress & a member of the Pro-Israel Jewish Billionaire Mega Group who recently said anti-Israel speech should be criminalized & all anti-Israel candidates should be crushed

@GenXGirl1994 - GenXGirl

🔹Ronald Lauder - Heir to the Estée Lauder fortune is an associate of Jeffrey Epstein & his financier Lex Wexner. In 2019, a 3-part expose reported Lauder’s association with the Mega Group, Israeli Mossad, Epstein and the mysterious Austrian passport Lauder issued to Epstein. https://t.co/ZsXjuXQKZE

@GenXGirl1994 - GenXGirl

Source: https://mintpressnews.cn/mega-group-maxwells-mossad-spy-story-jeffrey-epstein-scandal/261172/

@GMA - Good Morning America

The Justice Department released thousands more Jeffrey Epstein files overnight, the most substantial document release so far. @jayobtv reported. https://t.co/8Pkvev92V7

Video Transcript AI Summary
Thousands of Jeffrey Epstein documents were released by the Department of Justice overnight, including emails never seen before, in the largest dump to date. The new material includes investigative documents and an email from the day after Epstein’s arrest in 2019, in which an unidentified person at the New York FBI field office asks for an update on the status of 10 coconspirators. A July DOJ memo states there was not enough evidence to prosecute any uncharged third parties, with Ghislain Maxwell identified as the only person charged as an Epstein coconspirator. Other emails show prosecutors repeatedly pressing to interview former Prince Andrew, who provided a written statement but never sat down with investigators. Another email, from a federal prosecutor in Maxwell’s 2020 case, notes flight records reflecting that Donald Trump traveled on Epstein’s private jet many more times than previously reported or known, including during the period prosecutors expected to charge in a Maxwell case. It is noted that Trump and Epstein had a decades-long friendship but had a falling out in the early 2000s after Epstein allegedly stole Már-a Lago employees. Also included are photos of an Austrian passport bearing Epstein’s picture but with the alias Marius Fortellmi. The release comes as the DOJ faces pressure from bipartisan lawmakers and Epstein survivors after missing a legal deadline to release all Epstein files last Friday. President Trump commented yesterday on dozens of photos released in prior document dumps, including at least one featuring Trump himself and several featuring former president Bill Clinton. Both Trump and Clinton have denied knowledge of Epstein’s crimes. Clinton issued a statement accusing the DOJ of using selective releases of Epstein documents to imply wrongdoing where there isn’t, challenging the department to immediately release any remaining materials mentioning or showing Bill Clinton in these files. What has been released thus far represents only a fraction of the hundreds of thousands of Epstein files the DOJ possesses, with promises to publish more in the coming days and weeks.
Full Transcript
Speaker 0: Morning with thousands of new Jeffrey Epstein documents dropped in the middle of the night by the justice department, many of them emails that have never been seen before. Overnight under pressure, the Department of Justice releasing thousands more Jeffrey Epstein files, the most substantial dump of documents so far, including never before seen investigative materials. In this email from the day after Epstein was arrested on charges of sex trafficking minors in 2019, an unidentified person at the New York FBI field office already in pursuit of potential collaborators writing, when you get a chance, can you give me an update on the status of the 10 coconspirators? In a July memo, the DOJ stating flatly there was not enough evidence to warrant prosecuting any uncharged third parties. Ghislain Maxwell is the only person to ever be charged as an Epstein coconspirator. Other emails show prosecutors pressing repeatedly to interview former prince Andrew who sent a written statement and never sat down with investigators. Then this email mentioning president Trump from a federal prosecutor in Maxwell's 2020 case writing obtained flight records reflect that Donald Trump traveled on Epstein's private jet many more times than previously has been reported or that we were aware, including during the period we would expect to charge in a Maxwell case. Trump and Epstein had a decades long friendship but a falling out in the early two thousands after Trump says Epstein stole Mar a Lago employees. Also in the thousands of documents, photos of an Austrian passport with Epstein's picture, but bearing the alias Marius Fortellmi. The reams of newly released records coming as the DOJ is facing heat from bipartisan lawmakers and Epstein survivors after the department missed last Friday's legal deadline to release all of its Epstein files. President Trump yesterday asked about the dozens of photos released in previous document dumps, including at least one featuring Trump himself and several of former president Bill Clinton. Both have denied knowledge of Epstein's crimes. Speaker 1: A lot of people are very angry that pictures are being released of other people that really had nothing to do with Epstein, but they're in a picture with him because he was at a party, and you ruin the reputation of somebody. So a lot of people are, very angry that this continues. Speaker 0: In a statement yesterday, a Clinton spokesperson accusing the DOJ of using, quote, selective releases of Epstein documents to imply wrongdoing where there isn't and challenging the department to immediately release any remaining materials mentioning or showing Bill Clinton in these files. Now what's been released so far only represents a fraction of the hundreds of thousands of Epstein files that the DOJ has. They've promised to put out more in the coming days and weeks, Janae.

@GenXGirl1994 - GenXGirl

Ronald Lauder is the Pres of the World Jewish Congress & a member of the Pro-Israel Jewish Billionaire Mega Group who recently said anti-Israel speech should be criminalized & all anti-Israel candidates should be crushed.

@GenXGirl1994 - GenXGirl

WJC President & Zionist Billionaire Ron Lauder congratulates Elise Stefanik & John Fetterman for representing Israel in Congress Ron Lauder: -long-time associate of Jeffrey Epstein -attacked universities to censor Israel criticism -family funded the sexual harasser Andrew Cuomo https://t.co/gWaDn0wlHv

Video Transcript AI Summary
A speaker calls for all world leaders to take charge: words and political speeches are not enough. Laws must be passed—severe, tough, real laws—that will put hate mongers away in prison for a long time.
Full Transcript
Speaker 0: All world leaders, all politicians must lead in this effort. Words are not enough. Political speeches are not enough. Laws must be passed, severe, tough, real laws that will put these hate mongers away in prison for a long time.

@lauder_ronald - Ronald S. Lauder

Sen. John Fetterman and Congresswoman Elise Stefanik have defied the mob by standing unapologetically and unequivocally in defense of the State of Israel and the Jewish people. When others were silent — or worse, when some in Congress sided with terror groups murdering Jewish

@GenXGirl1994 - GenXGirl

https://t.co/n8h6OmrCiF

@GenXGirl1994 - GenXGirl

What do Pro-Israel Zionist Billionaires, Universities and Jeffrey Epstein Have in Common? Expand to read the🧵 https://t.co/sJ5TqB3FUU

@GenXGirl1994 - GenXGirl

@gamgyul118346 That’s interesting. Thanks.

@GenXGirl1994 - GenXGirl

@MondoMondaine Read the article. Link in 2nd post.

@GenXGirl1994 - GenXGirl

@oldrumpty 😂

@GenXGirl1994 - GenXGirl

@HandalaFreedom 😂 https://t.co/6AeP8ich3Y

@GenXGirl1994 - GenXGirl

@danny_pewds Idk.

Saved - February 1, 2026 at 7:49 AM

@GenXGirl1994 - GenXGirl

REMINDER: Yesterday, Donald Trump nominated the son-in-law of Epstein associate Ronald Lauder as Fed Reserve Chair Ronald Lauder is: - President, World Jewish Congress - Member, Epstein affiliated Mega Group - Issued fake Austrian Passport to Epstein - Israel Lobby Agent https://t.co/j5eI3iHeWU

@GenXGirl1994 - GenXGirl

CONNECT THE DOTS In 2019, Whitney Webb reported US Ambassador to Austria, Ronald Lauder, issued a fake Austrian passport for Epstein Last night, DOJ released an Austrian passport containing Epstein’s photo but issued under the name “Marius Robert Fortelni” Lauder is the Pres of the World Jewish Congress & a member of the Pro-Israel Jewish Billionaire Mega Group who recently said anti-Israel speech should be criminalized & all anti-Israel candidates should be crushed

@GenXGirl1994 - GenXGirl

🔹Ronald Lauder - Heir to the Estée Lauder fortune is an associate of Jeffrey Epstein & his financier Lex Wexner. In 2019, a 3-part expose reported Lauder’s association with the Mega Group, Israeli Mossad, Epstein and the mysterious Austrian passport Lauder issued to Epstein.

Saved - January 24, 2026 at 12:04 PM
reSee.it AI Summary
Discussion alleges a dark history of Christian Zionism, naming Darby, Scofield, Untermeyer, and Frowde as key figures linked to Zionism, publishing, and influence on U.S. policy and churches. A reply clarifies the term’s 19th-century origin and 1930s popularization to counter anti-Semitism. The original poster counters, calling it the most successful propaganda campaign of modern times.

@GenXGirl1994 - GenXGirl

THE DARK HISTORY OF CHRISTIAN ZIONISM - John Nelson Darby: Heretic, created Exclusive Brethren, Zionist (00:54) - Cyrus Scofield: Criminal, fraudster, converted to Christianity after escaping arrest warrants, author of the Scofield Bible (04:49) - Samual Untermeyer: Sponsor of Scofield’s Bible, Jewish lawyer to Rothchild, convinced Woodrow Wilson to enter WWI, wrote bill that created Federal Reserve (09:49) - Henry Frowde: Oxford Press publisher, zealot Zionist, Exclusive Brethren, published Scofield Bible, sent millions of free copies to American churches, Bible salesmen etc infiltrating whole denominations (12:21)

Video Transcript AI Summary
The discussion argues that the true Christian faith centered on Jesus Christ has been replaced by a fake faith centered on Israel’s land, a deception said to have progressed through religious media over decades. The speakers trace the origin of the rapture doctrine and the idolizing of the state of Israel to the Plymouth Brethren in Great Britain, led by John Nelson Darby, who was described as a disgruntled Anglican cleric pushed out of the Anglican Communion. The Exclusive Brethren, a super-radical subgroup within the movement, were said to have produced dispensationalism—the idea that God deals with humanity in distinct dispensations. This view, they claim, held that Christ would reign for a thousand years after his return (pre-millennial), would come before the tribulation (pre-tribulation), and would establish a Jewish kingdom in Israel seven years later. The speakers coin the term “Dipsyism” (D for dispensationalism, P for pre-millennial/pre-tribulation, Z for Zionism) to describe this framework, arguing it exists to promote Zionism and the establishment of Israel. Charles Spurgeon, a Reformed Baptist pastor in Britain, is described as a critic of the Plymouth Brethren, warning Christians in London to stay away from them as heretical. The conversation asserts that the Brethren’s doctrines later spread through American Protestant churches and became widely accepted, influencing denominations such as Baptists, Pentecostals, Assemblies of God, and others. The role of Cyrus Scofield is central to the narrative. The speakers recount that Scofield, described as not a doctor despite the title “Doctor Scofield,” was a Confederate Army participant who allegedly embellished his Civil War record. They allege he deserted the army, received safe passage to St. Louis, helped a Jewish lawyer named John Ingalls become a U.S. Senator from Kansas, and was appointed U.S. District Attorney for Kansas at age 29, a position he allegedly held under a cloud of scandal including bribery, land transfers, and forged bank-note withdrawals. After abandoning his wife and children in Kansas, Scofield later became a pastor in Dallas, Texas, marrying a woman from his church while concealing his previous marriage. In the early 1900s, Scofield is said to have joined the Lotus Club of New York City, sponsored by Samuel Untermyer, a Jewish lawyer described as an agent for the Rothschilds who supported Zionist liberation and helped influence Woodrow Wilson to enter World War I. Untermyer is also claimed to have written the Senate bill that established the U.S. Federal Reserve banking system and to have become the first lawyer for the IRS. The narrative claims Untermyer arranged Scofield’s trip to London, where he met Oxford Publishing executives and returned with a contract to publish John Nelson Darby’s Zionist Notes in a Christian Bible—the Schofield Bible—thereby introducing Zionist propaganda into American churches through Darby’s notes. The conversation asserts that Oxford distributed Schofield Bibles widely for free, which led to their adoption in rural American churches and among denominations, shaping the doctrine in North America. It cites Moody Bible Institute, Dallas Theological Seminary, and others as heirs to Scofield’s influence. Finally, the speakers challenge Dallas Theological Seminary, Moody Bible Institute, and rapture advocates to name where Cyrus Scofield earned a Doctor of Divinity degree, insisting no such institution exists and accusing Scofield of being avowedly dishonest. They name Arlo Graebelin as a rabid Zionist Christian pastor allegedly connected to Scofield’s editing and assert that Scofield was not a real medical doctor or theologian, accusing the present institutions of perpetuating the lie.
Full Transcript
Speaker 0: Sadly, millions of Americans don't even realize that the true Christian faith centered on Jesus Christ has been swapped out for a fake faith centered on Israel's land. Now, didn't happen overnight. The deception has been underway for decades. The growth of religious television, radio, and publishing, however, greatly advanced the propaganda. How did we get to this place in 2018 where millions of people who go to church don't know the core tenets of the Christian faith? Who hoodwinked them into believing another gospel? Doc Burkhardt and I are going to discuss the origin of the rapture doctrine and the blasphemous idolizing of the state of Israel as a god. You have to go back to the eighteen thirties. Speaker 1: Yes. John Nelson Darby, yes. Speaker 0: In Great Britain there was a sect called the Plymouth Brethren, and they were a very radical sect. John Nelson Darby was a, I guess you would describe him as a disgruntled Anglican cleric. Speaker 1: He actually was pushed out of the Anglican Speaker 0: Yeah, pushed out of the Anglican Communion. He became the leader of the Plymouth Brethren, and they believed, and this is why it's so dangerous, the Plymouth Brethren, and they're still around today, but not much of an organization of a denomination, but their doctrine took over the Protestant churches of America. But they believed that God gave them revelation knowledge about the last days that the Lord had not given any other people in, at that time, eighteen hundred years of inside the Plymouth Brethren, there was a super radical sect, alright, called the Exclusive Brethren. Okay. Alright? And so they were even more privileged than the regular Brethren. Speaker 1: At first I've heard of that. Speaker 0: Yeah. John Nelson Darby was the founder of the Exclusive Brethren. Speaker 1: Okay. Speaker 0: Alright? He had even more knowledge than the rest of them. And so they came up with this, over time, came up with this doctrine of dispensationalism, that God was dealing with humanity in dispensations. Nobody had ever taught this nonsense. Right. They dreamed this stuff up, and they began to teach it. And do you know who their biggest critic was in Great Britain at No. That Who? It was a pastor named Charles Spurgeon. Speaker 1: Oh, just somewhere in the middle pastor. Speaker 0: Yeah, yeah, the Reformed Baptist pastor. Now, how would you like to get called down from the pulpit of Charles Spurgeon? But Charles Spurgeon was denouncing the Plymouth Brethren as a dangerous, radical sect, and he was warning the Christians of London, stay away from them. They're teaching heresies. Speaker 1: Right. Speaker 0: And now their heresies are the accepted teaching of the Protestant churches in America. The brethren, under John Nelson Darby, they concocted what I I've coined the name Dipsyism. D P P Z. Dipsyism. The D is for dispensationalism, and then pre millennial. Speaker 1: Right. Speaker 0: Meaning, Christ is going to reign for a thousand years after he returns to earth. Right. And then, pre tribulation. Speaker 1: He comes back before the tribulation period begins. Speaker 0: Yes. Secretly the Gentile church. Right. And then he comes seven years later again to establish this Jewish kingdom in Israel. So, you've got D for dipsyism, D for dispensational, pre millennial, pre tribulation, and the Z is Zionism. Because it's all built around Zionism. There is no purpose for this doctrine without the propaganda for a Zionist state. It was created for the establishment of Israel. This is the only reason for this doctrine. This way back in the eighteen hundred's. Speaker 1: So you had two tracts kind of building. You had something building in the church at that time through the Plymouth Brethren and this new dispensational idea that was coming about. But within Jewry around the world, within the Jewish faith, there was a different path building up. And that was a goal of a restoration of the State Of Israel at some point. These two were on the same track. Speaker 0: The two came together. And that's what we're going to talk about here today. So when did it come together? It came together, in the early nineteen hundreds because Don Nelson Darby's crazy doctrines went nowhere. They stayed in Great Britain among the Plymouth Brethren all through the eighteen hundreds. And there were only pockets of people in The United States who even knew about it, that that gave it any kind of respect. But then there was Cyrus Schofield. And Schofield became the propaganda meister for John Nelson Darby's doctrine. But before we get into the doctrine, I want to talk about who Cyrus Scofield was because this is going to blow away people. If you have a Scofield reference bible, you need to know the author of that Reference Bible because he's not the person you think he is. He's not Doctor. Scofield. Never was a doctor. He never was a doctor. Alright? Never ever. I'm gonna go down a list of some things about Cyrus Scofield. Okay? So, first, he embellished his Civil War record. He was in the Confederate Army, the seventh Tennessee Infantry. He totally embellished his his record. And if you if you just go on the Internet, you can find a very detailed investigation by a Tennessee professor who did a lot of research into Scofield's true military record. Speaker 1: And that was a contemporary of his age too. Yes. That that wrote that up. Speaker 0: So Who wrote exactly what Scofield did, but then compared it to what he said about his record. He embellished it. He he he made up stuff. He he made people believe he was a hero. He was a hero in Antietam. I mean, all kinds of stuff. And and Scofield just made things up. But this was this was typical of his life. After deserting the Confederate army, he was given safe passage to St. Louis, Missouri. Right. And, in 1873, he helped a Jewish lawyer named John Ingalls become The U. S. Senator from the state of Kansas. And, well I should say Senator Ingalls appointed Schofield as The U. S. District Attorney for Kansas. Right. Okay. Schofield was 29 years old. Speaker 1: Nice position for 29. Speaker 0: He had never went to law school. Right. Okay. Became U. S. District attorney for the state of, or you know, for Kansas at age 29. He didn't last one year in that office. He was forced to resign. Listen to me folks, Cyrus Schofield was forced to resign as U. S. District Attorney of Kansas under a cloud of scandal, including bribery. Speaker 1: Yes, and land transfers and he had some very questionable Speaker 0: He bezzled money out of people. There were warrants for his arrest. Some people believe he served some time in jail for forgery. He was forging names to bank notes, to get loans. The guy was involved in all kinds of shady deals, okay? This is Cyrus Schofield. So where does he go from there? He escaped, but he was always like two steps ahead of the law. Speaker 1: Right. Speaker 0: The law was looking for him, but he managed to stay ahead of the sheriff. Well, he ended up, well at that time he was married. He was married to a woman, he had two children, and then he abandoned his wife and children. And he ends up in Dallas, Texas and becomes the pastor of the First Congregational Church of Dallas. Now, he marries a woman from the church, but he doesn't tell the church that he abandoned his wife and back in Kansas. Now, never gave them a dime in support, totally abandoned them. And yet he's a pastor of a church in Dallas, okay? And he doesn't tell the congregation. You know, he didn't put that on his resume. He didn't tell the, you know, the pastoral selection committee, oh by the way, I've got another wife and kids back there in Kansas and I've this new wife here and he just kept it quiet, okay? So '18, let's see what was it, 1883 his wife filed for divorce, okay? And filed on charges of abandonment. Speaker 1: Right. Speaker 0: All right? So this is the record of Cyrus Schofield. Well then, you know, let's fast forward early nineteen hundreds. Now he's a pastor of a small church, I think in Boston, Massachusetts, okay? He's making like a thousand dollars a year salary. Still going nowhere, I mean, in terms of finances and things like that. Alright. He's just he's just a small church pastor. Right. He gets invited to become a member of the Lotus Club of New York City. Speaker 1: Now what's the Lotus Club? Speaker 0: Well, the Lotus Club is one of the most prestigious gentlemen's club of New York City. We're talking about people's sponsors like Andrew Carnegie. Right. Okay. The elite of the elite were members of the Lotus Club and it's still around today. Where did he get the money? Where did he get the money to pay the membership dues? The membership dues were more than his salary. Speaker 1: Right. Speaker 0: Alright? Why would he be invited? This nobody pastor, why would he be invited to come to New York City and join the Lotus Club? Well, who sponsored him? The man who sponsored Cyrus Schofield was a Jewish lawyer named Samuel Untermeyer. Now, Samuel Untermeyer was an agent for the Rothschild banking dynasty. Speaker 1: Alright, so he's the one that's financing this up to this point. Speaker 0: Well, he's inviting Cyrus Schofield to join the Lotus Club. Why? Would a lawyer, Samuel Untermyer, an agent for the Rothschilds, what interest would he have in Cyrus Schofield, an unknown, undistinguished pastor of a small church in Massachusetts who's got a police record and a shady past for being a swindler. Why would this Jewish lawyer want anything to do with Cyrus Schofield? Let's learn a little bit more about who Mr. Untenmeyer was. He was a zealous advocate for the Zionist liberation movement that was in full swing at that time. Speaker 1: So they were in the process of trying to come up with ways to reestablish the nation of Israel. Speaker 0: That's Speaker 1: right. Not on a religious basis. No. No. This is strictly this is a goal that we have to Speaker 0: To get the land back. Right. Okay. Mister Untermyer played a big role in the election of Woodrow Wilson. Speaker 1: Okay. Speaker 0: And a very influential role in convincing President Wilson to take The USA into World War I. Speaker 1: Now was Mr. Untermyer a really good Christian guy? Speaker 0: No. He was a Zionist Jewish lawyer. Speaker 1: So why is a Zionist Jewish lawyer interested in some small town preacher in Boston? Isn't that Speaker 0: the million dollar question here? There's one other piece of information you need to know about Mr. Untermar. He is remember I told you, he was an agent for the Rothschilds. He wrote the Senate law. He wrote the Senate bill that became law that established the U. S. Federal Reserve banking systems. Speaker 1: So this is the guy that we have to blame for the Federal Reserve Yes. Speaker 0: He also became the, I guess, the first lawyer for the IRS. Speaker 1: Already I'm not like anyone, so. Okay. Speaker 0: So, you've got a Zionist leader, a Rothschild agent And definitely a New World Order person with his, yes. Who led The U. S. In World War I, who was manipulating Woodrow Wilson, who wrote the Senate bill for the Federal Reserve Act, and now he becomes friends with Cyrus Schofield and says, I want you to join the Lotus Club. But what happens then? Well, Cyrus Schofield suddenly gets sponsored to go to London and he has a meeting with the head people, the top executives of Oxford Publishing. Speaker 1: Right. And that was the premier publishing company in the world at that time. Speaker 0: You better believe it. And you just couldn't get a meeting in London with Oxford Publishing. Speaker 1: But he could. Speaker 0: Yeah. He got him there and he got him over to London to meet with the Oxford Publishing executives. And so, Schofield comes back with a contract, a publishing contract, to publish John Nelson Darby's Zionist Notes in a Christian Bible. Speaker 1: God, did this work? Speaker 0: It's called propaganda. Folks, the Zionist Jews infiltrated the Christian church in the early nineteen hundreds through Cyrus Schofield. He was their little puppet. They introduced Zionist propaganda into the churches by publishing Darby's notes in a Bible, so they defiled the holy Bible, they defiled it. They corrupted the bible by publishing notes that were promoting Zionism. And so then somebody financed the publication of a vast number of Schofield Bibles and suddenly these things were being mailed out to churches all over America. Speaker 1: I remember stories that my great aunt used to tell me of a Bible salesman back in the 20s and 30s. And so I did a little research on that. Do you know the Bibles that they were selling? They were selling Schofield Bibles. And so these Bibles were getting distributed all over rural America, small town churches. Speaker 0: Millions. All Speaker 1: over. And the Bible salesman would get the Bibles for free. Then they would sell them for whatever amount they could get out of it. Speaker 0: Well, would they get them for free? Speaker 1: The company that was publishing them obviously wanted to get their Bibles out there. Well, was Oxford. That's Speaker 0: right. So Oxford gave away the Bibles. Right. Why? Out of the goodness of their heart. Right. Right? No. They were they were infiltrating the American evangelical churches with Zionist propaganda. And slowly, alright, the Baptists bought into it, the Pentecostals bought into it, the Assemblies of God, the Church of God. You just go down the list of Pentecostal and Baptist denominations that got suckered into this thing. Speaker 1: Yeah, and people actually believe the notes are as sacred as the texts that are there. And I can speak to personal experience from that. When I was at Bible College, I had friends that believed the text. Speaker 0: That's right. Speaker 1: The notes. They said, This is inspired. Said, Are you crazy? How can the notes be inspired? But there were people that felt like the notes themselves were inspired. Speaker 0: That's right. And so now it's become, the doctrine has become accepted in thousands of churches in America. You watch Christian television, it's the only thing to hear, the rapture, the rapture, the rapture, Israel, Israel, Israel. And if you say anything else, you're the heretic. Right. Speaker 1: And even if you don't use a Scofield Bible or reference Bible, it has so influenced the leadership of so many denominations, you know, like Moody Bible Institute, Dallas Theological Seminary, all these different places. That's the template that has been laid on the doctrine in North America. Speaker 0: Well, Cyrus Schofield was friends with Dwight Moody. Now, split. Apparently Dwight Moody figured out that Cyrus Scofield was shady, but Moody kept the doctrine. Speaker 1: Right. Speaker 0: Okay? The Scofield people are the ones who started the Dallas Theological Seminary. Absolutely. And actually, Mr. Scofield, I don't think, was the editor of his Bible. There's question about that. Arlo Graebelin. Speaker 1: Yes. Speaker 0: Who was a a rabid Zionist Christian pastor, but man he was he was totally sold out to getting Israel to get their land back in place. Alright. That's that's that was his entire mission. Okay. He speak he spoke Yiddish better than most Jews. And so a lot of people think that he actually was the editor of the Schofield Right. Now, one thing we mentioned at the beginning, Doctor. Schofield, alright, he's known today as Doctor. Schofield, Doctor. Cyrus Schofield. And I would like, right now, I want to put out a challenge to Dallas Theological Seminary, Moody Bible Institute, and all the other rapture people out there. Please send to me the name of the educational institution where Doctor. Cyrus Schofield attended and graduated and was given a Doctor of Divinity degree. Please send me that institution's name because it doesn't exist And you all know it. You know he is a liar and a scoundrel and you've kept up the lie because you don't want the public to know the truth about Cyrus Scofield. But he was not a doctor of anything, a doctor of buffoonery.

@GovMikeHuckabee - Ambassador Mike Huckabee

In response to the statement of non-evangelical churches in Israel, I issued the following. I hope you will read prayerfully. I love my brothers and sisters in Christ from traditional, liturgical churches and respect their views, but I do not feel any sect of the Christian faith should claim exclusivity in speaking for Christians worldwide or assume there is only one viewpoint regarding faith in the Holy Land.  Personally I’m part of a global and growing evangelical tradition that believes the authority of Scripture and the faithfulness of God in keeping His covenants.  That includes His covenant with Abraham and the Jewish people.  My Christian faith is built on the foundation of Judaism and without it, Christianity would not exist.  Without the Judeo-Christian worldview, there would be no Western Civilization, and without Western Civilization, there would be no America.  The thought that God is even capable of breaking a covenant is anathema to those of us who embrace Holy Scripture as the authority of the church.  If God can or would break His covenant with the Jews, then what hope would Christians have that He would keep His covenant with us? Labels such as “Christian Zionism” are too often used in a pejorative manner to disparage free-church believers, of which there are millions across the planet.  Christians are followers of Christ and a Zionist simply accepts that the Jewish people have a right to live in their ancient, indigenous, and Biblical homeland.  It’s hard for me to understand why every one who takes on the moniker “Christian” would not also be a Zionist.  It’s not a commitment to a particular government or government policy, but to the Biblical revelation as given to Abraham, Isaac, and Jacob.  In my faith, there is certainly room for those who “butter their bread” differently than me, and I would hope that there would be room in the hearts of other church bodies for me.  We need to unite in those truths that should be agreed upon, such as the sanctity of life, the sacred act of marriage, the autonomy of the individual, the desire to lift up every human and alleviate human suffering, and the belief that grace is God’s gift to us all. Please share with others and "Pray for the peace of Jerusalem!"

@hippyresident - 𝕻𝖆𝖓𝖓𝖘𝖙𝖎𝖌𝖆𝖙𝖔𝖗

@GenXGirl1994 The term didn’t appear until the 19th century to describe Jewish converts to Christianity, and was popularized in the 1930s by American liberals and interfaith groups to combat “anti-Semitism”

@hippyresident - 𝕻𝖆𝖓𝖓𝖘𝖙𝖎𝖌𝖆𝖙𝖔𝖗

Judeo-Christianity is a MYTH "Christianity is built on the belief that Jesus (Yeshua) is the Messiah, the Son of God, and savior of mankind. Judaism explicitly rejects Jesus as Messiah, views Him as a false prophet, and in rabbinical texts, vilifies Him harshly. One cannot accept both unless you strip them of their core doctrines."

@GenFlynn - General Mike Flynn

Our Founding Fathers built this Republic on Judeo-Christian principles, knowing that only a moral and godly people could keep it. As Americans, we should be fearless about our values. That said, our foundation is under direct attack by a godless enemy. This battle is not only

Video Transcript AI Summary
The speaker argues that our country was founded upon Judeo-Christian principles and values to make it a godly nation, and that we must reconnect with the spirituality of why it was created. The struggle we face is described as a battle between good and evil, with the infiltration into the country labeled the single greatest threat. This threat is intellectual, emotional, physical, and spiritual. The speaker emphasizes that the United States is a republic with a representative form of government, where “we, the people” determine how we will live. They note that the last ten presidential elections averaged 67% turnout, meaning more than 30% of registered voters did not vote. The call is to organize and cultivate a passion for the country, especially given the challenges ahead, which are described as formidable and tied to the adversaries who are “smart and evil.” A central message is that survival for the next two hundred fifty years depends on states standing up and embracing local action. The speaker urges people to take their concerns to their counties, towns, and churches, to speak up and to sound off. Each listener is urged to consider how they can serve today, because one person cannot control national events or Washington, D.C. but can influence life in their own community. To act, the speaker proposes practical ways to contribute: making phone calls, sending emails, writing letters, and going door to door. The overarching theme is service to the country here and now. The repeated exhortation is to carry this message home and to ask others the defining question: “How am I serving today?” and “How are you serving today?” The speaker acknowledges the inevitability of national leadership and personalities (e.g., Donald Trump) but asserts that individual citizens can shape their immediate surroundings by engaging in local efforts. The appeal is to dedicate time and energy to constitutional goals at the local level, to work toward objectives such as constitutional carry, and to determine how each person can contribute to their state and community. In closing, the speaker expresses a personal longing and emotional urgency, pleading with audiences to take the message back to their communities and to persist in asking others how they are serving today, in order to mobilize collective action and national resilience through local involvement.
Full Transcript
Speaker 0: Our country was founded upon a set of Judeo Christian principles and values to make sure that we were a godly country because that's the fulfillment of who we are as a nation. How do we bring the spirituality of what our country is and was and why it was created. Because the the enemy, the adversaries that we face, it's evil. It is evil. It is godless. The infiltration into our country is the single greatest threat that we face. It's intellectual, it's emotional, it is physical, but it is definitely spiritual. It's good versus evil. Our country is in the place that it is in because the American people have not stood up enough. I'm talking about citizens in their communities. We, the people, we live not in a democracy. We live in a republic. We live in a representative form of government. That means that we, the people, are the ones that are supposed to say how it is that we are going to live. The last 10 elections for president of The United States Of America, we averaged 67% turnout for for voting for president of The United States. So that's more than 30% of the American people that were registered to vote could vote and decided not to vote. We must organize. We must get together. We must have a have a passion for our country. We have massive, massive challenges ahead, folks, because they're smart. They're smart and they're evil. It's not gonna take one presidency. The only way that this country is going to survive another two hundred fifty years is if states stand up and come together. This idea of local action is powerful. It is powerful. And so when we go out, when you leave here, and you go to your counties, you go back to your towns, and you're in your, you know, your various groups, and your churches especially, You've got to speak up. You have to sound off. People come up to me all the time and they tell me, thank you for your service. And I say, well, how are you serving today? How are you today? So if you don't remember anything I say, I want you to remember that question. And when you're going out there and you're talking and you're in your different places in life, I want you to ask that same question of the people that you're with. How are you serving our country today? Today. Because if you don't decide to serve as a citizen of this country, if you don't stand up today, tomorrow, the next day, as we go through these next couple of years, because one man cannot do it. You cannot control what Donald Trump is gonna do today. You cannot control what is happening in Washington DC, but you can take control of what is happening in your life today. You can take control of what you're doing right here, right now, in your county, in your town, whether you're gonna decide to serve, whether you're gonna decide to stand up for your country. You guys and gals are here to achieve something. You're here to achieve something for this state. Right? Whatever those things are, constitutional carry, whatever. Whatever it is. You have got to decide how can I help? You know, can I can I use my time to get on the phone to make some calls? Do you need some emails done? Do you need some writing done of letters? You know, do you need somebody to go around and knock on doors? I'm not asking you folks. I'm getting chills talking about it. I'm getting emotional about it. I am pleading. I am going around this country pleading with people. Take this message back. Ask the question. How am I serving today? How are you serving today? And drive it home.

@GenXGirl1994 - GenXGirl

@hippyresident It’s the most successful propaganda campaign of modern times.

Saved - January 15, 2026 at 12:11 AM

@GenXGirl1994 - GenXGirl

The next time someone tells you Israel is the only Democracy in the Middle East and the only place everyone feels accepted, show them 👇🏼. Israel: Apartheid | Genocide | Racism https://t.co/KjhiR1bXXZ

Video Transcript AI Summary
Speaker 0 asserts that there will be no more ambassador from South Africa in Israel and unleashes a barrage of harsh statements about South Africa’s Jewish community and political leadership. He calls South African Jews who support the ANC “Jew haters, Zionist haters, Zion bashers” and labels them “subhuman barbarians who took over the country there more than twenty five years ago.” He claims these people caused the death rate to be the highest in the world, stating that violent death is something in South Africa that happens more than anywhere else in the world and that it’s at a level comparable to Venezuela. He describes them as outrageous and barbaric and refers to them as “the lowest scum of the earth” who cannot build a single bridge, cannot do anything positive, steal properties from whites, kill the whites, and kill the farmers. He notes that hundreds of Jews have been killed in South Africa during this period, describing the killings as robbed and killed with a constant racial flavor. He says they decided they cannot keep their ambassador in Israel because of the Gaza Strip and tells others to “Thanks, Carl. Get out. Never come back, all of you.” He condemns all those who support the “terrorist organization called the ANC,” and all who support violence, calling them degenerates. In closing, he states, “Terrible. Terrible. I hope South Africa will become South Africa again on Africa. Del Array.” Speaker 1 adds that the government never gave a clear answer about what exactly happened. He notes that researchers and investigative journalists over the years have alleged that children were put up for adoption for wealthy international families or used perhaps for secret experiments. The statement implies that there are enduring questions or unresolved events surrounding these allegations, with claims of adoption to international families and possible secret experimentation as part of unaddressed inquiries.
Full Transcript
Speaker 0: The fact that there will be no more ambassador from South Africa in Israel. No more ambassador. These Jew haters, Zionist haters, Zion bashers from South Africa, these subhuman barbarians who took over the country there more than twenty five years ago, these people who caused death rate the highest in the world, Violent death is something in South Africa that which happens more than any other place in the world, the same level as Venezuela. And it's outrageous, barbaric. These are people who represent the lowest scum of the earth. They cannot build one bridge. They cannot do anything positive. They can steal properties from the whites. They can kill the whites, and they can kill the farmers. There are hundreds of Jews killed in South Africa during this period, by the way, as well. Robbed, killed, and, with some constant racial flavor. So they decided they they that they cannot keep their ambassador in Israel because of Gaza Strip. Thanks, Carl. Get out. Never come back, all of you. All of you. All of those who support the terrorist organization called the ANC. All of those who support violence, death, degenerates. What they've done to South Africa. Terrible. Terrible. I hope South Africa will become South Africa again on Africa. Del Array. Speaker 1: And the government never never gave a clear answer about what exactly happened. Researchers and investigative journalists over the years have alleged that children were put up for adoption for wealthy international families or used perhaps for secret experiments.
Saved - January 8, 2026 at 5:49 AM

@GenXGirl1994 - GenXGirl

Trump Administration officials admit they knew imposing sanctions on Venezuela would cause mass migration & they did it deliberately to create pressure for regime change. Majority of the 650K who migrated to the US were a direct result of this policy https://t.co/SwgsbLIJx7

@aaronjmate - Aaron Maté

The Trump admin justifies its regime change campaign by citing the collapse of Venezuela's economy and the migration that has resulted. But in its first term, the Trump admin was well aware that its sanctions on Venezuela would cause economic collapse and migration. Senior State Dept. official Thomas Shannon recalls warning that "the sanctions were going to grind the Venezuelan economy into dust and have huge human consequences, one of which would be out-migration." For Trump’s first term National Security Advisor John Bolton, an architect of the sanctions, this was an intended result. “There was no doubt the sanctions, along with the general economic deterioration before we imposed them, was driving a lot of people out of the country,” Bolton recalled. “ … That, to me, was a way to put pressure on the country.” If you agree with John Bolton that the goal of regime change in Venezuela justifies sanctions that cause economic collapse and migration, then say so. But don't use economic collapse and migration as justification for regime change when it's your sanctions that knowingly cause them.

Saved - January 5, 2026 at 10:41 PM
reSee.it AI Summary
A thread argues a sequence where oil collapse, distressed Venezuelan bonds, and repeated sanctions set the stage for asset sales and crypto-based pivots (Petro, BTC, USDT) to bypass freezes. Beneficiaries cited include Goldman Sachs, BlackRock, Paul Singer, and others; claims of Zionist and tech-finance interests gaining power. The author questions whether the action helps or harms U.S. sovereignty and American workers, asking who benefited more. A responder adds two additional sanction–migration and energy ambitions examples.

@BasedSamParker - Sam Parker 🇺🇸🧯

VENEZUELA: ANATOMY OF AN ECONOMIC HITJOB—The story of how our favorite ethnic oligarchs stole Venezuela for their international empire, but made it look like it was for our "American Empire" in the process. Q: Was the Venezuelan action good for America? Well, IMO that's the wrong question. The right question is: Was it was better for Our Greatest Ally or for us on a relative basis? I'll lay out the timeline, then explain my answer to this question. TIMELINE In June 2014, the price of oil plummeted, hitting Venezuela's main revenue source. In 2015, Venezuelan bonds, based on that oil, officially became distressed. Paul Singer's Elliott Management began buying these bonds at a discount, which were then trading at 50-70 cents on the dollar. By 2016, BlackRock was also buying these distressed bonds. In May 2017, Goldman Sachs purchased $2.8 Billion of these bonds at 31 cents on the dollar. In August 2017, Trump begins placing sanctions on Venezuela. He will increase the sanctions again in 2018, 2019 & 2020. By the end of 2017, as a result of the sanctions, the distressed Venezuelan bonds go into default. December 2017, Venezuela announced the Petro (a state-backed cryptocurrency tied to oil reserves) as a sanctions-bypass tool. The regime also began BTC mining operations. 2018–2020: Gold-to-Bitcoin Swaps. Venezuela exported 73 tons ($2.7 billion) of Orinoco gold to countries like Turkey and the UAE. The proceeds were converted into BTC at the then current prices of ~$5,000–$10,000, forming the initial BTC reserve. BTC was also used for imports from Iran and Turkey. 2019–2022, Venezuela began subsidizing electricity, making it a BTC mining hub, which saw Chinese BTC operations move in. May 2021, Robert Pincus is appointed by a US judge as Special Master to oversee the auction of PDV Holdings (Venezuelan oil) to pay off the bond debt. 2023–2025: Venezuela's Oil-to-USDT-to-Bitcoin Pivot. State oil firm PDVSA demanded payments in Tether (USDT) for exports (up to 80% by late 2025) to evade frozen accounts. Tether holdings were converted to BTC. Total holdings swell to $60 Billion. In 2024, Special Master Robert Pincus recommends Venezuelan oil assets be sold to Paul Singer's Amber Energy. November 2025, the US judge approves the sale of PDV/Citgo to Paul Singer's Amber Energy for $5.9 Billion, over the objections of Venezuela which appealed the ruling. Amber Energy will pay $2.1 Billion to bond holders. SUMMARY & ANALYSIS FOR NOTICERS: (Goldman Sachs, BlackRock, Paul Singer, Robert Pincus....) need I go on? With the help of zion-Don & the hijacked US military, israel-first jewish billionaires will get the long-awaited payout on their distressed investment gamble and seize control of Venezuela's oil, while the US Gov will take the strategic BTC reserve. It's unclear so far the ultimate fate of that BTC, but I'm sure the Crypto-Bros who bankrolled Trump's 2024 campaign will be very happy. And I'm sure plenty will find its way to Blackrock, helping it strengthen its grip over the financial system. The Silicon Valley tech bros will also now get to plunder other Venezuelan mineral resources to build & power their tech at a discount, and increase their relative power over us little guys, too. With full access to and control over Venezuelan oil, israel and the zog'd out USGov are poised to make another run at Iran while simultaneously grabbing OPEC by the balls and further stressing China's access to oil (which buys 89% of Iran's oil & 45% of Venezuela's). I think we see now why the israel-first crowd & Netanyahu were so happy about this action. Not to mention that Venezuela was firmly anti-zionist while being an important trading partner with Iran, helping both of them evade sanctions. This has helped Iran check israeli power in the middle east. The main benefits to this intervention look to accrue to jewish & Zionist billionaires, financiers, tech oligarchs, israel, and other zionist-aligned people & entities. Does strengthening and enriching those powers help America-First Americans? Is giving Silicon Valley even more relative power good or bad for America-First sovereignty? Is making Blackrock more powerful good for us? Yes, it does help to preserve the petro-dollar, which in the short term helps regular Americans. But the petrodollar play feels like it's just the bribing of Americans, so that we won't object to our own country being occupied and plundered by the same people plundering Venezuela. Does the petrodollar help us regain our sovereignty, or does it just keep us complacent? And doesn't it also help our Overseers who also deal in dollars and dominate the worldwide financial system? Whom does it help more on a relative basis? Aren't we just making our Masters stronger relative to us, further bolstering their grasp over us? Are we really building "American Empire?" Or are we parasitizing America to build the international jewish empire and Greater israel? Which will then allow them to dominate us even harder than they already do? IMO, they're playing on our collective American Ego and creature comforts to sleepwalk us into their digital control grid, Project Stargate, CBDC, AI, social credit, surveillance, police state. I'm at the point now where if THEY want something, I don't want them to have it. Simple as. Is Venezuela really the Monroe Doctrine? Or is it Globalist Talmudic Doctrine selling you snake oil labeled as the Monroe Doctrine? Who did this action benefit more, Them or Us?

@GenXGirl1994 - GenXGirl

@BasedSamParker Very nice analysis. Here are two additional examples. - Timeline of US Sanctions that fueled migration - Elon Musk’s Uranium goals in Venezuela https://t.co/59Zr2Z2D9F

@GenXGirl1994 - GenXGirl

x.com/i/article/1818…

Saved - January 4, 2026 at 11:18 PM

@GenXGirl1994 - GenXGirl

Donald Trump is no different than the warmongers he claimed to hate: - 1989: Bush Abducts Pres. Noriega - 2003: Bush Captures Pres. Hussein - 2011: Obama Murders Pres. Gadaffi - 2026: Trump Abducts Pres. Maduro https://t.co/2TRqdiqUPn

Video Transcript AI Summary
The transcript includes a series of statements attributed to different speakers regarding military actions and notable captures: - The president asserts a primary obligation to safeguard American lives and states that he directed the armed forces to protect American lives in Panama and to bring General Noriega to justice in the United States. - A report from Baghdad time indicates that, yesterday, December 13 at around 08:30 PM, United States military forces captured Saddam Hussein alive. He was found near a farmhouse outside the city of Tikrit in a swift raid conducted without casualties. - There are unconfirmed notes following the Saddam capture: “Unconfirmed. Unconfirmed. Yeah. Unconfirmed. Out of the teens?” and “No. What happened? Unconfirmed reports about Qaddafi being captured. End of unconfirmed witness.” - The final remark states: “We came. We saw. He died.”
Full Transcript
Speaker 0: As president, I have no higher obligation than to safeguard the lives of American citizens, and that is why I directed our armed forces to protect the lives of American citizens in Panama and to bring general Noriega to justice in The United States. Good afternoon. Yesterday, December 13, at around 08:30PM Baghdad time, United States military forces captured Saddam Hussein alive. He was found near a farmhouse outside the city of Tikrit in a swift raid conducted without casualties. Wow. Unconfirmed. Unconfirmed. Yeah. Unconfirmed. Out of the teens? No. What happened? Unconfirmed reports about Qaddafi being captured. End of unconfirmed witness. We came. We saw. He died.

@Fernand46357857 - Fernando Oliver, Esq.

https://t.co/wknLTYfARo

Saved - December 24, 2025 at 11:25 AM
reSee.it AI Summary
A user argues there’s a coordinated narrative shift from blaming “Leftists” to Muslims, pointing to posts creating the switch. They show and cite accounts amplifying it, including alleged Israel bots/shills and “Sealteampol.” They say narrative-trend analysis is interesting and contrast posts about shootings with other content, sharing several links as evidence.

@GenXGirl1994 - GenXGirl

Wanna see how some coordinated narrative to rage bait? Check how quickly the narrative changed from all Leftists are at fault to all Muslims. Who writes their posts? https://t.co/KdfLr2Fe3K

Video Transcript AI Summary
Speaker 0 asserts that they are fighting fake news, calling it fake and phony, and says a few days ago they called the fake news the enemy of the people, and they are, because they have no choice. Speaker 1 describes division as the agenda, claiming they used to be one but don’t remember, saying they were placed out of blocks like lab rats and that they cannot make it out. They claim the world has a natural order, and reference taxes on land and water, a shortening life, and poisoning of the food supply. They say if you eat it, it’s a suicide, and liken the shepherd to them and the sheep to the people. They conclude with the metaphor that the devil is the wolf of Wall Street gnawing its teeth. The segment ends with “And it stopped.”
Full Transcript
Speaker 0: I want you all to know that we are fighting the fake news. It's fake, phony, fake. A few days ago, I called the fake news the enemy of the people, and they are. They are the enemy of the people. Because they have no choice. Speaker 1: Division is the agenda. We used to be one, but we don't remember. They placed us out of blocks like a lab rat. Trying to make it out, they can't have that. See, this world has a natural order. Tax on your land, taxed on the water. Life's getting shorter, poisoning the food supply. You see it, so if you eat it, it's a suicide. They say they know that's the shepherd and we the sheep. I guess the devil is the wolf of Wall Street, gnawing his teeth. And it stopped.

@GenXGirl1994 - GenXGirl

🤔🧐

@hippyresident - 𝕻𝖆𝖓𝖓𝖘𝖙𝖎𝖌𝖆𝖙𝖔𝖗

The News Room Group Chat Member List https://t.co/vyuWAhk60Y

@GenXGirl1994 - GenXGirl

The plot thickens…

@ShaykhSulaiman - Sulaiman Ahmed

Told you it was a False Flag: https://t.co/OAzAfcb5R3

@GenXGirl1994 - GenXGirl

Idk but read the next post below.

@laralogan - Lara Logan

URGENT Is the CIA behind the murder of two US soldiers near the White House? Did they direct/orchestrate this act of war? Take a close look at the gunman’s ID card below - acc to this he was a member of the Qandahar Strike Force, a CIA-backed paramilitary unit. He’s one of theirs https://t.co/anKD3JrkQS

@GenXGirl1994 - GenXGirl

Read this.

@Mia_Stretch - MIA

*This card holder is working in conjunction with Afghan and U.S. Armed Forces. For questions call Fire Base GECKO* Fire Base GECKO was one of the most important, high security U.S. and Afghan Special Operations bases in southern Afghanistan, specifically in Kandahar. A Joint U.S. Afghan Special Operations Base MK ultra Fire Base Gecko was a Special Forces stronghold used by • U.S. Special Forces • CIA associated paramilitary teams • Afghan special units • Kandahar Strike Force • Other covert and counterterror units It was the central point for special missions in Kandahar Province, one of the most dangerous and strategically important regions during the war.

@GenXGirl1994 - GenXGirl

https://t.co/JXfPIR5dh5

@baroncoleman - Baron Coleman

That's a weird search term out of Washington DC in the mid-morning today... https://t.co/QhQP6id90B

@GenXGirl1994 - GenXGirl

So I showed you the narrative switch but let me show you the little accounts amplifying it. Mostly from Israel bots/shills and then you have the special people like Sealteampol who eat it up. Analyzing narrative trends is interesting. about shooting👇🏼 vs their other posts👇🏼 https://t.co/tmlKTLzZSp

@GenXGirl1994 - GenXGirl

What we should be talking about.

@DD_Geopolitics - DD Geopolitics

Everyone is spinning the Lakanwal DC shooting into a left/right blame war. The facts don’t allow for that. Here’s what’s actually documented: • He entered the U.S. on a Special Immigrant Visa (SIV) during Operation Allies Refuge, a process that began under Trump, was executed during the Biden withdrawal, and was supported by bipartisan votes in Congress. • He filed for asylum in late 2024 and was approved in April 2025 under the current administration, but asylum adjudication is handled by career officers following laws written and funded by multiple administrations. • Both parties expanded, supported, or failed to reform the SIV and asylum systems that allowed this case to unfold the way it did. Trying to turn this into a partisan attack misses the real issue because this wasn’t a “Democrat failure” or a “Republican failure.” It was a system failure decades in the making, and both sides helped build the system. Bush started the war, Obama continued it, Trump expanded the SIV pipeline, Biden executed the withdrawal and processed the evacuees, Congress funded it under all four. If people want accountability, start with the policies, not the tribal talking points.

@DD_Geopolitics - DD Geopolitics

🇺🇸🇦🇫 CBS: The suspect in the shooting of National Guard members in Washington, D.C. today is 29-year-old Afghan national Rahmanullah Lakanwal, he entered the U.S. in 2021. https://t.co/QnzstfCRC9

@GenXGirl1994 - GenXGirl

https://t.co/i1tmD6VJ9G

@GraceSm16250397 - Gracie Smith

Nice work, there was a playbook ready to use for Charlie Kirk's homicide. I'd focus more on those repeated narratives, used to place blame the Left, to steer public opinion, to brainwash, to retain power for TPUSA, and to tie to their eventual, yet already known suspect. I'd avoid using one of their already known operations, even though they did play the Muslim card early, yet used often for many of the same purposes, almost daily, fear and hatred of Muslims. Let's start with the incorrect term, "assassination", used to tie it to political motives (unproven), to tie it to Leftists, to tie it to President JFK, to tie it to "Charlie Kirk would have been president", to tie it to the lie, "Charlie Kirk was the person responsible for RFK Jr joining Trump", to tie the "Kirk" name to Erika Kirk (Charlie's replacement) for political power for TPUSA and likely to use in the future with Vance, to tie it to the lie, "the Left is celebrating Charlie Kirk's murder or assassination". to tie it to asking to report those on the Left for celebrating. Even a link for a website to report. Most all repeating were $7K club influencers, many with own shills, many tied to TPUSA, now reaping rewards, many who've been doing the very same type of ops, for well over a decade. I'm sure you and many are aware of those entities. The majority of Americans didn't even know Charlie Kirk's name, his base was young, colleges. Noted early, allegedly 15+ doctors, some nurses, were allegedly celebrating. Those doctors were all in different states. Doctors are trained to save lives, not celebrate anyone's homicide, they've worked hard to build businesses, reputations within their communities, there's no way they'd risk their careers, reputations, years of schooling, and loss of business. Most are very busy daily, as other professionals are, to even pay attention to politics, and doctor's clients are both left and right. Noted Kolvet referred to questions about the homicide as "conspiracy theories", like the taking of the SD cards, yet the term was used during the JFK assassination. All at TPUSA have proven to be verifiable liars, and Charlie Kirk would fire all of them today. Often all push the very same lies. Americans are lied to daily, by these same individuals, traitors, even politicians, all willing to harm Americans and their families. Harmful ops, some even lethal, fabricated operations used to instill fear and hatred, to sow division, to brainwash Americans, and most all ops are unique to the U.S. Note the country where none of this and much worse occurs. https://t.co/NbJxLMTs17

@NJBeisner - Natalie Jean Beisner

“Let’s stop using the word assassination…you politicize it when you say ‘assassination.’” I don’t understand this perspective. Assassination is the premeditated killing by a sudden or secret attack of a person—especially if a prominent figure. Clearly, that’s what this was. He

Video Transcript AI Summary
The speaker urges stopping the use of the word "assassination," arguing that from a death investigator’s/forensics perspective, this is a murder investigation and a homicide. They state, "You politicize it when you say assassination."
Full Transcript
Speaker 0: First off, let's stop using the word assassination. That's one of the problems we ran into with Kennedy from a death investigator's perspective, a forensics guy's perspective. This is a murder investigation. This is a homicide. Alright? You politicize it when you say assassination. Let
Saved - December 24, 2025 at 11:22 AM
reSee.it AI Summary
A user outlines Part 3 alleging Eric Adams faced FARA-linked bribery ties with Turkey and FBI subpoenas involving five countries, including Israel; claims charges were dropped. Replies cover Part 1 background, Part 2 on NY events: protesters against land sales, alleged NYPD protection of agitators, and Adams overseeing arrests of protesters; Gov. Hotchul’s inaction; a Epstein-like analogy; and a recommendation to follow David Sheen for context.

@GenXGirl1994 - GenXGirl

PART 3: ERIC ADAMS & THE BIGGEST FARA CASE OF OUR TIME Eric Adams was indicated under FARA for bribery w/Turkey FBI also subpoenaed Adams for 5 other countries to include the mother of Gov bribery & corruption: ISRAEL THAT IS WHY CHARGES WERE DROPPED Preview of my research

Video Transcript AI Summary
We are reporting from the heart of the campus that sparked a global student movement for Palestine. We’re seeing right now, Chris, we’re trapped in a dorm room. There are 10 white PDs barricading the doors, and we’re not allowed to leave. What started off as a protest against genocide at an elite Ivy League university was met with a military-style operation to suppress it. We need to find a way to get some spare medication. So when Columbia University sent the NYPD on the campus, they were willing to deploy violent militarized police to maintain their active investment in genocide. This is not about students expressing ideas. It is about a change in tactics that presents a concern and a normalization and mainstreaming of rhetoric. And I’m not just talking about language. I’m now talking about tactics, and that’s what shifted our response yesterday. But a normalization and mainstreaming of rhetoric associated with terrorism has now become pretty common on college campuses. Right? You see people wearing headbands associated with foreign terrorist organizations. This happened in October when you had a viral TikTok reissuing Osama bin Laden’s 2002 letter to America. So that’s a larger concern. It’s separate from what happened yesterday, but they’re related. Speaker 3 asks what was found: basically, NYPD changed the way it did business after the attacks of September Eleventh. It not only changed the way it did business, it created a very deep connection with the CIA. They started to build these intelligence programs that infiltrated Muslim communities in ways that, if the federal government did it, would totally go against rules designed to protect civil liberties. And they did it with an unusual partnership with the CIA. A very senior CIA officer was dispatched by CIA Director George Tenet to be his personal representative to the NYPD and help create these intelligence gathering programs, directing and supervising the intelligence gathering, and that relationship continues today. Speaker 3 notes: Recently, the CIA sent one of its most senior undercover officers to work out of 1 Police Plaza in New York as a covert officer. So we’re talking about former CIA agents now working within the New York Police Department. Well, they’re current CIA; they’re on CIA payroll. They’re on the CIA payroll, working with the NYPD, traveling abroad, and using intelligence in conjunction with the NYPD. Speaker 2 describes one element: there is a program called the demographics program. Officers described it as mapping the human terrain of the city. They placed undercover officers, ethnic officers inside Middle Eastern neighborhoods to blend in and look for things that are suspicious. That could be something as simple as who’s looking at radical books in a bookstore or who’s watching Al Jazeera and perhaps applauds at a report about an IED in Iraq, and that could be enough to get you into a report at the NYPD. They also have informants called mosque crawlers who go to the mosque as the eyes and ears for the NYPD. The FBI places informants in mosques with a criterion of specific information related to criminal activity, while the NYPD reportedly does not have that bar and says they follow leads; but those involved with the mosque crawler program say they’re there as eyes and ears.
Full Transcript
Speaker 0: We're reporting from the heart of the campus that sparked a global student movement for Palestine. Speaker 1: We're seeing right now, Chris. So we're trapped in Speaker 2: a dorm room. There's 10 white PDs barricading the doors, and we're not allowed to leave. Speaker 0: What started off as a protest against genocide at an elite Ivy League university Oh my god. Was met with a military style operation to suppress It's been, boss. We need to find a way to get some spare medication. So when Columbia University sent the NYPD on the campus My husband's They're willing to deploy violent militarized police to maintain their active investment in genocide. Speaker 1: This is not about students expressing ideas. It is about a change in tactics that presents a concern and a normalization and mainstreaming of rhetoric. And I'm not just talking about language. I'm now talking about tactics, and that's what shifted our response yesterday. But a normalization and mainstreaming of rhetoric associated with terrorism that has now become pretty common on college campuses. Right? You see people wearing headbands associated with foreign terrorist organizations. This happened in October when you had a viral TikTok reissuing of Osama bin Laden's 2002 letter to America. So that's a larger concern. It's separate from what happened yesterday, but they're related. We do not want ideas Speaker 3: Basically, NYPD changed the way it did business after the attacks of September eleventh. What did you find? Speaker 2: Well, it not only changed the way it did business. It it created a very, deep connection with, with the CIA. They started to the NYPD started to build these intelligence programs, that really infiltrated Muslim communities in ways that if the federal government did it would would totally go against rules that, have been set to protect civil liberties. And they did it with this unusual partnership with the CIA. A, a very senior c, CIA officer was, was dispatched, by CIA director George Tenet to, to be his personal representative to the NYPD and really help create these intelligence gathering programs, directed the intelligence gathering, supervised the intelligence gathering, and that's a relationship that continues today. Just recently, the CIA sent, one of its most senior undercover officers to work out of, 1 Police Plaza in New York as a covert officer. Speaker 3: So we're talking about former CIA agents now working within the New York Police Department Well, they're they're Speaker 2: current CIA. They're on CIA payroll. Speaker 3: On the CIA payroll, working with the New York Police Department, traveling abroad, and using intelligence to work in conjunction with the NYPD. Speaker 2: One of the things that that little known that that they do is they have this program called the demographics program. It was described to us by officers involved as they were mapping the human terrain of the city. They were putting undercover officers, ethnic officers inside Middle Eastern neighborhoods of of the city and their job is just to just to hang out and blend in and look for things that are suspicious. And that could be something as simple as, you know, who's looking at radical radical books in a bookstore or who's watching Al Jazeera and maybe applauds at the at at a report about an IED in Iraq. And that could be enough to get you into a report, at the NYPD. They also have informants that, they call mosque crawlers who as the name suggests, they just go to the mosque. They just eyes and ears for the for the NYPD inside mosque. Now the the FBI puts informants in mosque, the there's a bar that says there has to be specific information related to criminal activity. And and that bar isn't there at the NYPD. The NYPD says it just follows leads, but there you know, we've talked to a number of people involved in the mosque crawler program who say, we just have them there as our eyes and ears.

@GenXGirl1994 - GenXGirl

I will publish a full article for Part 3 because the connects are massive. For now, this is Part 1 for background and what led me to research this series.

@GenXGirl1994 - GenXGirl

THE DARK WEB OF BETAR US🧵 - World Zionist Congress: ZOA - Arrested Reporter - Israel Propaganda Media - Terrorist Orgs - FARA Violators - PornHub - Child Pørn - Revenge Porn - NesharAI - Trump’s Pro-Israel Exec Orders - US House of Reps Members Too big for 1🧵This is Part 1

@GenXGirl1994 - GenXGirl

Part 2

@GenXGirl1994 - GenXGirl

PART 2: THE DARK WEB OF BETAR US Who is RONN TOROSSIAN? - President, Betar US - Member, Kahane Chai, Terrorist - PornHub, Chïld Pørn - Top Donor, Rep. Ritchie Torres - Arrested: Attacking Student Protestors - Jake Novak, Extortion - Ross Glick, Revenge Porn - NesherAI Fraudster

@GenXGirl1994 - GenXGirl

THE DARK WEB OF BETAR US🧵 - World Zionist Congress: ZOA - Arrested Reporter - Israel Propaganda Media - Terrorist Orgs - FARA Violators - PornHub - Child Pørn - Revenge Porn - NesharAI - Trump’s Pro-Israel Exec Orders - US House of Reps Members Too big for 1🧵This is Part 1

@GenXGirl1994 - GenXGirl

The latest in what’s happening in NY under Eric Adams. These terrorist linked agitators were protected by NYPD while the ppl protesting the illegal sales of stolen Palestinian land were attacked and arrested.

@GenXGirl1994 - GenXGirl

Betar is flying the Kahane Chai Flag at the protest in Brooklyn NY Kahane Chai is a US designated Terror Group Betar’s President, Ronn Torossian is a former member of Kahane Chai He is also a major donor for @RitchieTorresNY & @NYCMayor Betar incited violence at the protest

@GenXGirl1994 - GenXGirl

PART 2: THE DARK WEB OF BETAR US Who is RONN TOROSSIAN? - President, Betar US - Member, Kahane Chai, Terrorist - PornHub, Chïld Pørn - Top Donor, Rep. Ritchie Torres - Arrested: Attacking Student Protestors - Jake Novak, Extortion - Ross Glick, Revenge Porn - NesherAI Fraudster

@GenXGirl1994 - GenXGirl

Corrupt & Compromised Eric Adam’s confirming his NYPD arrested the protestors instead of the Betar attackers.

@NYCMayor - Mayor Eric Adams

Anti-Semitism has no place in New York City, and bringing it to Borough Park is disgraceful. Protests must be civil and peaceful. We will not tolerate attacks on Jewish New Yorkers or any other diverse community across our city. Thank you to @NYPDNews for keeping everyone safe. https://www.timesofisrael.com/liveblog_entry/anti-israel-protesters-shout-settlers-go-back-home-at-nyc-orthodox-jews/

Anti-Israel protesters shout ‘settlers go back home’ at NYC Orthodox Jews * * * timesofisrael.com

@GenXGirl1994 - GenXGirl

Gov. Hotchul who made a big show of “we’re going to fire Eric Adams” just decided to do nothing. None of these bribed politicians will do anything to address this case being dropped because it’s like the Jeffrey Epstein case. If one member falls, the whole house of cards will fall.

@Breaking911 - Breaking911

BREAKING: NY Gov. Hochul to limit NYC Mayor Eric Adams' power, appoint oversight amid corruption case controversy - WNBC

@GenXGirl1994 - GenXGirl

David Sheen is a must follow if you wanna learn about Zionists, Zionism and Israel.

@davidsheen - David Sheen

Eric Adams' Kahanist BFF @RTorossian5wpr heads @Betar_USA the racist group that targeted the mosque https://t.co/85reNpX0gx

@NYCMayor - Mayor Eric Adams

Islamophobia will never be tolerated in our city — nor will any other kind of hate or bigotry. I want our Muslim community, and all our religious communities, to know that they can worship here in peace, and we will work with the NYPD to ensure they are always safe. Tomorrow,

Saved - December 24, 2025 at 11:13 AM
reSee.it AI Summary
GenXGirl1994 alleges that Brad Parscale, Uri Steinberg, Yair Levi, and Chad Schnitger are FARA-registered Israel agents affiliated with Salem Media Group, outlining roles (e.g., Parscale as CSO, owner of Clock Tower X; Steinberg and Levi with Bridges Partners; Schnitger with Faith & Freedom Coalition) and claims of subcontracting, pressure, and private accounts. She cites several source links.

@GenXGirl1994 - GenXGirl

UPDATE: These FARA registered Israel agents are all affiliated with Salem Media Group (@SalemMediaGrp), self described as the largest conservative media network Brad Parscale: - Chief Strategy Officer, Salem Media Group - Former Trump campaign manager - Owner, Clock Tower X (Israel Agent) - FARA shows Clock Tower X will subcontract to Salem Media Group Uri Steinberg - Owner, Bridges Partners (Israel Agent) - Worked with Salem Media Group for 20 years Yair Levi - Owner, Bridges Partners (Israel Agent) - Featured guest at Salem Media Group events Chad Schnitger - Director, Show Faith By Work (Israel Agent) - Executive, Faith & Freedom Coalition of California, led by Ralph Reed - Ralph Reed is affiliated with Salem Media Group (note: Faith & Freedom Coalition locked their website where you need a password to access it and Chad Schnitger set his LinkedIn to private. I think these guys are feeling the pressure)

@GenXGirl1994 - GenXGirl

ISRAEL SPENT $56M OUT OF $190M BUDGET These are the FARA registered companies plus Google (who apparently doesn’t need to register) propagandizing America on behalf of Israel: - SKDK - Google - Clock Tower X - Bridges Partners (Israelis) - Show Faith by Works After SKDK was exposed in the news, they stated they were closing their contract and deregistering as Israel agents, however, those documents are still not filed with FARA. Regardless, there work was basically done since they were performing the initial planning and testing. Now, we’re in the implementation phase.

@GenXGirl1994 - GenXGirl

x.com/i/article/1974…

@GenXGirl1994 - GenXGirl

Sources: https://www.businesswire.com/news/home/20250106008891/en/Salem-Media-Group-Announces-the-Appointment-of-Brad-Parscale-as-Chief-Strategy-Officer https://salemmedia.com/wp-content/uploads/2024/08/Salem-CorpGuide_pages.pdf https://efile.fara.gov/docs/7649-Exhibit-AB-20250918-1.pdf https://nrb.org/faith-leaders-rally-on-capitol-hill-in-united-support-for-israel-against-antisemitism/

Page not found | Salem Media Group salemmedia.com
Faith Leaders Rally on Capitol Hill in United Support for Israel, Against Antisemitism - NRB This week, more than 300 pastors, rabbis, and faith leaders from 28 states gathered in Washington, D.C. for a historic advocacy campaign led by American Christian Leaders for Israel (ACLI). […] nrb.org

@GenXGirl1994 - GenXGirl

Sources: Yair Levi:  https://worshipleader.com/worship-culture/yair-levi-artist-advocate-idf-captain-part-1/ https://youtu.be/quAJ_vXtVVQ?si=tSbWvQV8HxXKqKs- https://nrb.org/national-religious-broadcasters-association-welcomes-thousands-of-christian-communicators-to-2024-nrb-convention-in-nashville-tenn/ Uri Steinberg: https://www.uristeinberg.com https://www.linkedin.com/in/uri-steinberg-09130616?originalSubdomain=il Chad Schnitger: https://www.ffcca.org/about-us https://www.bizprofile.net/ca/san-diego/show-faith-by-works https://bizfileonline.sos.ca.gov/search/business/ Brad Parscale: https://investor.salemmedia.com/news-events/press-releases/detail/867/salem-media-group-announces-the-appointment-of-brad https://www.insideradio.com/free/salem-media-group-finds-success-in-influencer-marketing/article_7afd892c-ac05-11ec-9486-bb5324bc1055.html Jill Zuckman: https://www.linkedin.com/in/jill-zuckman-7775b32a?original_referer=https%3A%2F%2Fwww.google.com%2F Google: https://www.dropsitenews.com/p/google-youtube-netanyahu-israel-propaganda-gaza-famine CCPI: https://www.christianpost.com/news/evangelical-leaders-huddle-in-dc-to-discuss-support-for-israel.html FARA Docs: https://efile.fara.gov/ords/fara/f?p=1381:1:5658074597678:::::

National Religious Broadcasters Association Welcomes Thousands of Christian Communicators to 2024 NRB Convention in Nashville, Tenn. - NRB NASHVILLE, TENN. (NRB) —The National Religious Broadcasters (NRB) association welcomed nearly 5,000 Christian media professionals to the 2024 NRB International Christian Media Convention. nrb.org
HOME | Uri Steinberg uristeinberg.com
‏Uri Steinberg‏ - ‏Uri Steinberg Consulting‏ | LinkedIn ‏I serve as a conduit between Israeli and American entities, helping them to connect with…‏ · ניסיון: ‏Uri Steinberg Consulting‏ · חינוך: ‏Tel Aviv University‏ · מיקום: ‏Ramat Gan‏ · 500+ חיבורים על LinkedIn. צפה ‏Uri Steinberg‏ ‏‏ בפרופיל של LinkedIn, קהילה מקצועית של מיליארד חברים. il.linkedin.com
About Us — Faith and Freedom Coalition of California ffcca.org
Show Faith By Works LLC San Diego, CA - filing information Show Faith By Works LLC is a San Diego, CA based company incorporated on July 30, 2025. Filing details extracted from the California Secretary of State's Registry as of 8/5/2025. bizprofile.net
Salem Media Group Announces the Appointment of Brad Parscale as Chief Strategy Officer investor.salemmedia.com
Jill Zuckman - SKDK | LinkedIn Experienced communications professional with an expertise in journalism, crisis… · Experience: SKDK · Education: Brown University · Location: Washington · 500+ connections on LinkedIn. View Jill Zuckman’s profile on LinkedIn, a professional community of 1 billion members. linkedin.com
Google’s $45 Million Contract With Netanyahu's Office to Spread Israeli Propaganda Google is in the middle of a six-month, $45 million contract to amplify propaganda with Netanyahu’s office. The contract describes Google as a “key entity” supporting the prime minister’s messaging. dropsitenews.com
Evangelical leaders huddle in DC to discuss how to best stand with the Jewish state Evangelical leaders have decided to launch a new organization called the Conference of Presidents of Christian Organizations in support of Israel. christianpost.com

@GenXGirl1994 - GenXGirl

Brad Parscale: - Chief Strategy Officer, Salem Media Group - Former Trump campaign manager - Owner, Clock Tower X (FARA registered Israel Agent) - FARA shows Clock Tower X will subcontract to Salem Media Group https://t.co/XxynKqu5v2

@MaxBlumenthal - Max Blumenthal

Israel has hired Trump’s former campaign manager, Brad Parscale, to the tune of $1.5 million a month to recruit Gen Z influencers and “combat antisemitism” (read: lobby for censorship) https://t.co/LdxLg9Y8rW

@GenXGirl1994 - GenXGirl

Uri Steinberg - Owner, Bridges Partners (FARA registered Israel Agent) - Worked with Salem Media Group for 20 years https://t.co/h8LWsmdPxe

@GenXGirl1994 - GenXGirl

Influencers work for Israeli PR firm, Bridge Partners, LLC. Funds are transferred from Israel Ministry of Foreign Affairs to Havas (Bridge Partners’ German affiliate) & then transferred to Bridge Partners, LLC The $900K budget covers other expenditures such as setup & onboarding https://t.co/04r62zg4qf

@GenXGirl1994 - GenXGirl

Yair Levi - Owner, Bridges Partners (FARA registered Israel Agent) - Featured guest at Salem Media Group events https://t.co/aJ4sluGbCs

@GenXGirl1994 - GenXGirl

Chad Schnitger - Director, Show Faith By Work (FARA registered Israel Agent) - Executive & Registered agent of Faith & Freedom Coalition (Ffc) of California, led by Ralph Reed - Ralph Reed is affiliated with Salem Media Group (note: Faith & Freedom Coalition locked their website where you need a password to access it and Chad Schnitger set his LinkedIn to private. I think these guys are feeling the pressure)

@Villgecrazylady - Mel

Chad Schnitger (middle) is the founder of the California chapter of the Faith & Freedom Coalition. The Faith & Freedom Coalition is the powerful conservative advocacy group founded by Ralph Reed (on Chad’s right). On July 31 Ralph Reed, along with Luke Moon of the Philos Project (Paul Singer’s baby), and Apostle Mario Bramnick (Latino Coalition for Israel) met with Yehuda Kaploun and representatives from the Israeli government, including Netanyahu’s son Yair, in an off-the-record meeting to discuss “the concerning woke-right defamation of Israel & the Jewish people.” They launched the Conference of Christian’s Presidents for Israel to confront and combat “growing antisemitism in the MAGA movement.” Four days later Bill Ackman held his intervention for Charlie Kirk in the Hamptons. Read the article below and then tell me how you think it went over that Charlie refused to cut ties with the people this meeting was literally being held over.

@GenXGirl1994 - GenXGirl

FARA docs files for “Show Faith by Works LLC,” registered as a foreign agent of Israel after receiving $325,881 through Havas Media (the affiliate of Bridge Partners LLC who received $900K for Israel Influencer campaign. Show Faith was registered on July 30 2025 & appears to https://t.co/NiReZYb9Ms

@GenXGirl1994 - GenXGirl

https://t.co/xCXjbGvkuc

@GenXGirl1994 - GenXGirl

Did you know @DineshDSouza works for @SalemMediaGrp, a distributor of Israel propaganda for the FARA registered Israel agent, Clock Tower X? Dinesh has a show on Salem Media & co-produced “The Dragon’s Prophecy” with Salem Media, framing Israel’s genocide as biblical prophecy🧵 https://t.co/AMZfsN3X4q

@GenXGirl1994 - GenXGirl

UPDATE: These FARA registered Israel agents are all affiliated with Salem Media Group (@SalemMediaGrp), self described as the largest conservative media network Brad Parscale: - Chief Strategy Officer, Salem Media Group - Former Trump campaign manager - Owner, Clock Tower X https://t.co/GofQXdBabY

@GenXGirl1994 - GenXGirl

https://t.co/NTbwVuPnLa

@GenXGirl1994 - GenXGirl

AG PAM BONDI CLEARED THE WAY FOR ISRAEL’S FOREIGN INFLUENCE OPERATION On her 1st day, newly appointed AG Pam Bondi, disbanded the Foreign Influence Task Force, the DOJ office responsible for enforcing FARA. The change specifically limits DOJ prosecutors from criminally charging those involved in public-relations work & policy advocacy on behalf of foreign businesses & nonprofits. This is key to understanding how Israel’s current foreign influence campaign is structured. The Foreign Agent Registration Act (FARA) states a Foreign Agent is "an individual who agrees to operate within the US subject to the direction of a foreign gov or official." The penalty for unregistered Foreign Agents is 10yrs in prison. FARA documents show money and direction flow from Israel’s Ministry of Foreign Affairs to Havas Media Group to entities operating in the US (Clock Tower X, Bridges Partners & Show Faith By Works). Employees of the entities are also registered under FARA but what’s not registered are independent contractors (also known as 1099 Contractors) and subcontractors. Since Pam Bondi has directed the DOJ to only prosecute individuals who fall under the definition of the Espionage Act from 1917 (123 years ago), FARA violations involving PR firms and nonprofits engaged in Israeli influence campaigns online and via social media & media have free reign to propagandize Americans. That also means, unregistered 1099 contractors and subcontractors will also not be prosecuted. Furthermore, the penalty for not registering (should this become an issue) is no longer criminal charges leading to 10 year prison sentences. It is a simple slap on the wrist and a reminder to register. This deliberate incapacitation of DOJ’s enforcement mechanism gives a green light to foreign influence operatives, ensuring that the Knesset's 2018 plan to skirt FARA can proceed with minimal risk of prosecution. I will do a separate thread to show how this memo was also used to dismiss one of the biggest FARA cases of our lifetime, NYC Mayor, Eric Adams.

Video Transcript AI Summary
On February 2025, Pam Bondi, on her first day as attorney general, disbands the Foreign Influence Task Force, the DOJ office responsible for enforcing FARA (Foreign Agents Registration Act). The change explicitly limits DOJ prosecutors from criminally charging individuals involved in public relations work and policy advocacy on behalf of foreign businesses and nonprofits. This move is described as an incapacitation of the enforcement mechanism, effectively giving a green light to foreign influence operatives and enabling the Knesset’s 2018 plan to skirt FARA to proceed with minimal risk of prosecution. The memo cited (attributed to Pam Bondi) is noted as containing this and other points, with Gen X Girl highlighted as having noticed this aspect. The memo directs shifting resources in the National Security Division to address more pressing priorities and to end risks of further weaponization and abuses of prosecutorial discretion. As a result, the foreign influence task force is to be disbanded. Recourse to criminal charges under FARA and 18 U.S.C. 951 is to be limited to instances of alleged conduct similar to traditional espionage by foreign government actors. The counterintelligence and export control section, including the FARA unit, is to focus on civil enforcement, regulatory initiatives, and public guidance. The implication is that there would be no more FARA enforcement unless it resembles espionage activity. The discussion then shifts to Havas Media Group, described as part of a complex web of companies and subsidiaries involving shell companies and LLCs that funnel money from the top down, primarily from Israel, to social media influencers, propaganda campaigns, and digital campaigns. This network is framed as enabling plausible deniability for the Israeli government. With the FARA enforcement landscape opened up by Bondi’s changes, the argument is that rather than the Israeli government paying directly for influence campaigns, it would pay through intermediaries—NGOs, nonprofits, foundations, LLCs—around the world, which would then target Americans with propaganda. The broader context notes a surrounding environment in which new organizations have proliferated, money has flowed more freely, and influencers have received compensation and embarked on trips with talking points. Additional related points include mentions of Israel’s concerns about FARA rules and how campaigns might be structured to avoid registration, and a claim that there was a prior focus on how to skirt FARA regulations. The narrative concludes by tying Bondi’s actions to a surge in new organizations, money, and influencer activity following the disbanding of the foreign influence enforcement framework.
Full Transcript
Speaker 0: February 2025. In a move of profound significance yet little known, this is huge shout out to Gen X Girl. Don't know how she dug this one up. This one is super obscure and super significant. So February, Pam Bondi, on her first day, disbands the Foreign Influence Task Force, the very DOJ office responsible for enforcing FARA, the Foreign Agents Registration Act. The change specifically limits DOJ prosecutors from criminally charging those involved in public relations work and policy advocacy on behalf of foreign businesses and nonprofits. This deliberate incapacitation of the enforcement mechanism gave a green light to foreign influence operatives, ensuring that the Knesset's 2018 plan to skirt Farah could proceed with minimal risk of prosecution. Remember how they were worried? Israel was worried about, like, what are the rules around Farah and how do we get around them and how do we do our influence campaigns without tripping up the Farah system and getting into trouble because just maybe there might be something coming up on our little plans that we might kinda need to do some foreign influence campaigns about. And it's in this memorandum from Pam Bondi, the attorney general, and it's there's whole bunch of other points too, and this is just one of them, and this is just a little thing hiding in one of these points from this memo that I guess Gen X girl noticed or something. Shifting resource in the National Security Division to free resources to address more pressing priorities, excuse me, and end risks of further weaponization and abuses of prosecutorial discretion, the foreign influence task force shall be disbanded. Recourse to criminal charges under the Foreign Ages Registration Act and 18 code nine five one shall be limited to instances of alleged conduct similar to more traditional espionage by foreign government actors. Like Jeffrey Epstein, maybe? Like like Jeffrey Epstein? Like, in theory, theoretically, just like as an example, Pam. With respect to FARA and 95 nine five one, the counterintelligence and ex export control section, including the FARA unit shall focus on civil enforcement, regulatory initiatives, and public guidance. So no more FARA enforcement unless it's like a legit spy. You're all good. You're free to go. There's no cop on the beat anymore. Havas Media Group. There's a lot about this whole p this next piece that I still don't understand. It's extremely complex. It's this web of companies and subsidiaries and influence operations of shell companies and LLCs that are funneling money from the high ups down, mostly from Israel, actually documented, down in through these other organizations to social media influencers, to propaganda campaigns, to digital campaigns, and all the rest. K? And the reason is because it enables plausible deniability for Israeli government. Right? In the sense of when they were worried about the Farah stuff, now PanBondi has changed it. So there's no one on the beat. No cop is looking after the Farah stuff unless you're, like, acting as an actual intelligence asset. And so they figure, you know, we'll just make sure there's one intermediary in between. Rather than having the government of Israel directly pay for all this shit, let's have the government of Israel pay a bunch of NGOs, nonprofits, foundations, LLCs, etcetera, all around the world, and then they will target Americans and America with all the propaganda that we need. Right? So just remember, this is happening now in this environment where they have multiplied the budget for Hasbro by 20. They've set up a whole bunch of new foundations. They they were checking out to see what are the FAR reg regulations and how do we skirt them. If we start paying a bunch of influencers, are they all gonna have to register? What's the deal? Then Pam Bondi comes in and is like, don't worry. I'll just kill that whole task force. It's all gone. Open season. And as soon as that happens, we start to get all these new organizations popping up and all this new money is flooding in and all these new influencers are getting paid and going on trips and getting talking points. Right?
Saved - December 14, 2025 at 2:43 AM
reSee.it AI Summary
I note the House under Mike Johnson approved another $685 million to Israel, on top of its $4 billion annual funding. AIPAC is gloating on social media. I see no “cooperation” in handing IP to a genocidal state that steals and shares our military tech with unfriendly nations.

@GenXGirl1994 - GenXGirl

The House under Mike Johnson approved another $685 Million to Israel. This amount is on top of the $4 Billion Israel receives annually AIPAC is gloating about it on social media There is nothing “cooperative” about handing IP to a genocidal state with a track record of stealing & giving our military tech to unfriendly nations.

@GenXGirl1994 - GenXGirl

@OwenShroyer1776 Not sure but there are clues that point to one culprit… https://t.co/OH6tCujO5c

@OwenShroyer1776 - Owen Shroyer

How did China get our military tech? https://t.co/zMN2iOCCtt

Saved - December 11, 2025 at 6:19 PM

@GenXGirl1994 - GenXGirl

PART 2: THE DARK WEB OF BETAR US Who is RONN TOROSSIAN? - President, Betar US - Member, Kahane Chai, Terrorist - PornHub, Chïld Pørn - Top Donor, Rep. Ritchie Torres - Arrested: Attacking Student Protestors - Jake Novak, Extortion - Ross Glick, Revenge Porn - NesherAI Fraudster https://t.co/lzWp6xQCGT

@GenXGirl1994 - GenXGirl

THE DARK WEB OF BETAR US🧵 - World Zionist Congress: ZOA - Arrested Reporter - Israel Propaganda Media - Terrorist Orgs - FARA Violators - PornHub - Child Pørn - Revenge Porn - NesharAI - Trump’s Pro-Israel Exec Orders - US House of Reps Members Too big for 1🧵This is Part 1 https://t.co/E49UJdQaEM

Saved - December 11, 2025 at 5:48 PM

@GenXGirl1994 - GenXGirl

Betar is flying the Kahane Chai Flag at the protest in Brooklyn NY Kahane Chai is a US designated Terror Group Betar’s President, Ronn Torossian is a former member of Kahane Chai He is also a major donor for @RitchieTorresNY & @NYCMayor Betar incited violence at the protest https://t.co/n55sUXiFCU

Video Transcript AI Summary
Speaker 0 says, "The ones with the coffee shouldn't be right here." They identify as, "Doctor Yodi Klotz over here," and state they are "here to help some people out of" and that they are "good at converting Islamist." They add, "I'm here to give them a pager." They then call out, "Hey, ma'am? You free out your pager."
Full Transcript
Speaker 0: Yeah. The ones with the coffee shouldn't be right here. Doctor Yodi Klotz over here, and I'm here to help some people out of I'm good at converting Islamist. I'm here to give them a pager. Let's see how it goes. Hey, ma'am? You free out your pager.

@GenXGirl1994 - GenXGirl

PART 2: THE DARK WEB OF BETAR US Who is RONN TOROSSIAN? - President, Betar US - Member, Kahane Chai, Terrorist - PornHub, Chïld Pørn - Top Donor, Rep. Ritchie Torres - Arrested: Attacking Student Protestors - Jake Novak, Extortion - Ross Glick, Revenge Porn - NesherAI Fraudster https://t.co/lzWp6xQCGT

Saved - December 8, 2025 at 6:07 PM

@GenXGirl1994 - GenXGirl

I found our first graduate of Israel’s Foreign Agent Summit, Pastor DeWayne Howard, Grace Way Church, Plant City, Florida. Dewayne attended the 1000 pastor event in Israel where Netanyahu made him an Ambassador for Israel. Israel also paid for DeWayne’s airfare & hotel. https://t.co/MI4QxxsRDW

Saved - November 18, 2025 at 7:12 AM
reSee.it AI Summary
I’m showing why X disabled Hebrew translation after Trump told Israel to stop bombing Iran, citing a post about Netanyahu’s “friend” Elon. I note Joseph Neumeyer, a Jewish US/German dual citizen, was arrested for plotting to bomb the US embassy and kill Trump, with online motives. X headlines call the Hebrew claim a “viral rumor” but started it 13 hours earlier. Others respond in appreciation and caution.

@GenXGirl1994 - GenXGirl

Let me show you why X disabled Hebrew translation. These were their posts after Trump told Israel to stop bombing Iran (after Trump bombed Iran for them). https://t.co/r5v1TmIOFl

@GenXGirl1994 - GenXGirl

Remember when Netanyahu said “Elon is our friend”…well, Israel’s friend disabled the Hebrew translation feature on X to help them hide their 19,000 posts inciting violence. https://t.co/KBMufD4aDM

Video Transcript AI Summary
The speaker argues that the battles are fought with the tools that work on the relevant battlefields, listing social media as the most important. The most critical action right now is acquiring followers on TikTok—“Glass Followers. Five followers. TikTok. TikTok. Number one. Number one.” The other key platform mentioned is X (Twitter), described as “Successful.” The speaker emphasizes the need to engage with Elon Musk, stating, “We should talk to him. Now if we can get those two things, we get a lot.” The speaker also says that Elon is not an enemy but a friend. If those two objectives—the TikTok followers and engagement on X—are achieved, the speaker suggests, “I could go on on other things.”
Full Transcript
Speaker 0: We have to fight with the weapons that apply to the battlefields in which we're engaged, and the most important ones are the social media. And the most important purchase that is going on right now is glass Followers. Five followers. TikTok. TikTok. Number one. Number one. And I hope it goes through because it's it can be consequential. Mhmm. And the other one what's the other one that's most important? X. X. X. X. That's Successful. Very good. And, you know, so we have to talk to Elon. He's not an enemy. He's a friend. We should talk to him. Now if we can get those two things, we get a lot, and I could go on on other things.

@GenXGirl1994 - GenXGirl

In case you don’t know who Joseph Neumeyer is.

@GenXGirl1994 - GenXGirl

Joseph Neumeyer, a Jewish Zionist US/German duel citizen was arrested for plotting to bomb US embassy & kill Trump He posted his motivations online: - moved to Israel in April - devoted Zionist - Plotted to kill Trump b/c “his hotel is a competitor” MEDIA OMITTING THESE FACTS https://t.co/Z5WJNjIDz4

@accountabilibdd - accountabilibuddy

Joseph Neumeyer, ladies and gentlemen The guy with “dual US/German citizenship” https://t.co/pbffWssNQ8

@GenXGirl1994 - GenXGirl

https://t.co/HWhyqQUcVZ

@GenXGirl1994 - GenXGirl

X headlines is now claiming the info that X disabled Hebrew translations is a “Viral Rumor of Misinformation” ONE PROBLEM: X headlines started the “rumor” 13 hours ago! https://t.co/bhzZdyMlO5

@GenXGirl1994 - GenXGirl

Remember when Netanyahu said “Elon is our friend”…well, Israel’s friend disabled the Hebrew translation feature on X to help them hide their 19,000 posts inciting violence.

@GenXGirl1994 - GenXGirl

@krayonc I get it and I’m appreciative of the role this platform has played which is why we need to ensure it doesn’t turning into the other platforms.

@GenXGirl1994 - GenXGirl

@xIsraelExposedx Thank you. 🙏

@GenXGirl1994 - GenXGirl

@GLA_JarmenKell Appreciate it.

Saved - October 22, 2025 at 9:44 PM
reSee.it AI Summary
I’m seeing a thread accusing Israel of an information war in America, pushing anti-Muslim fear to lift polling, citing leaked research and a hired firm. Others call it propaganda to deflect rising anti-zionist sentiment, with daily anti-Israel content, polls, and debates among commentators about figures like Groypers, Shapiro, and Europe’s influence.

@GenXGirl1994 - GenXGirl

If your timeline is full of anti-Muslim posts, it is part of Israel’s 8th Front War on Information in America. Israel conducted a study to identify how to improve public opinion in US. Their top result: - Scare ppl about Jihad & Radical Islam - Increase Israel polling by 20% https://t.co/Cawj79NmaP

@DropSiteNews - Drop Site

LEAKED | Israel’s Own Research: The World Sees It as a “Genocidal, Apartheid Country” The Israeli Foreign Ministry hired Mark Penn’s firm, Stagwell, to chart a path out of global isolation. Drop Site’s @RyanGrim, who broke the story, discusses findings with cohost @emilyjashinsky.

Video Transcript AI Summary
The discussion centers on a leaked document detailing private international focus groups and surveys funded by the Israeli Ministry of Foreign Affairs (MFA) to test messaging for Israel after the war and to regain international legitimacy. The project included 15 focus groups (six in the United States, three in the United Kingdom, Germany, and France each), plus quantitative testing with 8,050 interviews (3,250 in the US, 1,200 in the UK, Germany, France, and Spain) as a baseline, and animatic testing with 5,600 interviews (4,000 in the US and 1,600 in the UK and Europe) to test specific messages, tone, and delivery. The aim is to determine how to shift global perceptions of Israel and avoid further isolation. The document, attributed to the Stagwell Group (Mark Penn’s firm) and the MFA, shows substantial investment in audience research, including focus groups and telephone interviews, to identify levers that could move public opinion from current baseline views toward greater international legitimacy for Israel. A striking takeaway cited is a recommendation to ramp up Islamophobia in messaging, arguing that when Israel is compared to Iran or Hamas, people tend to prefer Israel. The research also surveyed European attitudes toward Muslim immigrants and found underlying hostility in parts of Europe, which the MFA’s messaging strategy suggests Israel should lean into by contrasting itself with Hamas and Iran as standing up against a perceived threat. Key findings highlighted include: - International attitudes toward Israel are consistently worse in Europe (UK, France, Spain) than in the US, with Spain showing particularly negative views. Most Europeans support the Palestinians, except in Germany where support for Israel is stronger, though they recoil against both Hamas and Iran. - When Israel is compared to Hamas or Iran, Israel polls relatively better; when asked to choose between Palestinians and Israelis, Palestinians generally win, especially among younger cohorts. - The juxtaposition Israelis versus Palestinians is more favorable to Israel in the US than in Europe. In Europe (UK, France, Spain) there is greater favorability toward the Palestinians, while Germany and the US show more favorability toward Israel. - Youth attitudes show a shift: Gen Z in the UK and Germany are more likely to support Palestinians over Israel, with stark percentages (e.g., UK Gen Z 65-35, Germany Gen Z 63-37; in Spain, a near-universal tilt toward Palestinians). - Page-level cross-national comparisons show the most powerful countries (US, Germany) still leaning toward Israel, while the least powerful (Spain) lean toward the Palestinians. Gen Z across European countries shows increasing Palestinian support relative to older cohorts. - The document also notes misperceptions about casualty figures in Gaza: Spaniards 40,000; French 30,000; British 25,000; Germans and Americans 10,000. It also asks respondents whether those killed were mostly Hamas terrorists or civilians, with a majority in all regions believing civilians were mostly killed, including the US being the lowest but still majority civilian casualties believed. - If actual casualty numbers are higher than perceived, Israel believes attitudes could shift; the research tracks what people think about who was killed to anticipate messaging impact. Additional context: - The MFA’s Hasbara efforts have received substantial funding since October 7, fueling this extensive research program. - The document discusses potential post-war strategies, including the controversial idea of elevating ISIS-linked groups (Abu Shabab) to portray Hamas as more moderate, thereby arguing that no partners for peace exist and reshaping regional narratives—though this raises concerns about long-term consequences. - The discussion notes that the research was leaked and was originally intended to remain private, with the Commission of the Israeli MFA funding this line of propaganda-adjacent work. The conversation concludes with reflections on how the tone and content of messaging may evolve, acknowledging that some strategies may not move the US as much as other audiences, and noting the potential for a new chapter in the propaganda effort.
Full Transcript
Speaker 0: Over at Drop Site and here at Breaking Points, we have obtained quite an interesting document. This is the results of a number of private focus groups done around the world and paid for by the Israeli Ministry of Foreign Affairs and leaked to us. So we're going to roll through some of the findings here but to back up, the purpose of this project is clear. It is to test what messages will work for Israel going forward, particularly quote unquote after the war in order to try to regain some of the international legitimacy and standing that they have lost over the years. They did 15 focus groups, six in The United States, three groups each in The United Kingdom, Germany and France. They also did what they call quantitative message testing, 8,050 total interviews, 3,250 interviews in The US, 1,200 each in UK, Germany, France and Spain. This is to set a baseline, a starting point to find out where people are now when it comes to their opinions on Israel. Spoiler, people in Spain do not like Israel's conduct. And then phase three, what they call animatic testing. This is 5,600 interviews, 4,000 in The US and 1,600 in The UK and Europe which isn't totally complete but what by the time that this was put out, it's testing specific what they call messages, tone and delivery. So what are they doing? They're sitting down with people. This is very expensive work by the way. Speaker 1: Oh, Speaker 0: yeah. Millions and millions and it's going to Stagwell Group, which is Mark Penn's firm. Oh, interesting. Yeah. Mark Penn, former Clinton guy. Now more more of a Fox News Trump guy. Speaker 1: Sort of centrist. Speaker 0: Yeah. Yeah. Yeah. Speaker 1: It's third way Speaker 0: time Quirky. Anyway. Speaker 1: Yeah. Yeah. Yeah. Yeah. Definitely. Speaker 0: You can look him up. Go down the Mark Penn rabbit hole if you want. Yeah, he and his wife are involved with no labels. They launch new labels. Speaker 1: There you go. We just explained it perfectly. Speaker 0: Yeah, there you go. So, what they do? They do these focus groups, then they do telephone interviews, baseline and then they go back to people and try to figure out what can move people from their current baseline basement level views of Israel to something that gives them some level of international legitimacy and avoids the isolation that is quite obviously coming their way. To short circuit and get right to the chase, effectively what they recommend is ramping up Islamophobia. They argue that when Israel is compared to When Israel is compared to Iran or Hamas, people generally prefer Israel to Iran or Hamas. And they also then survey people's attitudes, particularly in Europe towards Muslim immigrants and find that there are a lot of people in Europe who have some underlying hostility towards Muslims in Europe. And so Israel's argument is lean into that, Like lean lean into that kind of comparison and say that we are the ones that are standing up against the horde basically. Mhmm. Just key findings on page three. International attitudes toward Israel and the conflict are consistently worse in Europe than in The United States, particularly in The UK, France, and especially in Spain. Most Europeans support the Palestinians except in Germany over Israel, but they do recoil against both Hamas and Iran. So when they compare Israel to Hamas and Iran, Israel polls better. When they say do you prefer Palestinians or the Israelis or Israel, Palestinians wins out handily. 18 to 24 year olds are uniformly the worst performing group though attitudes in Spain are across the board negative to Israel, so everybody in Spain. Nearly half or more of all Europeans believe that Palestinians were there first and solid majorities believe they had a nation there. Eight in 10 in Europe nevertheless believe Israel has a right to exist as a nation state and the homeland of the Jewish people. They also see the Palestinians as having a right to a state. As you've been looking at this document, anything that jumped out that you'd wanna flag? Speaker 1: Well, this juxtaposition that comes across pretty favorably to Israel in The US Of Israel versus Hamas and then Israel versus Palestinians. Now in the rest of the world, when you make it Israelis versus Palestinians, you see more favorability towards the Palestinians. So UK, Germany I'm sorry, UK, France, Spain. Germany and The US are still the places where there's more favorability for the Israelis over the Palestinians. But you can see on page 14 why this argument about Hamas being the important talking point for those who want to bolster support for Israel is so powerful because the gap between support for Israel and Hamas is so completely different than Israel versus Palestinians. And I think that's the kind of false choice that we see constantly offered, which is that you are either with Israel or you are necessarily with Hamas. And that's a problem actually for the Palestinians, many of whom do not wish to support Hamas and wish that they had other options themselves. So not everybody. I mean, it's hard to actually know what that means and what support is, but like that in Gaza and the West Bank. But this is just, I mean, I think illustrative of why we so often see the choice between Israel and Hamas. And the argument that should obviously be made is that you end up with a a more extreme and ultimately more powerful Hamas because you are not going to eradicate the, like, quote, armed resistance part of Palestinian politics. That's not going anywhere. You can, quote, eradicate Hamas. You can't you probably can't, quote, eradicate Hamas, but that's not going anywhere. So that's why that juxtaposition is, the Israelis still see value in it, obviously, because you look at these numbers. Speaker 0: Yeah. And the right wing faction in Israel that has long opposed coexistence has actually been the they've been the ones that have wanted to elevate Hamas Mhmm. This Netanyahu strategy for a very long time to elevate Hamas so that you can then say that there are no partners for peace and it works in a public relations way too. You see even in Spain, Israel versus Hamas is sixty five thirty five Israel versus Hamas whereas everything else when you ask Spaniards about Israel absolutely in the tank. Now this is for a post war, post genocide circumstance that they're talking about. How how do we redevelop positive attitudes going forward? There's a chance there basically isn't a Hamas and there's and there won't, you know, there might not be a Hamas anything like what we've come to understand. But what Israel is now doing in Gaza is boosting this Abu Shabab gang, which has had ties to ISIS. And you can imagine a strategy where they elevate groups that make Hamas look moderate to Spaniards and say, okay, yes, you don't like us, but what about this Abu Shabab gang? And then people like us who've been following this from the beginning will be like, wait a minute, you guys built them. We watched you create them in real time and celebrate them and then Barry Weiss interviewed them. You got them in the Wall Street Journal. But yeah, but they have ISIS links. Like we said that at the time. Like and it's it's the gap between people who follow things closely and the ones who are just seeing it on the surface. So yeah, so what they might do is just create like ISIS like groups to like lift them up and be like, okay. Yeah. You didn't like our genocide. You didn't like that. Fair enough. Mhmm. We acknowledge that we went a little overboard, but you really don't wanna deal with these people. Yeah. Do you? Speaker 1: Well, I mean And the people Speaker 0: are like, yeah. But those are your allies. As of You you prop them up. Speaker 1: As of how many years ago? I mean, there's a Washington poster about this. Was, like, 2014, 2016. There's still American textbooks circulating around Afghanistan that have, like, Islamist messaging in them because they were being given out at madrasas to support the mujahideen. And these things have, like, seriously dire consequences in over the course of decades. Right? Like, if you're trying to play risk on the chessboard in, like, the immediate, you know, five year time span, rarely, if ever, are you actually accounting for what's going to happen. Are you actually, like, being clever in a a long term? Maybe China is clever on a hundred year strategy plan. But that has not been the case with The United States and Israeli politicians roughly over the last ten plus years. That's how you end up with, I mean, elevate that's how you end up elevating movements that actually are harmful to The And United then, of course, you censor them. You take the Bin Laden letter down from The Guardian showing how the US government, you know, created this threat to The United States unintentionally with a ridiculous policy in Afghanistan. But anyway. Speaker 0: And if we go to page 15, this is what we're talking about. This cross national comparison, Israelis versus Palestinians doing so. Israelis doing worse with Spain, that's 71 siding with Palestinians, 29 with Spain. Second worst in France, 59, 41. Then UK, 53, 47 still siding with Palestinians over Israelis. And then it flips with Germany, 55, 45 pro Israeli, The US 65, 35 pro US. Now the problem I mean, Israeli, same thing. The problem for the Palestinians here probably jumps out at you there. What do you see here? The least powerful countries are the most supportive of Palestinians. The most powerful, most supportive of Israel. Spain being the least powerful of these European countries that are listed here. France would then be the second least powerful. UK being third, and Germany being the most powerful European country, and then The US obviously being the most powerful country. So while while publics in general, know, leaning more toward people, are leaning more towards Palestinians, centers of power, you know, remain tight with Israel. However, you can see this changing, you know, everywhere. You can go to page 16. Gen Z in The UK likely to support Palestinians over Israel by much more. Speaker 1: Mhmm. Speaker 0: Sixty five thirty five than the average average UK. Even in Germany among Gen Z, it's 63, 37. For eighteen to twenty four year olds in Germany, it's 71, 29. So even in Germany, they're losing long term. France, way worse. Eighty twenty for eighteen to twenty four year olds. Seventy nine twenty one for for Gen Z. Speaker 1: Those numbers would have been so different among that age cohort ten years ago. Speaker 0: That's true. Speaker 1: I mean, five years ago actually probably. Speaker 0: 19 Spain, it's just a sea of yellow for the Palestinians there. And if you wanna see the entire thing, we can link it below or you can go check check it out at Dropside News. Speaker 1: Was this supposed to remain private and just circulate? Speaker 0: Yeah. Yeah. Somebody somebody wanted wanted this out and decided to leak it to us. Speaker 1: And who exactly commissioned it? Was it was it the the government? Speaker 0: Ministry of Foreign Israeli Ministry of Foreign Affairs Commission. Speaker 1: Foreign Affairs Commission's it. Okay. Speaker 0: Which got a huge influx of money for what they call Hasbara, for propaganda efforts. Speaker 1: Mhmm. Speaker 0: Some like, I forget the exact figure. You can go look at our reporting, but like the budget for Ministry of Foreign Affairs in the Israeli government is exponentially expanded since October 7 to do this kind of thing. Speaker 1: I know it's expensive to do. Speaker 0: Yeah. Yeah. Just just getting together a focus group, one focus group Speaker 1: Yeah. Speaker 0: It's like tens of thousands of dollars. Speaker 1: Let alone internationally. Speaker 0: Right. To do do them all over the world and do a lot of them. Super interesting story. Yeah. Interesting story. Speaker 1: And you'll start to see it show up different the the tone of different statements and going forward. I'm sure different social media videos. No. It's it's not gonna, I think, create a dramatic pivot. I think this is roughly already a lot of the strategy. But in in some interesting ways, it does show they'll have to open a new chapter in the propaganda war because some of the stuff isn't even working in The US anymore. Speaker 0: And just a couple other interesting things, like, it shows that they care about well, I'll just read you. So if you go to page 33, estimates of deaths in Gaza versus Israel. So like they'll ask people how many people have been killed in Gaza in the past year as a result of the conflict with Israel. So people in Spain say 40,000, people in France say 30,000, people in The UK say 25,000, people in Germany and The US say 10,000. So people in Germany and The United States genuinely so when you look at the attitudes that they have towards Israel, they're based on a misunderstanding. Like they believe because of the media diet that they consume that many fewer people have been killed by Israel than have been killed. So that could also change their views when they when or if they ever understand that that's not true, that they've been lied to, that it's actually a lot more. So that could be and it's interesting to note that this is something Israel's paying attention to, that they're like surveying it Speaker 1: Yeah. Speaker 0: To find out what do people know about what we've done. Speaker 1: Right. That is a really interesting one. I mean, whole thing, it's it's all interesting. It's the questions they asked are interesting. Like, that in particular is interesting. Speaker 0: And the next page is really interesting relative to that because it asks, of those killed, do you think they were mostly Hamas terrorists or collaborators or mostly civilians? And by overwhelming majorities, everyone, including people in The United States believes they were mostly civilians. The US is the lowest, but in The US two thirds of people believe that they were mostly civilians who were killed. They also wrongly believe that they only killed 10,000 over the last year. So if they find out, oh, actually it was a 100,000, 200,000, like as we find out, you know, does that change people's attitudes? Certainly, Israel thinks it will because they wouldn't be surveying it otherwise. Speaker 1: So Curious to see what they do with that one. Yeah. Very curious to see what they do with that one. Well, fascinating insights here, Brian. Speaker 0: Yes, indeed. Speaker 2: Hey. If you like that video, hit the like button or leave a comment below. It really helps get the show to more people. Speaker 3: And if you'd like to get the full show ad free and in your inbox every morning, you can sign up at breakingpoints.com. Speaker 2: That's right. Get the full show. Help support the future of independent media at breakingpoints.com.

@GenXGirl1994 - GenXGirl

👇🏼

@RecTheRegime - Michael Rectenwald, Ph.D.

Fuck. My. Timeline. It's now an endless stream of anti-Muslim propaganda designed to deflect from the growing anti-zionist sentiment in America. It's a constant stream of anti-Islamification nonsense. These hasbarists all work for "israel." Don't let them change the narrative.

@GenXGirl1994 - GenXGirl

Some examples. https://t.co/FFbwrxrHNu

@GenXGirl1994 - GenXGirl

This is why. Check out this polling. Sabby is right, I’m 50 and I’ve never seen a shift like this.

@GenXGirl1994 - GenXGirl

Check out this new poll about Israel https://t.co/Q2M523JNvi

Video Transcript AI Summary
Speaker 0 and Speaker 1 discuss a historic shift in American public opinion regarding the Israel-Palestine conflict. - Speaker 1 notes that public opinion on who voters sympathize with shifted dramatically in the wake of the current war. In October 2023, Americans favored Israel by 48 points; now, they favor the Palestinians by 1 point. He says he reviewed polls since the question began in the 1980s and that this is the first time Palestinians lead on this question, marking a historic shift away from the Israeli position toward the Palestinians. - He emphasizes that the shift was led by Democrats, moving from Democrats favoring Israel by 26 points to Palestinians by 46 points, describing it as a roughly 70-point swing and stating that, for the first time ever, more Americans sympathize with the Palestinians over the Israelis. - Speaker 0 adds that the shift is “a first that I have seen in my lifetime” and credits independent media and journalists reporting from Gaza for bringing images to social media, including images of civilians and alleged Israeli actions. He asserts that without on-the-ground reporting, people wouldn’t have seen certain images, asserts that journalists were killed by the IDF, and claims those images contributed to waking people up. - He contends that APAC is panicking, citing a new ad and a rebranding as “America first,” and argues Israel has lost the media war and the narrative, including some conservative and evangelical support (referencing Charlie Kirk’s base). - Speaker 1 details a parallel shift within the Republican Party, noting a significant age-based divide. Among Republicans over 50, they sympathize with Israel by 66 points; among those under 50, they sympathize with the Palestinians by 25 points. This creates about a 40-point gap, with younger Republicans leaning more toward the Palestinians than older Republicans. - Speaker 0 adds that Israel has hired pro-Israel influencers—paid about $7,000 per post—targeting the youth to reel back pro-Israel sentiment in the conservative youth vote. He notes these influencers were primarily young, implying a deliberate strategy to mobilize younger voters, while older voters are less in need of such outreach. - The speakers conclude that this combination of media exposure, shifts in party and demographic alignments, and targeted influencer campaigns constitutes a broad, historic realignment in American attitudes toward the conflict.
Full Transcript
Speaker 0: I'm surprised they showed this on CNN. You guys have gotta see this. Speaker 1: Yeah. This war caused a historic shift in public opinion on how Americans view the Middle East conflict. What are we talking about here? Who voters sympathize more with the Israelis or the Palestinians? Back in October 2023, it was the Israelis by 48 points. Look at this shift. Now we're talking about the Palestinians by a point. I looked back at every single poll that I could possibly find since this question was first asked in the nineteen hundred and eighties. This is the first time ever in which the Palestinians had any sort of lead on this particular question. It is very clear that this war caused a historic shift away from the Israeli position in the Middle East conflict and towards the Palestinians when it comes to who Americans and voters sympathize with. This, of course, was led by Democrats because what are we talking about? We went from Democrats favoring the Israelis by 26 points to the Palestinians by 46 points. That is a shift, John. Quick math in my head of over 70 percentage points. But overall, the first time ever in which more Americans sympathize with the Palestinians over the Israelis, truly a historic shift. It's a big. Speaker 0: This is a first that I have seen in my lifetime. This is huge, and we gotta give credit where credit is due. We gotta give credit to independent media. We gotta give credit to all the journalists that reported what they saw on the ground in Gaza because without them, we don't get those images on social media. Journalists that risk their lives, a lot of these journalists were killed by the IDF. Without them, we we didn't get those images. We would have never seen those images of those kids. We would have never seen Israel targeting just random children just walking down the street. Israel shooting dogs and cats. The evil that Israel has become. We would never have seen it had it not been for those journalists on the ground in Gaza. And it woke people up, and that's how we got here. And that's why APAC is panicking, and that's why they have that new ad, and that's why they're trying to rebrand themselves as America first. Israel is in trouble, and they lost the media war. They lost the narrative. They lost some conservatives, which is very troubling for them because they depend on the conservative base, in particular, the evangelicals. They lost some of the Charlie Kirk base. I've never seen this before in my life. That's how we get here, folks. Speaker 1: Shift overall, a big shift within the Democratic party. What about Republicans? Yeah. It's not just Democrats, though, in which we have seen a real shift of opinion. Even within the Republican ranks, this war has caused real division. What are we talking about? Well, we often talk about by age within the Democratic party, but what about by age within the Republican ranks? Who Republicans sympathize with? You see a massive, huge age divide. Those 50 and over, what we see amongst Republicans, is they sympathize more with the Israelis by 66 points. But look at the voters under the age of 50. They do sympathize with the Israelis, but just by 25 points, we're talking about a 40 difference with the youngest Republicans being far more sympathetic to the Palestinian position than older Republicans are. That's a huge Speaker 0: And that's why Israel has hired these pro Israel the paid influencers that they're paying $7,000 per, post. That's why they hired them. That's why they signed them. When I showed you all the faces of those paid pro Israel influencers, notice they were all young. They hired them to reel back in the conservative youth to be pro Israel again. They don't have to do that for the older voters for the most part according to these numbers, but they gotta get that youth back in. That's why they hired those people.

@GenXGirl1994 - GenXGirl

@WallPhace Did you happen to catch this? https://t.co/HXcSnDkhRR

@GenXGirl1994 - GenXGirl

@VibesPatrol Oh I have several posts about what’s happening in Europe and getting exported to the US. Check the thread. https://t.co/WOnEhJme8M

@GenXGirl1994 - GenXGirl

What is happening here? 🤔 Nick Fuentes saying Ben Shapiro was right about ppl who are suspicious of Israel in the Charlie Kirk assassination? Ben Shapiro defending Groypers? Something doesn’t seem right. https://t.co/NQwJygZZG9

Video Transcript AI Summary
Speaker 0 contrasts what is happening with a reference to Looney Tunes and uses that imagery to support a point about antisemitism accusations. They claim that some people who are accused of antisemitism are indeed antisemitic, describing them as “smart people asking questions like me,” while others who have been kicked out of Daily Wire are “just crazy.” They invoke Ben Shapiro to support their view, saying the situation proves he was right about these dynamics. They label a certain person as a “faux sophisticate,” agreeing that this label nails the situation. The speaker emphasizes that the idea of someone being an “antisemite” can be connected to what they view as a pattern or pattern-matching of behavior, and they repeat the phrase “A faux sophisticate” to underscore this point. Speaker 1 expands the discussion to the far right and Charlie Kirk, noting that there were plenty of people on the far right who disliked Charlie. They mention Gruyper groups (referred to as Gruyper’s) and state that they literally declared a “Gruyper war on Charlie Kirk,” arguing that he wasn’t radical enough for them and that this intolerance reflected a demand for more extreme rhetoric. The speaker reiterates a point they had previously made to Bill Maher, describing how the identification of Charlie Kirk as hateful fits into a broader framework. They pose a question about whether the Gripers could be the source of any negative assessment, suggesting that the opposite claim—that the Gripers were responsible—could theoretically be possible, though they consider it unlikely. The speaker then explains the evidence they cited: contemporaneous conversations the shooter had with family in which they called Kirk hateful. They argue that this shows that Kirk being labeled “hateful” is part of a left-wing matrix of thinking, and they articulate the idea of a “griper matrix” that asserts that Charlie Kirk should have been more hateful toward Jews to be acceptable to them. The central thrust is that the Gripers’ expectations for greater hatefulness toward Jews would align with their approval, implying that if Kirk had exhibited more virulence toward Jews, he would have been more favored by that faction. Overall, the dialogue weaves together critiques of alleged antisemitism accusations, the behavior and labeling of Charlie Kirk by far-right groups, and the contention that certain factions on both sides frame acceptability in terms of extremity toward Jewish targets, using the shooter’s reported conversations as a focal point for claims about how Kirk is perceived.
Full Transcript
Speaker 0: I don't know what's going on, but it's like Looney Tunes over there, and it's proving Ben Shapiro was right. You know, some antisemites or some people that are accused of being antisemitic, they just are, like, smart people asking questions like me. Other people that are kicked out of Daily Wire, they're just crazy. You know, Shapiro said she's a faux sophisticate. Nail on the head if you ask me. A faux sophisticate. Speaker 1: And believe me, there were plenty of people on the far right who hated Charlie. I mean, Gruyper's, as I've said before, literally declared a Gruyper war on Charlie Kirk. They declared that he wasn't sufficiently radical. It's exactly what I told Bill Maher on Friday night. He said, well, what? How do we know it's not the Gripers? I said, theoretically, could it be? Because before all of the evidence had come out, theoretically, it's possible. Super unlikely. And you know what I cited as the evidence? The contemporaneous conversations that the shooter had with family calling Kirk hateful. Because my point was, if you're calling Charlie hateful, that is part of a left wing matrix of thinking. The griper matrix is Charlie wasn't hateful enough. He should have been more hateful. He should have more vile toward the Jews. If if only he had been, then they would have liked him.

@GenXGirl1994 - GenXGirl

Ben Shapiro: “I would gladly waive the born-in-USA requirement for presidency of Bibi.” America is getting “Israeled”. https://t.co/eqXHZDwlHw

@GenXGirl1994 - GenXGirl

@Nicksdankmemes3 Alright. Suck on Bibi’s crap & call yourself “red pilled. 🤷🏻‍♀️

@GenXGirl1994 - GenXGirl

@dee_on_air Which countries? I’d like to look into it.

@GenXGirl1994 - GenXGirl

@tngadd The history is there. Started with the US/USSR proxy war in Afghanistan.

Saved - October 13, 2025 at 10:19 PM
reSee.it AI Summary
I’ve compiled a timeline of the Influencer campaign and, for now, notice that in CA, AZ, NV, CO—and all Christian Colleges—the churches are geofenced, tracked via phones, and targeted with Israel ads. They call it the largest Geofencing and targeted Christian Digital Campaign ever. I’ll post tomorrow after a double-check. I also found church names on page 34. ICU warned me about the FARA doc, and I’m seeing links to church leaders’ ties.

@GenXGirl1994 - GenXGirl

Holy Shit Guys! I just put all the events of the Influencer campaign that I can find on a timeline that I’ll post tomorrow morning (gotta do a double check) but WTF! For now, if u live in these states & go to church, you’re getting geofenced, tracked by your phone & targeted with Israel ads: - California - Arizona - Nevada - Colorado - All Christian Colleges They called it the “largest Geofencing & targeted Christian Digital Campaign ever”

@GenXGirl1994 - GenXGirl

Starting on page 34 are the names of the churches. Check to see if your church is on the list. https://efile.fara.gov/docs/7653-Exhibit-AB-20250927-1.pdf

@GenXGirl1994 - GenXGirl

Credit to ICU for trying to tell me about this while I was down a deep rabbit hole. Once I read the full FARA doc, I was like, 🤯 that’s what he was talking about.

@icu_luci - ICUlUↃI

@Villgecrazylady I just shared this with @GenXGirl1994 , but you'll find it interesting as well: the State of Israel is going to be spying on everyone going to "every Major church" in CA, AZ, NV, and CO: https://efile.fara.gov/docs/7653-Exhibit-AB-20250927-1.pdf

@GenXGirl1994 - GenXGirl

@cvcroninvejar - Christina Cronin-Vejar END THE BLOCKADE!

Finding out the church you went to in high school is being geofenced by Israel.😒Their messaging v. what it is actually like. https://www.anera.org/blog/life-in-bethlehem/

What Life is Like in Bethlehem - Anera I’m from Bethlehem, Palestine. This is my home. My family has been rooted here for generations. I have spent my entire life in this city. anera.org

@GenXGirl1994 - GenXGirl

Holy Shit Guys! I just put all the events of the Influencer campaign that I can find on a timeline that I’ll post tomorrow morning (gotta do a double check) but WTF! For now, if u live in these states & go to church, you’re getting geofenced, tracked by your phone & targeted

@GenXGirl1994 - GenXGirl

I just published a timeline of events. Take a look.

@GenXGirl1994 - GenXGirl

x.com/i/article/1974…

@GenXGirl1994 - GenXGirl

@XindaliusAnzu You should tell people about this.

@GenXGirl1994 - GenXGirl

@AliceTinker1943 It’s bad… https://t.co/k00j3KwWID

@GenXGirl1994 - GenXGirl

@HoganKrist35514 Check the link I posted (2nd post)

@GenXGirl1994 - GenXGirl

@TagwichCrypto It’s because of the church leaders. They are the ones who are collaborating with the Israelis and profiting from it.

@GenXGirl1994 - GenXGirl

x.com/i/article/1974…

@GenXGirl1994 - GenXGirl

@GeekBohemian Cool. I’ll just shut up cause it’s not a big deal. 🥴

@GenXGirl1994 - GenXGirl

@Derek_Coffren Look into your church leaders and how are affiliated with the groups in this article.

@GenXGirl1994 - GenXGirl

x.com/i/article/1974…

@GenXGirl1994 - GenXGirl

@NOT2Bsilenced Really? Can you share the link please?

@GenXGirl1994 - GenXGirl

@7_7_7333 Fortunately, I don’t have this problem because I turned off all tracking on my phone which meant losing Siri functionality but so be it.

@GenXGirl1994 - GenXGirl

@TXJennyAgain Yes, I found out today that the churches on the list are all Protestant and that all Evangelicals are Protestant (I didn’t know this).

@GenXGirl1994 - GenXGirl

@nevadabrad Typing too fast. Expect typos from me from time to time.

Saved - October 13, 2025 at 10:00 PM
reSee.it AI Summary
I note Netanyahu claimed Israel’s intel livestreamed his UN speech to tapped Palestinian phones. Then Israel launched geofencing and a targeted Christian campaign in the US. If Christian churchgoers’ phones are geofenced and tracked, what prevents Israeli intel from tapping them like Palestinians?

@GenXGirl1994 - GenXGirl

ARE AMERICANS THE NEW PALESTINIANS? Sept 26, 2025: Netanyahu announced Israel Intel is live-streaming his UN speech to tapped/tracked cell phones of Palestinians in Gaza Sept 27, 2025: Israel launched the largest geofencing (cellphones) & targeted Christian campaign ever in the US So once Israel has geofenced and tracked cellphones of Christian church goers and students at Christian churches, what prevents Israeli intelligence from tapping those phones similar to Palestinians?

Video Transcript AI Summary
Speaker 0: Ladies and gentlemen, thanks to special efforts by Israeli intelligence, my words are now also being carried. They're streamed live to the cell phones of Gazans. So to the remaining Hamas leaders and to the jailers of our hostages, I now say, lay down your arms. Let my people go. Free the hostages, all of them, the whole 48. Free the hostages now. If you do, you will live. If you don't, Israel will hunt you down.
Full Transcript
Speaker 0: Ladies and gentlemen, thanks to special efforts by Israeli intelligence, my words are now also being carried. They're streamed live to the cell phones of Gazans. So to the remaining Hamas leaders and to the jailers of our hostages, I now say, lay down your arms. Let my people go. Free the hostages, all of them, the whole 48. Free the hostages now. If you do, you will live. If you don't, Israel will hunt you down.
Saved - October 11, 2025 at 5:37 AM
reSee.it AI Summary
I cover a controversial GOP visit to Israel, labeling 21 members as AIPAC‑bribed and promising Dem videos next, while claiming fear to publicly declare foreign influence. I note American anger over perceived genocide and protesters targeting reps, plus jabs at Cisneros and Hamadeh, and a running tally of who’s on the trip or posting. I also mention media questions about who’s actually participating and what the videos show.

@GenXGirl1994 - GenXGirl

As the @HouseGOP wraps up its vacation to genocidal Israel, here’s a recap of 21 @AIPAC bribed members on this trip. Up next, the Demon @HouseDemocrats GOP members in this video: @SpeakerJohnson @GOPMajorityWhip @RepJohnMcGuire @RepBobOnder @RepBaumgartner @RepCraigGoldman @RepBrianJack @RepFedorchak @RepBrandonGill @RepShreve @RepStutzman @RepGilCisneros @RepBrecheen @GReschenthaler @RepFine @RepHageman @RepTroyDowning @RepJeffHurd @TonyWied @RepMarkHarrisNC @RepDerekSchmidt

Video Transcript AI Summary
A group of U.S. congress members, mostly freshmen, traveled to Israel on an APAC-sponsored educational trip. They toured sites such as Yad Vashem, the Western Wall, and the Sea of Galilee, with discussions on Gaza and humanitarian concerns amid Hamas activity. A participant described Kibbutz Beree near Gaza with the October 7 attack context. The transcript includes a discussion of lobbying reform and travel restrictions: "An attempt was made to change the law so that all expenses paid trips would be considered a bribe." "I drafted legislation to try to reform the whole profession of lobbying to get rid of free travel and gifts from lobbyists." "The Honest Leadership and Open Government Act of 2007 significantly enhanced the travel restrictions that if you're an organization that employs a lobbyist, you can only provide a one day trip for a member of Congress." "There was a major loophole written into the travel restriction that was essentially engineered by APAC, and this loophole's widely known as the APAC Loophole." "The clause excluded educational trips organized by a charity that didn't hire lobbyists. APAC happened to be affiliated to such a charity." "It doesn't have an office. It doesn't have any employees. It's just a tax form that they filed. Gifts of dinner, gifts of wonderful resorts to stay at, gifts of entertainment, all of which is packed up into one of these trips is a very, very effective tool at influence peddling."
Full Transcript
Speaker 0: I just wanna say one big. Are you ready? Three, two, one. Shalom from Aziz. Speaker 1: We all have. Speaker 2: Hi. Mike Johnson, speaker of the house, United States congress super here in Jerusalem. I've just joined the APAC trip with all of our freshman members. The Republican members are on this trip, and Democrat members, will come in a couple of days. It's a great time, a very important time, a historic time to be here in Israel this year. Speaker 3: Congressman Craig Goldman. I represent the Twelfth District in Texas here in Israel. We've just toured Yad Vashem. I'm with the delegation of congressmen and congresswomen from all over The United States, mainly a freshman class delegation, and great thanks to APAC for sponsoring us while we're over here. Speaker 4: Well, yeah, I'm Bob Onder from Missouri's Third Congressional District. It is great to be here in Jerusalem. Speaker 0: Hello. I'm congressman John McGuire. I represent Virginia's Fifth New Brunswick. I'm here today in Israel. Speaker 4: Congressman Michael Baumgartner here enjoying a very interesting first day with APAC, your educational trip to, Israel. Speaker 0: House majority whip Tom Emmer here in Israel at the city of David with a group, a great group of members from congress. We're spending the week with APAC, really absorbing everything that is Israel. Speaker 5: Good afternoon. I'm Julie, George Chad. I am not the state of North Dakota, a large member in the state of North Dakota. I live in and I'm standing here near the Western Wall in Jerusalem. Speaker 4: I'm congressman Brian Jack from Georgia's Third Congressional District. And throughout this entire trip, we've learned just how imperative the investor's real relationship is to keeping us, Americans, safe and calm. I'm congressman Randy Fine. I represent the Sixth District Of Florida, but I'm also a proud Republican Jew, and it's an honor to be here with APEC in Israel. Speaker 6: Hi. This is Daria Hageman, and I represent the state of Wyoming. This was my first trip to Israel. Speaker 7: I'm Troy Downing. I represent Montana Second District. I'm here in Capernaum in Israel. Speaker 8: Everyone, this is congressman Jefford. I'm here on Speaker 9: the Sea Of Speaker 8: Galilee near the premise of Peter. It's wonderful to be here in Holy Land to Speaker 10: be Hi. I'm Tony Reed from Wisconsin's Eighth Congressional District. I'm here in Israel. Just very blessed to be here with the APAC and, other fellow members here in congress. Speaker 11: I'm congressman Mark Harris in North Carolina's Eighth Congressional District, right here in the streets of Jerusalem. And, what an honor it is and how grateful we are to be a part of this trip that APAC has has been a part of making a reality. Speaker 4: I'm Derek Schulman from Independence Kansas. I represent the Second Congressional District in Kansas, which is the eastern part of the state. We're here in Israel with a group of members of congress and other rep. Speaker 0: Congresswoman for Pennsylvania's Fourteenth Congressional District and chief deputy Webb. I'm here in Israel with a team of freshmen. Speaker 11: Congressman I'm Jefferson Shreeve. I'm a member of congress from Indiana, and I'm here with AIPAC as your guest. Speaker 12: Hi. I'm Marlon Stutzman from Indiana's Third Congressional District here with AIPAC in Israel. Speaker 13: From Joshua Keane, and this is my first time to Israel. It's been a whirlwind of of events that we've had a chance to get the history on. Behind me is Gaza and of course the ongoing problems that persist for the IDF trying to do the humanitarian thing of being able to go in and clear out that which is really the threat versus the civilians that are being used as the front and as Hamas is dropping into tunnels that are going up coming out of homes, hospitals, synagogues and not in soldiers uniforms and they are hiding behind the civilian population and the desire of Israel to to be able to, protect those that are innocent, but to deal with the threat has been so Speaker 1: I I am congressman Gil Cisneros. I represent California's 30 First Congressional District in Southern California. And I am on the AIEF Educational Foundation trip here in Israel. And today we just toured the Kibbutz Beree here in Israel next to Gaza and this was one of the Kibbutzes that was under attack on October 7. It was brutally attacked as we can see as we toured around here Looking at the different houses that have been burned and the pictures of the numerous victims everywhere in this area, it is really heart wrenching and devastating to see what took place here. Speaker 4: Hi. This is congressman Brandon Gill. I represent Texas' 20 Sixth Congressional District. We're here in Israel right now. Speaker 14: An attempt was made to change the law so that all expenses paid trips would be considered a bribe. Speaker 9: I drafted legislation to try to reform the whole profession of lobbying to get rid of free travel and gifts from lobbyists. The Honest Leadership and Open Government Act of 2007 significantly enhanced the travel restrictions that if you're an organization that employs a lobbyist, you can only provide a one day trip for a member of Congress. Speaker 14: Then APAC exerted its influence. Speaker 9: There was a major loophole written into the travel restriction that was essentially engineered by APAC, and this loophole's widely known as the APAC Loophole. Speaker 14: The clause excluded educational trips organized by a charity that didn't hire lobbyists. APAC happened to be affiliated to such a charity. Speaker 9: It doesn't have an office. It doesn't have any employees. It's just a tax form that they filed. Gifts of dinner, gifts of wonderful resorts to stay at, gifts of entertainment, all of which is packed up into one of these trips is a very, very effective tool at influence peddling.

@GenXGirl1994 - GenXGirl

I’ll post the Dem videos once they’re available. Looks like their group is much smaller which tells me more and more are afraid to publicly declare their foreign agent status. Good.

@TrackAIPAC - AIPAC Tracker

While Americans struggle at home, our ‘representatives’ are busy getting their AIPAC-sponsored photo ops in Israel. https://t.co/nzf8kTQVtH

@GenXGirl1994 - GenXGirl

Meanwhile back home…this is how Americans feel.

@upholdreality - COMBATE |🇵🇷

The public mauling of AIPAC representative of Wisconsin Bryan Steil https://t.co/c0ifg4GUYE

Video Transcript AI Summary
I want to have you address the question that was shouted about the starving children in Gaza. "Israel has a right to defend itself." "It's genocide." "You believe in genocide?" "I am so disappointed." "I am so disappointed in how you represent us." "I don't think you you're the right fit for us anymore." "You just don't relate to most of the places anymore and you gotta know when to step down." "I think it's time." The speaker critiques the leadership and calls for stepping down. They express disappointment with how they are represented. They state that the person is no longer a good fit.
Full Transcript
Speaker 0: Do you have a heart? You have a heart? Do Do you a heart? I want to have you address the question that was shouted about the starving children in Gaza. Israel has a right to defend itself. It's genocide. You believe in genocide? I am so disappointed. Yeah. I am so disappointed in how you represent us. I don't think you you're the right fit for us anymore. You just don't relate to most of the places anymore and you gotta know when to step down. I think it's time.

@GenXGirl1994 - GenXGirl

Here’s another one.

@CD7watermelon - Colorado CD7 Watermelon

Wheat Ridge Carnation Festival Part 2: After being yelled at for nearly five minutes, @reppettersen has had enough. She changes direction on the parade route in an attempt to evade protesters who are calling her out on her complicity in genocide. 🧵 https://t.co/wjsBL7VNgr

Video Transcript AI Summary
Audience confronts Britney with "How many kids did you kill today?"—repeated as she appears to run, feeling endangered. "She's going. Britney, Britney, why are you running?" and "She feels she feels endangered." The crowd notes, "Okay. So she's taking off," and continues: "She's taking off. You keep on ignoring us, Britney. This isn't okay. We've told you for too long." They insist, "All we want you to do is to stop taking APAC money." They demand, "Stop funding the bombs. Just listen. Kids are dying. Listen. Let's go, Britney." The scene depicts a tense confrontation with persistent accusations and demands.
Full Transcript
Speaker 0: How many kids did you kill today? Britney, Britney, what do you say? How many kids did you kill today? Britney, Britney, what do you say? How many kids did you kill today? She's going. Britney, Britney, why are you running? She feels she feels endangered. Okay. So she's taking off. She's taking off. You keep on ignoring us, Britney. This isn't okay. We've told you for too long. All we want you to do is to stop taking APAC money. Stop funding the bombs. Just listen. Kids are dying. Listen. Let's go, Britney.

@GenXGirl1994 - GenXGirl

So there are 21 GOP members on this trip and I just realized I added that little Dem traitor @RepGilCisneros to the GOP list by mistake. The 21st GOP traitor is @RepAbeHamadeh who either chose not to make a video or AIPAC hasn’t posted it yet. https://t.co/0n8mUWdNTh

@GenXGirl1994 - GenXGirl

@RepGilCisneros @RepAbeHamadeh Here’s another Israel shill getting called out in the Bronx. Love the America spirit to fight back! Ritchie Torres is scared for his re-election so he’s fake-caring about the kids in the Bronx.

@gaijingirl2004 - gaijingirl2004 Bronx Leftist/Green. 🦺 🇵🇸✡️

Today, Ritchie Torres (and a few other politicians & UJA) hosted a back-to-school giveaway in The Bx. Kids getting supplies for school? AWESOME! Ritchie's support of genocide (including kids he DOESN'T care about?) - HORRIBLE. So we came to cheer on kids & raise awareness.⬇️ https://t.co/Aq886ebO9c

@GenXGirl1994 - GenXGirl

@neo_quixote @HouseGOP @AIPAC @HouseDemocrats @SpeakerJohnson @GOPMajorityWhip @RepJohnMcGuire @RepBobOnder @RepBaumgartner I’m told most of them don’t even though it’s a very close trip (walking distance).

@GenXGirl1994 - GenXGirl

@dmancz @HouseGOP @AIPAC @HouseDemocrats @SpeakerJohnson @GOPMajorityWhip @RepJohnMcGuire @RepBobOnder @RepBaumgartner What is a FN?

@GenXGirl1994 - GenXGirl

@H95Bryan @HouseGOP @AIPAC @HouseDemocrats @SpeakerJohnson @GOPMajorityWhip @RepJohnMcGuire @RepBobOnder @RepBaumgartner Yes. I have a Dem video also. 3rd post in this thread.

@GenXGirl1994 - GenXGirl

Check out Israel’s promo vid for 250 US State lawmakers on an all-expense-paid trip, courtesy of Israel’s Ministry of Foreign Affairs They’ll get indoctrinated to: - Pass Anti-Boycott laws (37 States) - Pass IHRA Censorship laws (35 States) - Purchase Israel Junk Bonds (35 State/Local) - Pass economic development laws forcing states to import Israeli goods which crush state & local businesses

@IsraeliLobby - United States of Israel

@GoodPoliticGuy It’s not dozens. It’s 250 state lawmakers hand-selected by Israeli govt on a trip funded by the Israeli govt.

@GenXGirl1994 - GenXGirl

@neo_quixote @HouseGOP @AIPAC @HouseDemocrats @SpeakerJohnson @GOPMajorityWhip @RepJohnMcGuire @RepBobOnder @RepBaumgartner Is he on the trip? I didn’t see him.

Saved - October 11, 2025 at 2:30 AM

@GenXGirl1994 - GenXGirl

@Timcast Israel is one of the things that unites the right and left. But continue repeating Netanyahu’s line. Also, remember when you posted a fake pic & claimed it was a burned baby, just like the Israelis? https://t.co/xBLsdUqj5Q

Video Transcript AI Summary
Several social media influencers have spoken out after being offered financial and social incentives by pro Israeli lobbies to announce their support for Israel and to adjust their narrative in Israel's favor amidst Tel Aviv's war on Palestine's Gaza. An email sent by a global collective asked users to share content from its library. They sent out an entire campaign to content creators and influencers to support Israel. "$5,000 is when I was just offered to pledge my support to Israel, and I think this is absolutely disgusting. You cannot buy my support of a genocide."
Full Transcript
Speaker 0: Several social media influencers have spoken out after being offered financial and social incentives by pro Israeli lobbies to announce their support for Israel and to adjust their narrative in Israel's favor amidst Tel Aviv's war on Palestine's Gaza. An email sent by a global collective asked users to share content from its library. They sent out an entire campaign to content creators and influencers to support Israel. $5,000 is when I was just offered to pledge my support to Israel, and I think this is absolutely disgusting. You cannot buy my support of a genocide.
Saved - October 11, 2025 at 2:24 AM

@GenXGirl1994 - GenXGirl

If you had any hope that our compromised Dept of Justice would do anything, rest assured, they won’t. On her first day in office as Attorney General, @AGPamBondi DISBAND the Foreign Influence Task Force.

@gunclubprez - The Big D

@GenXGirl1994 @AGPamBondi https://www.fara.us/fara-directive-ag-bondi

AG Bondi Limits FARA Criminal Enforcement to Espionage AG Bondi's directive shifts FARA focus to civil enforcement, limiting criminal cases to espionage-like conduct by foreign government actors. fara.us
Saved - October 6, 2025 at 6:51 PM

@GenXGirl1994 - GenXGirl

x.com/i/article/1974…

Saved - October 6, 2025 at 2:31 PM
reSee.it AI Summary
I shared insights on Larry Ellison's potential control over U.S. media and TikTok, highlighting his past vetting of Marco Rubio for loyalty to Israel. AIPAC's leaked audio revealed Rubio's role as a government insider. I pointed out Rubio's extensive pro-Israel actions, including multiple sponsored acts and bypassing Congress to send arms to Israel. Additionally, I noted Oracle executives' strong pro-Israel stance, with reports of staff being counseled for insufficient support.

@GenXGirl1994 - GenXGirl

Drop Site News reports Larry Ellison who is poised to control US media & TikTok, vetted @SecRubio in 2015 for Fealty to Israel “He will be a great friend to Israel” @TheGrayzoneNews also reported leaked audio from AIPAC’s CEO describing Marco Rubio as their mole in the gov

@DropSiteNews - Drop Site

⚡️NEW from Drop Site: Larry Ellison Vetted Marco Rubio for Fealty to Israel, Hacked Emails Reveal The billionaire Oracle founder is on track to take control of the American media. By @RyanGrim and @MazMHussain https://www.dropsitenews.com/p/larry-ellison-vetted-marco-rubio-israel-hacked-emails-ron-prosor

Larry Ellison Vetted Marco Rubio for Fealty to Israel, Hacked Emails Reveal The billionaire Oracle founder is on track to take control of the American media. dropsitenews.com

@GenXGirl1994 - GenXGirl

AIPAC Leaked Audio

@GenXGirl1994 - GenXGirl

AIPAC’S SPIES INSIDE US FOREIGN POLICY & NATIONAL SECURITY MIKE WALTZ: NSC, Removed for Spying MARCO RUBIO: Sec of State & New NSC ELISE STEFANIK: Nominated UN Ambassador, withdrawn, Now Running for NY Governor DO YOU UNDERSTAND HOW IT WORKS? https://t.co/Inml6dv0QG

Video Transcript AI Summary
I was talking about the people who will get appointed to some of these jobs. Look at the top one, we can talk about Marco Rubio, little sympatic, and Michael Waltz. Wants to review about something in a gun. They
Full Transcript
Speaker 0: I was talking about the people who will get appointed to some of these jobs. Look at the top one, we can talk about Marco Rubio, little sympatic, and Michael Waltz. Wants to review about something in a gun. They

@GenXGirl1994 - GenXGirl

Marco Rubio

@GenXGirl1994 - GenXGirl

MARCO RUBIO - Secretary of State - Israel 1st Zionist, Spies for AIPAC - Hand Picked by Miriam Adelson - Deporting Students for criticism of Israel - Sponsored Stand With Israel Act - Sponsored Maintaining Our Ironclad Commitment to Israel’s Security Act - Sponsored Countering Hate Against Israel by Federal Contractors Act - Sponsored Israel Security Assistance Support Act - Bypassed Congress to send $4 Billion in Arms to Israel There are dozens. You can look https://www.congress.gov/member/marco-rubio/R000595

@GenXGirl1994 - GenXGirl

POLICE STATE, POLICING THOUGHT Today, Marco Rubio admitted deportation of students is not due to anything illegal but because of their “beliefs” Earlier today, ICE posted this (deleted now): ICE is using 400+ laws to STOP IDEAS from crossing the border. https://t.co/xT55vJcWt6

@GenXGirl1994 - GenXGirl

Watch this.

@hippyresident - 𝕻𝖆𝖓𝖓𝖘𝖙𝖎𝖌𝖆𝖙𝖔𝖗

Oracle - Larry Ellison - CEO of Everything https://t.co/8ecScI3iTR

Video Transcript AI Summary
Larry Ellison has officially surpassed Mark Zuckerberg to become the world's second richest person with a net worth of $251,200,000,000. Clearly you're saying whatever the NSA is doing is okay with me. It's great. The police will be on their best behavior because we record we're we're constantly recording, watching, and recording everything that's going on. Together, these world leading technology giants are announcing the formation of Stargate. So put that name down in your books. Once we gene sequence once we gene sequence that cancer tumor, you can then vaccinate the person, design a vaccine for every individual person to vaccinate them against that cancer. And you can make that vaccine, the that mRNA vaccine, you can make that robotically again using AI in about forty eight hours.
Full Transcript
Speaker 0: It's my honor to welcome three of the world's leading technology CEOs. And in the case of Larry, Larry Ellison, it's well beyond technology, sort of CEO of everything. Speaker 1: Larry Ellison has officially surpassed Mark Zuckerberg to become the world's second richest person with a net worth of $251,200,000,000. Speaker 0: Clearly you're saying whatever the NSA is doing is okay with me. It's great. Speaker 2: I wish yeah. It's great. It's essential. By the way, president Obama thinks it's essential. Speaker 3: I've I have been to Israel. I've been to the border. I have spent time to the people who govern the state of Israel. And, you know, I feel a deep a deep con emotional connection, to the state of Israel and the Israeli people. Speaker 2: The police will be on their best behavior because we record we're we're constantly recording, watching, and recording everything that's going on. Citizens will be on their best behavior because we're constantly recording and reporting everything that's going on. And but we transmit the video back to headquarters. So headquarters and and AI is constantly monitoring video. Speaker 0: Together, these world leading technology giants are announcing the formation of Stargate. So put that name down in your books. Speaker 4: Thank you, mister president. We certainly couldn't do this without you. Once we gene sequence once we gene sequence that cancer tumor, you can then vaccinate the person, design a vaccine for every individual person to vaccinate them against that cancer. And you can make that vaccine, the that mRNA vaccine, you can make that robotically again using AI in about forty eight hours.

@ggreenwald - Glenn Greenwald

Larry Ellison -- the Oracle mega-billionaire who has donated millions to the IDF -- just had his kid buy Paramount/CBS to have Bari Weiss run, is trying to buy CNN, and now will buy TikTok (with Andreessen Horowitz). Lucky break for Israel as its support collapses in the US.

@GenXGirl1994 - GenXGirl

Check this out.

@EliClifton - Eli Clifton

Executives at Oracle, the likely new owner of TikTok, are VERY outspoken in Israeli media about the company's "mission to support the State of Israel" & "unequivocal support for Israel." Insufficiently pro-Israel Oracle staff are sent for mental health counseling. [LINK BELOW] https://t.co/MlRx64bkJ9

Saved - October 4, 2025 at 7:24 PM

@GenXGirl1994 - GenXGirl

READ MEL’S POST!! Luke Moon (Gen Zion) organized the Netanyahu meeting with influencers and the Philos project brought their influencers to the meeting! The pieces are coming together. https://t.co/nnZedJPCPU

@Villgecrazylady - Mel

Chad Schnitger (middle) is the founder of the California chapter of the Faith & Freedom Coalition. The Faith & Freedom Coalition is the powerful conservative advocacy group founded by Ralph Reed (on Chad’s right). On July 31 Ralph Reed, along with Luke Moon of the Philos Project (Paul Singer’s baby), and Apostle Mario Bramnick (Latino Coalition for Israel) met with Yehuda Kaploun and representatives from the Israeli government, including Netanyahu’s son Yair, in an off-the-record meeting to discuss “the concerning woke-right defamation of Israel & the Jewish people.” They launched the Conference of Christian’s Presidents for Israel to confront and combat “growing antisemitism in the MAGA movement.” Four days later Bill Ackman held his intervention for Charlie Kirk in the Hamptons. Read the article below and then tell me how you think it went over that Charlie refused to cut ties with the people this meeting was literally being held over.

@GenXGirl1994 - GenXGirl

FARA docs files for “Show Faith by Works LLC,” registered as a foreign agent of Israel after receiving $325,881 through Havas Media (the affiliate of Bridge Partners LLC who received $900K for Israel Influencer campaign. Show Faith was registered on July 30 2025 & appears to https://t.co/NiReZYb9Ms

Saved - October 4, 2025 at 7:09 PM
reSee.it AI Summary
I discovered that "Show Faith by Works LLC" has registered as a foreign agent of Israel after receiving $325,881 from Havas Media for pro-Israel outreach. The business, managed by Chad J Schnitger, operates through a registered agent service and is linked to a broader $900K influencer campaign managed by Bridge Partners LLC. Influencers involved are reportedly violating FARA by not registering, despite receiving payments from a foreign government. Concerns have been raised about the disbanding of the Foreign Influence Task Force, which complicates oversight of these activities.

@GenXGirl1994 - GenXGirl

FARA docs files for “Show Faith by Works LLC,” registered as a foreign agent of Israel after receiving $325,881 through Havas Media (the affiliate of Bridge Partners LLC who received $900K for Israel Influencer campaign. Show Faith was registered on July 30 2025 & appears to only use a Registered Agent Service (you use this service if you do business in a state but don’t have an office). The listed Manager, Chad J Schnitger is also registered to 4 other businesses. On some, he’s only the registered agent and on others, as the employee or both.

@csalazar3084 - Cyn

🚨 * A newly formed California firm called “Show Faith by Works LLC,” has registered as a foreign agent of Israel after receiving $325,881 through Havas Media to conduct “pro-Israel outreach and marketing to Christians.”

@RepMTG - Rep. Marjorie Taylor Greene🇺🇸

It’s offensive to the American people that social media influencers can secretly pocket money to push propaganda without ever telling you who’s funding them. If TV and radio must disclose “brought to you by…,” then influencers should too. And if they’re being paid by a foreign

Video Transcript AI Summary
Speaker argues that social media influencers are paid under the table and that sponsors are hidden from the public. They describe two posts: the first calls for any influencer paid by a foreign country to register under FARA through the Department of Justice; the second proposes a badge, icon, or different color check mark to disclose payments, whether political, corporate sponsorships, or from a foreign government. The speaker says this disclosure should be made available to the American people and compares it to TV sponsorship disclosures. They emphasize that when influencers take money from foreign governments, it must be disclosed. They add that MAGA influencers who claim America First should be viewed as not America First if they take payments by a foreign government.
Full Transcript
Speaker 0: Here's the thing. Let's talk about the social media influencers. I made two posts about this today. I find it highly offensive as an American that social media influencers can get paid basically under the table, and no one knows who is paying them and and who is sponsoring them. So today I made two posts. I made one post calling for any social media influencer if they are getting paid by a foreign country that they have to register under FARA. They have to register under FARA on through the Department of Justice. The second post I made probably about an hour ago is I posted that, as a matter of fact, all social media influencers, they should have a badge or an icon or a different color check mark that lets the American people know that they take money for their post, whether it's political, corporate sponsorships, or, on behalf of a foreign government. I think it's I think these paid social media influencers need to, it's just like on TV on, you know, you have to talk about who is sponsoring your program. Broadcasters have to say this this message is brought to you by x y z. I think it could be the same for social media influencers. But the biggest part, Matt, is when it comes to them taking money from foreign governments, they should have to disclose that. They should have it should be made available to the American people. And especially our MAGA influencers that are so called America first, you know, the biggest message they need to hear is they're not America first if they're taking payments by a foreign government.

@GenXGirl1994 - GenXGirl

https://www.bizprofile.net/ca/san-diego/show-faith-by-works https://bizfileonline.sos.ca.gov/search/business/

Show Faith By Works LLC San Diego, CA - filing information Show Faith By Works LLC is a San Diego, CA based company incorporated on July 30, 2025. Filing details extracted from the California Secretary of State's Registry as of 8/5/2025. bizprofile.net

@GenXGirl1994 - GenXGirl

California Registration https://t.co/WUHAJLY1ro

@GenXGirl1994 - GenXGirl

The purpose of the business is anything California law permits. 🥴 https://t.co/vNGTMV2E5g

@GenXGirl1994 - GenXGirl

They are part of this.

@GenXGirl1994 - GenXGirl

Israel: DOJ FARA Filing Reveals Paid US Influencer Campaign Israel’s Esther Project - Jun-Dec 2025 Budget: $900K - Influencer Post Req.: 25-30/month - Posts are directed by Israel (see list of likely Influencers) Influencers in this program are violating FARA Influencers work for Israeli PR firm, Bridge Partners, LLC. Funds are transfer from Israel Ministry of Foreign Affairs to Havas (Bridge Partners’ German affiliate) and then transferred to Bridge Partners, LLC The $900K budget covers other expenditures such as setup & onboarding Two Israelis are listed as owners of Bridge Partners, LLC: - Uri Steinberg - Yair Levi Uri Steinberg’s LinkedIn shows he worked for Israel’s Ministry of Tourism for 11 years. In 2018, he opened Uri Steinberg Consulting. His LinkedIn Profile states: “I serve as a conduit between Israeli and American entities, helping them to connect with one other. Working primarily with the faith-based and travel trade communities, I create the bridges necessary for meeting our clients’ objectives. I apply productive strategies that serve to effectively overcome marketing and PR challenges.” Bridge Partners has a local address in Southeast DC, in a row house but does not have any other record on file besides the FARA registration. As sited in the Times of Israel article, Netanyahu’s recent meeting with US faith based influencers was part of this program. The organizers of the Netanyahu meeting is an entity called Gen Zion and its affiliate the Philos Project. Many of the influencers who attended the meeting are affiliated with one or both Christian organizations. Influencers who work under the direction of a foreign government & receive payments from them must register under FARA. The intent of FARA is not to have the Israel PR people register and have the Americans work under them without registration. @PamBondi and @DOJNatSec who is responsible for FARA must open investigations

@GenXGirl1994 - GenXGirl

@MlogicGr8Again 💯 We’re screwed.

@GenXGirl1994 - GenXGirl

Rep. Greene is absolutely right. All social media influencers working for a foreign gov need to register under FARA The problem is @AGPamBondi disband the Foreign Influence Task Force on her 1st day as AG Why would she do this when we are told this is a major problem? https://t.co/glDLDp3hRo

@RepMTG - Rep. Marjorie Taylor Greene🇺🇸

All social media influencers being paid by the Israeli government or ANY foreign government to promote a foreign country and a foreign country’s interests, must register under the Foreign Agents Registration Act (FARA) under the DOJ. “Foreign governments routinely engage in https://t.co/lT4ZyckVL9

Saved - October 2, 2025 at 10:57 PM

@GenXGirl1994 - GenXGirl

FARA registration shows Israel paid $900K for US Influencers from July-Dec 2025 This is a list of identified Pro-Israel Influencers who attended Israel Influencer events between Aug-Sept: - Israel365 Trip to Israel - Bill Ackman’s Hamptons Retreat - Natanyahu’s Influencer Event https://t.co/XS70EZwrza

@GenXGirl1994 - GenXGirl

Israel: DOJ FARA Filing Reveals Paid US Influencer Campaign Israel’s Esther Project - Jun-Dec 2025 Budget: $900K - Influencer Post Req.: 25-30/month - Posts are directed by Israel (see list of likely Influencers) Influencers in this program are violating FARA Influencers work for Israeli PR firm, Bridge Partners, LLC. Funds are transfer from Israel Ministry of Foreign Affairs to Havas (Bridge Partners’ German affiliate) and then transferred to Bridge Partners, LLC The $900K budget covers other expenditures such as setup & onboarding Two Israelis are listed as owners of Bridge Partners, LLC: - Uri Steinberg - Yair Levi Uri Steinberg’s LinkedIn shows he worked for Israel’s Ministry of Tourism for 11 years. In 2018, he opened Uri Steinberg Consulting. His LinkedIn Profile states: “I serve as a conduit between Israeli and American entities, helping them to connect with one other. Working primarily with the faith-based and travel trade communities, I create the bridges necessary for meeting our clients’ objectives. I apply productive strategies that serve to effectively overcome marketing and PR challenges.” Bridge Partners has a local address in Southeast DC, in a row house but does not have any other record on file besides the FARA registration. As sited in the Times of Israel article, Netanyahu’s recent meeting with US faith based influencers was part of this program. The organizers of the Netanyahu meeting is an entity called Gen Zion and its affiliate the Philos Project. Many of the influencers who attended the meeting are affiliated with one or both Christian organizations. Influencers who work under the direction of a foreign government & receive payments from them must register under FARA. The intent of FARA is not to have the Israel PR people register and have the Americans work under them without registration. @PamBondi and @DOJNatSec who is responsible for FARA must open investigations

Saved - October 2, 2025 at 8:13 PM
reSee.it AI Summary
I believe the ADL is behind a censorship campaign against Wikipedia after being banned by the platform in 2024. Recently, there was widespread discussion about this censorship, especially following Tucker Carlson's interview with @lsanger, who promotes ADL's views, including the idea that Israeli intelligence should influence Wikipedia. It's frustrating to see people supporting this censorship, as it highlights a long-standing issue of narrative control on Wikipedia since 2010. This cycle of ignorance continues to harm us.

@GenXGirl1994 - GenXGirl

ADL IS BEHIND THE CENSORSHIP CAMPAIGN AGAINST WIKIPEDIA In 2024, Wikipedia banned the ADL & ADL is trying to censor Wikipedia in retaliation. 2 days ago, everyone was (correctly) posting about ADL’s censorship. Then Tucker Carlson interviews @lsanger who sells ADL’s talking points to include suggesting Israel intelligence should manipulate Wikipedia and today, everyone is clapping for censorship of Wikipedia. FFS, who do you think has been controlling the narrative in Wikipedia since 2010?!? This ignorance is why we stab ourselves in the chest over and over again.

Video Transcript AI Summary
"Anti defamation league gets a green light." "Only for some. Yes." "You may not cite them." "You can't you can't find the Jewish perspective on the war so easily anymore." "Not to my knowledge, except now there is a congressional investigation." "I don't know if my tweet had anything to do with the start of that." "I think it had more to do with the reporting of Ashley Rinsberg." "And well, of course, Israel and I would add, Hindus are very bothered with the way that their ethnic groups are treated in Wikipedia." "And both of both a whole bunch of Jews and Hindus have been after me in the last couple of years saying, you've got to speak out." "You've got to speak out." "People who are organized have a way to push back against the lying." "I think that if, like, Israeli intelligence, for example, got together and made a real concerted effort to to fight against the this group of 40 Muslim activists that Ashley Rinsberg identified." "They might be able to make some inroads." "It really depends It's possible."
Full Transcript
Speaker 0: Anti defamation league gets a green light. Speaker 1: Only for some. Yes. If you're actually reporting about the about the Arab Speaker 0: The Israeli conflict? Speaker 1: Yes. Yes. Speaker 0: Okay. Speaker 1: You may not cite them. Speaker 0: Interesting. Speaker 1: So you can't you can't find the Jewish perspective on the war so easily anymore. Speaker 0: Did anyone do anything about it? What's that? Did anyone do anything about it? Speaker 1: Not to my knowledge, except now there is a congressional investigation. I don't know if my tweet had anything to do with the start of that. I don't think so. I think it had more to do with the reporting of Ashley Rinsberg. And well, of course, Israel and I would add, Hindus are very bothered with the way that their ethnic groups are treated in Wikipedia. And both of both of them, both both a whole bunch of Jews and a whole bunch of of Hindus have been after me in the last couple of years saying, you've got to speak out. You've got to help us. You know? And I've said, well, I don't really know a lot about the situation. I mean, there isn't a whole lot that I could do. Speaker 0: Of course. But the answer, what you're really saying is people who are organized have a way to push back against the lying. Speaker 1: For sure. For sure. I think that if, like, Israeli intelligence, for for example, got together and made a real concerted effort to to fight against the this group of 40 Muslim activists that Ashley Rinsberg identified. They might be able to make some inroads. Speaker 0: Oh, you think you think they might be able to do that? Speaker 1: Yeah. They might. Yeah. It really depends It's Speaker 0: possible. I'm just throwing that out there.

@GenXGirl1994 - GenXGirl

ADL’S ATTACK IS MUCH BIGGER -2013: Israel Says It Manipulates Wikipedia -2016: ADL Adopts IHRA Definition of Antisemitism & Becomes Israel’s Attack Dog -2024: Wikipedia Declares ADL Not Reliable -2025: ADL Claims Wikipedia is Manipulated by “Pro-Hamas” Actors & Congress Must Investigate -2025: House Committee on Oversight & Gov Reform members @RepNancyMace & @RepJamesComer launch an investigation for for the ADL But it’s SOOOOOO much more than that. @7SEES_ and I will break it down in our investigative reports. For now, watch this video for background.

Video Transcript AI Summary
"Goal of the day is to teach people how to edit in Wikipedia, which is the number one source of information today in the world." "The house oversight committee demanded Wikipedia turnover identifying info for users who may be spreading anti Israel content based on a report from who else? Our friends at the ADL." "one recent report raised troubling questions about potentially systematic efforts to advance anti Semitic and anti Israel information in Wikipedia articles related to conflicts with the state of Israel." "the Israeli regime regime's propaganda complex has dedicated courses and entire teams focused on editing Wikipedia so that it reflects their genocidal worldview." "Go to Wikipedia right now. Look up October 7 and see if there is any mention of the literal thousands of Palestinians who have been held hostage."
Full Transcript
Speaker 0: Goal of the day is to teach people how to edit in Wikipedia, which is the number one source of information today in the world. As a way of example, if someone searches the Gaza Flotilla, we wanna be there. We wanna be the the guys who influence what is written there, how it's written, and to ensure that it's balanced and Zionist in their nature. Speaker 1: This is from Glenn Greenwald. I'm relieved. I love his sarcasm. Glenn does snark pretty good. I like it. It has been three days since the US Congress took action for Israel. The neglect ended yesterday when the house oversight committee demanded Wikipedia turnover identifying info for users who may be spreading anti Israel content based on a report from who else? Our friends at the ADL. Alright. Let's bring her in. We've got some nonsense to get through here. This is funker. I don't know if you've seen this yet or not, but this is from, the, Committee on Oversight and Government Reform. This is from that tweet that I just read there from Glen. This is just the screenshots he provided. So as you can see here in the highlighted area, it says, we seek your assistance in obtaining documents and communications regarding individuals or specific accounts serving as Wikipedia volunteer editors who violated Wikipedia platform policies as well as your own efforts to thwart intentional organized efforts to inject bias into important and sensitive topics. Now just remember that they're saying this because this is something that they've been doing. Again, every accusation is a confession. Speaker 2: You're injecting bias right now. Speaker 1: Obviously. I mean, I am like so antisemitic. Speaker 2: You're like a booster shot of bias. Speaker 1: I need that on a shirt. I'm a booster shot of bias. I need that. Okay. So again, here in the highlighted area, one recent report raised troubling questions about potentially systematic efforts to advance anti Semitic and anti Israel information in Wikipedia articles related to conflicts with the state of Israel. And here you have editing for hate, how anti Israel and anti Jewish bias undermines Wikipedia's neutrality. Neutrality. Oh, it's funny. Here we go. Records, communications, or analysis pertaining to possible coordination within academic institutions or other organized efforts to edit or influence content identified as possibly violating Wikipedia policies, records showing identifying and unique characteristics of accounts such as names, IP addresses, registration dates, user activity logs for editors subject to actions by ARBCOMM, analysis conducted or reviewed by Wikimedia Foundation, patterns of manipulation or bias related to antisemitism and conflicts with the state of Israel. There's the full I just wanted to provide source documentation. I'm a big fan of source documentation. This I thought was funny from Jen and Munis. Many of the people on that committee claimed to be anti censorship during Biden's tenure. Brazen hypocrisy is almost unbearable. And as a free speech activist, this is literally the bane of my existence. Speaker 2: What's hypocritical about it? Name one thing. Speaker 1: Well, being anti censorship when it's under Biden and now being forced censorship because it benefits you politically. This is it drives me crazy, Speaker 2: and they all do it. Do do you know how to try any do I have to draw you a map? Speaker 1: Israel's Right. I know. It's just so they should just be able to get away with everything. I see. How dare you expect them to follow social norms and rules and laws and Speaker 2: You're afraid. Speaker 1: It's just crazy. They should I mean, they're god chosen. Just leave them alone. So here from Squirrel, the Israeli regime regime's propaganda complex has dedicated courses and entire teams focused on editing Wikipedia so that it reflects their genocidal worldview. And this is amazing. I actually have a video here. It's about five minutes, but I do wanna play it for you because it's my friend Nico Haus from over at HotSpot. And it is so good because he really gets into the nitty gritty. Let me this is another one. Forgot to sorry. Trying to solo things up as I go here. But he does a really great job of really breaking this down for you guys. Because, again, this is the exact same thing that Israel themselves have been doing for literal years. Gonna break it down for you. So check this out. Speaker 2: Interview with CNN. Jonathan Greenblatt, CEO of the ADL, says that Wikipedia just isn't scientist enough for the ADL's life. Speaker 3: I mean, we think about it as this decentralized, you know, volunteer led resource. In fact, it's being manipulated by small groups of editors with an ideological agenda, and we found clear evidence, 18 times more likely a small group of people to communicate in their group communications. We found Speaker 2: Yeah. Speaker 3: Tandem editing where they coordinate their edits in clear violation of the rules. We found block voting on decisions. And here's why it matters, Joe. These individuals invisibly, you know, beyond the reach of what most people see, 30 or so people are able to manipulate articles on antisemitism, on Israel, on The Middle East. Speaker 2: Now the short version went a little something like anti Semite, anti Semite, anti Semite, anti Semite. But in all seriousness, the reality is the accusation that Jonathan made about Wikipedia being antisemitic, the complaints that a small group of editors are making all the decisions, and they're not being transparent as to how they're making those decisions, and that there is an anti Israeli bias within Wikipedia is fucking hilariously ironic. Because clearly before Jonathan did this interview, no one sent him this video of the former prime minister of Israel, Naftali Bennett, saying they, Israel, are training Wikipedia editors to push a pro Zionist agenda. Verbatim, he admits it. Speaker 0: Wet'suftiyeh, in conjunction with my Israel, has arranged instruction day for wiki editors. The goal of the day is to teach people how to edit in Wikipedia, which is the number one source of information today in the world. As a way of example, if someone searches the Gaza Flotilla, we wanna be there. We wanna be the the guys who influence what is written there, how it's written, and to ensure that it's balanced and, Zionist in their nature. Speaker 2: And ladies and gentlemen, this was years ago when people actually had confidence that Wikipedia was doing its best to be objective and unbiased when in reality, there was a small group of editors pushing Zionist propaganda without letting the people know what their goal is, the very thing Jonathan is complaining about. And although Wikipedia might tell a little bit of the truth about Israel because they have no choice now. The information is so widely available. They still leave out the important facts regarding even what happened on October 7, the days leading up to it, the days after. For example, go to Wikipedia right now. Look up October 7 and see if there is any mention of the literal thousands of Palestinians who have been held hostage, which is actually what led to the October to begin with. Or the fact that they're only claiming that 14 Israeli civilians were killed by the Hannibal directive when Israel's own media admits that there was way more Israelis killed by the Hannibal directive than just 14. Go to Wikipedia and look right now if you see any mention of the sexual predatory behavior that Israel had participated in since October 7. The very same predatory behavior they accused Hamas of participating in with zero proof till this day. Or the fact that since October 7, they've used that attack to justify killing people in the West Bank when there is no Hamas in the West Bank. And October 7 and Hamas in Gaza have nothing to do with the West Bank. Outside of the fact that Palestinians also live in the West Bank, and they also wanna annex that land from Palestinians. So let's be clear. Even though Wikipedia might tell a little bit of the truth about Israel, this is the same Wikipedia that's unwilling to call what's happening right now a genocide. They're just calling it a war in Gaza. In other words, they're still protecting you, Zionists. They're still protecting Israel. It's just that they won't lie enough for you, and anyone who isn't willing to tell a whole life of Israel must be anti Semitic. Speaker 1: Right? Speaker 2: But let's be clear, Jonathan. You don't have a problem with 30 or 40 people making all of the editing decisions for Wikipedia. You just have a problem whenever it isn't your 30 or 40 people making all of the decisions. Because when Naftali Bennett openly admitted that that was what your goal was as a Zionist, you didn't have any complaints. But now you do. I'm sorry, brother. When you commit a genocide in front of the entire world for a whole year, it's kind of hard for people to ignore it, and that includes Wikipedia. If you don't want people calling you genocidal, maybe you should, I don't know, stop committing genocide. Just a thought.

@GenXGirl1994 - GenXGirl

Alright boys & girls, @7SEES_ & I have such an amazing exposé for you! What do Eric Trump, Don Jr, Hut 8, American Bitcoin, ADL, Israel, Wikipedia, Crypto & Manipulating AI have in common? Put on your learning hats cause this one’s gonna require submersive learning. Coming

Saved - October 2, 2025 at 10:13 AM
reSee.it AI Summary
I highlighted the evolving role of the ADL in relation to Israel and Wikipedia over the years. In 2013, Israel admitted to manipulating Wikipedia. By 2016, the ADL adopted the IHRA definition of antisemitism, positioning itself as a defender of Israel. Fast forward to 2024, when Wikipedia deemed the ADL unreliable. In 2025, the ADL accused Wikipedia of being influenced by pro-Hamas individuals, prompting a congressional investigation led by @RepNancyMace and @RepJamesComer. I plan to delve deeper into this topic with @7SEES_ in upcoming reports.

@GenXGirl1994 - GenXGirl

ADL’S ATTACK IS MUCH BIGGER -2013: Israel Says It Manipulates Wikipedia -2016: ADL Adopts IHRA Definition of Antisemitism & Becomes Israel’s Attack Dog -2024: Wikipedia Declares ADL Not Reliable -2025: ADL Claims Wikipedia is Manipulated by “Pro-Hamas” Actors & Congress Must Investigate -2025: House Committee on Oversight & Gov Reform members @RepNancyMace & @RepJamesComer launch an investigation for for the ADL But it’s SOOOOOO much more than that. @7SEES_ and I will break it down in our investigative reports. For now, watch this video for background.

Video Transcript AI Summary
Goal of the day is to teach people how to edit in Wikipedia, which is the number one source of information today in the world. As a way of example, if someone searches the Gaza Flotilla, we wanna be there. We wanna be the the guys who influence what is written there, how it's written, and to ensure that it's balanced and Zionist in their nature. Three days after the US Congress action, the House Oversight Committee demanded Wikipedia turn over identifying info for users who may be spreading anti Israel content based on a report from our ADL. Screenshots show: "we seek your assistance in obtaining documents and communications regarding individuals or specific accounts serving as Wikipedia volunteer editors who violated Wikipedia platform policies as well as your own efforts to thwart intentional organized efforts to inject bias into important and sensitive topics." Also: "one recent report raised troubling questions about potentially systematic efforts to advance anti Semitic and anti Israel information in Wikipedia articles related to conflicts with the state of Israel." Records show identifying characteristics of accounts, IP addresses, registration dates, user activity logs for editors subject to ARBCOMM, analysis by Wikimedia Foundation, patterns of manipulation or bias related to antisemitism and conflicts with the state of Israel. Jen and Munis: "Many of the people on that committee claimed to be anti censorship during Biden's tenure. The brazen hypocrisy is almost unbearable." Squirrel: "the Israeli regime regime's propaganda complex has dedicated courses and entire teams focused on editing Wikipedia so that it reflects their genocidal worldview." A Nico Haus video argues this is "the exact same thing that Israel themselves have been doing for literal years." Jonathan Greenblatt, CEO of the ADL, says that Wikipedia just isn't scientist enough for the ADL's life; "18 times more likely a small group of people to communicate in their group communications," tandem editing, and "30 or so people are able to manipulate articles on antisemitism, on Israel, on The Middle East." Naftali Bennett: "Wet'suftiyeh, in conjunction with my Israel, has arranged instruction day for wiki editors. The goal of the day is to teach people how to edit in Wikipedia, which is the number one source of information today in the world. As a way of example, if someone searches the Gaza Flotilla, we wanna be there. We wanna be the the guys who influence what is written there, how it's written, and to ensure that it's balanced and, Zionist in their nature." They claim Wikipedia protects Zionists and still omits key facts, such as regarding October 7 or the West Bank, and conclude with a pointed remark about genocide.
Full Transcript
Speaker 0: Goal of the day is to teach people how to edit in Wikipedia, which is the number one source of information today in the world. As a way of example, if someone searches the Gaza Flotilla, we wanna be there. We wanna be the the guys who influence what is written there, how it's written, and to ensure that it's balanced and Zionist in their nature. Speaker 1: This is from Glenn Greenwald. I'm relieved. I love his sarcasm. Glenn does snark pretty good. I like it. It has been three days since the US Congress took action for Israel. The neglect ended yesterday when the house oversight committee demanded Wikipedia turn over identifying info for users who may be spreading anti Israel content based on a report from who else? Our friends at the ADL. Alright. Let's bring her in. We've got some nonsense to get through here. This is funker. I don't know if you've seen this yet or not, but this is from, the, Committee on Oversight and Government Reform. This is from that tweet that I just read there from Glen. This is just the screenshots he provided. So as you can see here in the highlighted area, says, we seek your assistance in obtaining documents and communications regarding individuals or specific accounts serving as Wikipedia volunteer editors who violated Wikipedia platform policies as well as your own efforts to thwart intentional organized efforts to inject bias into important and sensitive topics. Now just remember that they're saying this because this is something that they've been doing. Again, every accusation is a confession. Speaker 2: You're injecting bias right now. Speaker 1: Obviously. I mean, I am like so antisemitic. Speaker 2: You're like a booster shot of bias. Speaker 1: I need that on a shirt. I'm a booster shot of bias. I need that. Okay. So again, here in the highlighted area, one recent report raised troubling questions about potentially systematic efforts to advance anti Semitic and anti Israel information in Wikipedia articles related to conflicts with the state of Israel. And here you have editing for hate, how anti Israel and anti Jewish bias undermines Wikipedia's neutrality. Neutrality. Oh, it's funny. Here we go. Records, communications, or analysis pertaining to possible coordination within academic institutions or other organized efforts to edit or influence content identified as possibly violating Wikipedia policies, records showing identifying and unique characteristics of accounts such as names, IP addresses, registration dates, user activity logs for editors subject to actions by ARBCOMM, analysis conducted or reviewed by Wikimedia Foundation, patterns of manipulation or bias related to antisemitism and conflicts with the state of Israel. There's the full I just wanted to provide source documentation. I'm a big fan of source documentation. This I thought was funny from Jen and Munis. Many of the people on that committee claimed to be anti censorship during Biden's tenure. The brazen hypocrisy is almost unbearable. And as a free speech activist, this is literally the bane of my existence. Speaker 2: What's hypocritical about it? Name one thing. Speaker 1: Well, being anti censorship when it's under Biden and now being forced censorship because it benefits you politically. This is it drives me crazy, Speaker 2: and they all do it. Do do you know how to try any do I have to draw you a map? Speaker 1: Israel's Right. I know. It's just so they should just be able to get away with everything. I see. How dare you expect them to follow social norms and rules and laws and Speaker 2: You're afraid. Speaker 1: It's just crazy. They should I mean, they're god chosen. Just leave them alone. So here from Squirrel, the Israeli regime regime's propaganda complex has dedicated courses and entire teams focused on editing Wikipedia so that it reflects their genocidal worldview. And this is amazing. I actually have a video here. It's about five minutes, but I do wanna play it for you because it's my friend Nico Haus from over at HotSpot. And it is so good because he really gets into the nitty gritty. Let me this is another one. Forgot to sorry. Trying to solo things up as I go here. But he does a really great job of really breaking this down for you guys. Because, again, this is the exact same thing that Israel themselves have been doing for literal years. He's gonna break it down for you. So check this out. Speaker 2: Interview with CNN. Jonathan Greenblatt, CEO of the ADL, says that Wikipedia just isn't scientist enough for the ADL's life. Speaker 3: I mean, we think about it as this decentralized, you know, volunteer led resource. In fact, it's being manipulated by small groups of editors with an ideological agenda, and we found clear evidence, 18 times more likely a small group of people to communicate in their group communications. We found Speaker 2: Yeah. Speaker 3: Tandem editing where they coordinate their edits in clear violation of the rules. We found block voting on decisions. And here's why it matters, Joe. These individuals invisibly, you know, beyond the reach of what most people see, 30 or so people are able to manipulate articles on antisemitism, on Israel, on The Middle East. Speaker 2: Now the short version went a little something like anti Semite, anti Semite, anti Semite, anti Semite. But in all seriousness, the reality is the accusation that Jonathan made about Wikipedia being antisemitic, the complaints that a small group of editors are making all the decisions, and they're not being transparent as to how they're making those decisions, and that there is an anti Israeli bias within Wikipedia is fucking hilariously ironic. Because clearly before Jonathan did this interview, no one sent him this video of the former prime minister of Israel, Naftali Bennett, saying they, Israel, are training Wikipedia editors to push a pro Zionist agenda. Verbatim, he admits it. Speaker 0: Wet'suftiyeh, in conjunction with my Israel, has arranged instruction day for wiki editors. The goal of the day is to teach people how to edit in Wikipedia, which is the number one source of information today in the world. As a way of example, if someone searches the Gaza Flotilla, we wanna be there. We wanna be the the guys who influence what is written there, how it's written, and to ensure that it's balanced and, Zionist in their nature. Speaker 2: And ladies and gentlemen, this was years ago when people actually had confidence that Wikipedia was doing its best to be objective and unbiased when in reality, there was a small group of editors pushing Zionist propaganda without letting the people know what their goal is, the very thing Jonathan is complaining about. And although Wikipedia might tell a little bit of the truth about Israel because they have no choice now. The information is so widely available. They still leave out the important facts regarding even what happened on October 7, the days leading up to it, the days after. For example, go to Wikipedia right now. Look up October 7 and see if there is any mention of the literal thousands of Palestinians who have been held hostage, which is actually what led to the October to begin with. Or the fact that they're only claiming that 14 Israeli civilians were killed by the Hannibal directive when Israel's own media admits that there was way more Israelis killed by the Hannibal directive than just 14. Go to Wikipedia and look right now if you see any mention of the sexual predatory behavior that Israel had participated in since October 7. The very same predatory behavior they accused Hamas of participating in with zero proof till this day. Or the fact that since October 7, they've used that attack to justify killing people in the West Bank when there is no Hamas in the West Bank. And October 7 and Hamas in Gaza have nothing to do with the West Bank. Outside of the fact that Palestinians also live in the West Bank, and they also wanna annex that land from Palestinians. So let's be clear. Even though Wikipedia might tell a little bit of the truth about Israel, this is the same Wikipedia that's unwilling to call what's happening right now a genocide. They're just calling it a war in Gaza. In other words, they're still protecting you, Zionists. They're still protecting Israel. It's just that they won't lie enough for you, and anyone who isn't willing to tell a whole life of Israel must be anti Semitic. Speaker 1: Right? Speaker 2: But let's be clear, Jonathan. You don't have a problem with 30 or 40 people making all of the editing decisions for Wikipedia. You just have a problem whenever it isn't your 30 or 40 people making all of the decisions. Because when Naftali Bennett openly admitted that that was what your goal was as a Zionist, you didn't have any complaints. But now you do. I'm sorry, brother. When you commit a genocide in front of the entire world for a whole year, it's kind of hard for people to ignore it, and that includes Wikipedia. If you don't want people calling you genocidal, maybe you should, I don't know, stop committing genocide. Just a thought.

@GenXGirl1994 - GenXGirl

Alright boys & girls, @7SEES_ & I have such an amazing exposé for you! What do Eric Trump, Don Jr, Hut 8, American Bitcoin, ADL, Israel, Wikipedia, Crypto & Manipulating AI have in common? Put on your learning hats cause this one’s gonna require submersive learning. Coming soon.

Saved - October 2, 2025 at 2:01 AM
reSee.it AI Summary
I've been exploring the financial strategies behind Israel's influence campaigns, revealing over $190 million allocated for propaganda efforts, including $40 million specifically for influencers. Notably, $600,000 was spent on a bot army, and $1.5 million monthly goes to Trump’s former campaign manager to engage Gen Z influencers. There's also concern over the disbanding of the Foreign Influence Task Force by Pam Bondi, raising questions about transparency in foreign lobbying. Influencer events in Israel have drawn significant attention, highlighting the extensive network at play.

@GenXGirl1994 - GenXGirl

ISRAEL’S 8TH FRONT WAR - $40M+ for Propaganda-$190M total - $24M for Influencers - $16M for Israel Trips - Target TikTok & X - TikTok Sold to Zionists - $600K to Dem PR for Bot Army - $1.5M to Trump Campaign Mgr for AI Propaganda - @AGPamBondi Disband Foreign Influence Task Force

Video Transcript AI Summary
Israel just approved another $40,000,000 boost to their global propaganda budget, on top of a $150,000,000 increase over what they had already been doing. $24,000,000 of that is for 'global influence campaigns' and $16,000,000 is to finance international delegations visiting Israel. They fund your trip—flights from New York to Tel Aviv, hotels, free food and drinks, travel; your entire trip is paid for—and they send good looking IDF soldiers around with you, described as 'HEXAS type of soldiers.' The conversation links this to influencing American media, noting Brad Parscale and Clock Tower, which will integrate its pro Israel messaging into Salem Media Network properties; Salem Media Network did not respond to a question about compensation for promoting messages on behalf of Israel. It discusses ChatGPT and Wikipedia absorbing propaganda into AI systems, and mentions SKDK Knickerbocker's bot-farm campaign and Democratic involvement.
Full Transcript
Speaker 0: Citing Haaretz actually, that Israel just approved another $40,000,000 boost to their global propaganda budget. This is on top of a $150,000,000 increase over what they had already been doing. $24,000,000 of that is for quote global influence campaigns and $16,000,000 is to finance international delegations visiting Israel. So these are the, whether it's lawmakers or influencers, they fund your trip, flights from New York to Tel Aviv, nice hotels, free food and drinks, travel, your entire trip is paid for. They send good looking IDF soldiers around with you. It's this whole shtick. Speaker 1: HEXAS type of soldiers. Speaker 0: Yeah, exactly. Yes. BMI is appropriate for that. HEXAS would be Speaker 1: No beards. Speaker 0: Not ashamed, no beards. No bearded. Try to give them a good time, and then they go back and they have warm feelings and they meet people who dangle future opportunities. This is much more direct like here's $7,000 say something nice about us on TikTok. Then they have the problem of, oh, but nobody wants to hear that. So they're so they then they take over TikTok and juice the algorithm so that you have to hear it. Like, it's just gonna show up in your for you page. Well, that's an important point. Speaker 1: Yeah. So this is something that Nick Cleveland Stat reports over at Quincy, which is I actually think getting underreported. This is coming from Brad Pesch Parscale Mhmm. Also. Speaker 0: And Or Trump campaign manager. Speaker 1: Right. And part of this is also about I'm trying to find the exact part where Nick mentions this, but part of it is also about gaming ChatGPT Mhmm. And AI search engine. It's it's like specifically in what Nick reports on. He has a new this is this is Speaker 0: what it is. So he Speaker 1: did a follow-up, and it outlines the Brad Parkescale of it all. And Brad Parkescale is also this is this is coming to Salem Media Group. Did you did you catch this part of it? So Clock Tower, I think that's Parkescale's group, will integrate its pro Israel messaging into Salem Media Network properties, a conservative Christian media group that boasts a vast radio network and produces high high profile shows such as Hugh Hewitt, Larry Elder, Right View with Laura Trump, and April, the conservative media network, Donald Trump Jr. And Laura Trump as significant stakeholders in the new company. Salem Media Network did not respond to a question clarifying whether it would be compensated by Klot Tower for promoting messages on behalf of Israel or how these messages would be integrated. That is American media. Speaker 0: Right. Speaker 1: That's that is actually some, like, conservative news outlets that could be then infiltrated by paid paid propaganda. There's a Speaker 0: difference, and that's not a distinction without Speaker 1: a difference. Propaganda is propaganda. Yes. When people are actually getting paid by foreign government to do propaganda in a sensible news outlets, that's a completely different ballgame. Speaker 0: Yeah. So so follow the money here. So well, I guess the money starts in The United States, so it is American taxpayer money, but so then we we subsidize Israel. Israel uses the money then to send to Brad Parscale, the Trump campaign manager, who then gives it to Lara Trump and other people presumably in order to foist Israeli propaganda into these media properties because ChatGPT is trained to believe that these media properties have some level of reliability and substance to them. ChatGPT is probably told, don't just scrape things from government propaganda websites and then believe it to be the case. It's more reliable to trust news sources rather than direct propaganda. So you pay to have the propaganda then smothered into the news properties, these right wing news properties, and then ChatGPT absorbs it into its code, and then when you ask ChatGPT, you know, is Israel good? ChatGPT responds based on the raw material that it's producing from these news shows, which then also can then they have Wikipedia armies that then try to edit Wikipedia articles sourcing to these news shows that they have fought internally inside Wikipedia to get labeled as credible news sources, and then you tilt Wikipedia and then Wikipedia becomes raw material for ChatGPT and other AI as well too because within a few years, everyone's understanding of reality will be shaped by whatever these AIs tell them is the reality. So there's this massive arms race to shape what that reality is gonna look like. Speaker 1: And by way, this happened right after Nick mentions this. We probably mentioned this on the show, but the SKDK Knickerbocker campaign to run a bot farm for the Israeli narrative True. A staggle Speaker 0: group thing that we reported on. Yeah. Speaker 1: Right. Yeah. Exactly. So this is coming you know, lest you think it is is just conservative media that's being infiltrated, Democrats are taking money to to infiltrate social media with these Yeah. Narratives as well, which is man. Speaker 0: No. And it and it can't happen a moment too soon for Israel because let's take a look at the trash that they're that they're currently putting out.

@GenXGirl1994 - GenXGirl

FARA registration shows Israel paid $900K for US Influencers from July-Dec 2025 This is a list of identified Pro-Israel Influencers who attended Israel Influencer events between Aug-Sept: - Israel365 Trip to Israel - Bill Ackman’s Hamptons Retreat - Natanyahu’s Influencer Event

@GenXGirl1994 - GenXGirl

Israel: DOJ FARA Filing Reveals Paid US Influencer Campaign Israel’s Esther Project - Jun-Dec 2025 Budget: $900K - Influencer Post Req.: 25-30/month - Posts are directed by Israel (see list of likely Influencers) Influencers in this program are violating FARA Influencers work

@GenXGirl1994 - GenXGirl

SKDK - Israel Bot Army $600K https://readsludge.com/2025/09/15/democratic-pr-firm-to-run-bot-army-for-israel/

Democratic PR Firm to Run Bot Army for Israel A new FARA document reveals SKDK's plan to "flood the zone" with social media bots as part of its $600,000 contract with Israel. readsludge.com

@imeupolicy - IMEU Policy Project

Former State Department Spokesperson Vedant Patel was tasked with defending the White House's support for Israel's genocide in front of the press. Today he is senior VP of SKDK, a consulting firm registered as a foreign agent of Israel under the Foreign Agents Registration Act. https://t.co/4QC8BW5lJS

@GenXGirl1994 - GenXGirl

Former Trump Campaign Manager - $1.5M

@MaxBlumenthal - Max Blumenthal

Israel has hired Trump’s former campaign manager, Brad Parscale, to the tune of $1.5 million a month to recruit Gen Z influencers and “combat antisemitism” (read: lobby for censorship) https://t.co/LdxLg9Y8rW

@GenXGirl1994 - GenXGirl

Pam Bondi Disband the Foreign Influence Task Force at DOJ. This is the group that investigated FARA violations.

@GenXGirl1994 - GenXGirl

Rep. Greene is absolutely right. All social media influencers working for a foreign gov need to register under FARA The problem is @AGPamBondi disband the Foreign Influence Task Force on her 1st day as AG Why would she do this when we are told this is a major problem? https://t.co/glDLDp3hRo

@RepMTG - Rep. Marjorie Taylor Greene🇺🇸

All social media influencers being paid by the Israeli government or ANY foreign government to promote a foreign country and a foreign country’s interests, must register under the Foreign Agents Registration Act (FARA) under the DOJ. “Foreign governments routinely engage in https://t.co/lT4ZyckVL9

@GenXGirl1994 - GenXGirl

Link to full episode: https://youtu.be/7JB4Sv7zz5U?si=Mu3-j8Suhbi6cwQs

Saved - October 1, 2025 at 12:51 PM
reSee.it AI Summary
I discovered that Israel's Esther Project has a $900K budget for a paid influencer campaign in the U.S. from June to December 2025, requiring 25-30 posts monthly. Influencers are directed by the Israeli PR firm Bridge Partners, LLC, which receives funds from the Israeli Ministry of Foreign Affairs. This raises concerns about compliance with the Foreign Agents Registration Act (FARA). I also noted a list of pro-Israel influencers who attended various events, collectively reaching 11 million people. I'll continue tracking their growth across platforms.

@GenXGirl1994 - GenXGirl

Israel: DOJ FARA Filing Reveals Paid US Influencer Campaign Israel’s Esther Project - Jun-Dec 2025 Budget: $900K - Influencer Post Req.: 25-30/month - Posts are directed by Israel (see list of likely Influencers) Influencers in this program are violating FARA Influencers work for Israeli PR firm, Bridge Partners, LLC. Funds are transfer from Israel Ministry of Foreign Affairs to Havas (Bridge Partners’ German affiliate) and then transferred to Bridge Partners, LLC The $900K budget covers other expenditures such as setup & onboarding Two Israelis are listed as owners of Bridge Partners, LLC: - Uri Steinberg - Yair Levi Uri Steinberg’s LinkedIn shows he worked for Israel’s Ministry of Tourism for 11 years. In 2018, he opened Uri Steinberg Consulting. His LinkedIn Profile states: “I serve as a conduit between Israeli and American entities, helping them to connect with one other. Working primarily with the faith-based and travel trade communities, I create the bridges necessary for meeting our clients’ objectives. I apply productive strategies that serve to effectively overcome marketing and PR challenges.” Bridge Partners has a local address in Southeast DC, in a row house but does not have any other record on file besides the FARA registration. As sited in the Times of Israel article, Netanyahu’s recent meeting with US faith based influencers was part of this program. The organizers of the Netanyahu meeting is an entity called Gen Zion and its affiliate the Philos Project. Many of the influencers who attended the meeting are affiliated with one or both Christian organizations. Influencers who work under the direction of a foreign government & receive payments from them must register under FARA. The intent of FARA is not to have the Israel PR people register and have the Americans work under them without registration. @PamBondi and @DOJNatSec who is responsible for FARA must open investigations

@GenXGirl1994 - GenXGirl

Original Source: Responsible Statecraft: https://responsiblestatecraft.org/israel-influencers-netanyahu/ FARA Doc: https://efile.fara.gov/docs/7652-Exhibit-AB-20250926-1.pdf Uri Steinberg (Partner, Bridge Partners, LLC), Registered Agent of Israel: https://www.linkedin.com/mwlite/profile/in/uri-steinberg-09130616?originalSubdomain=il https://www.uristeinberg.com/ Israel Times basically copy/pasted the above article: https://www.timesofisrael.com/israels-secret-esther-project-doj-filings-reveal-paid-us-influencer-campaign/

Israel is paying influencers $7,000 per post Netanyahu referred this week to a 'community' pushing out preferred messaging in US media — and boy are they making a princely sum responsiblestatecraft.org
LinkedIn Login, Sign in | LinkedIn Login to LinkedIn to keep in touch with people you know, share ideas, and build your career. linkedin.com
HOME | Uri Steinberg uristeinberg.com
Inside Israel’s ‘Esther Project’: DOJ filings reveal paid US influencer campaign As officials call social media the current war's 'eighth front,' new documents reveal how Jerusalem is paying to shape US opinion, amid a separate AI-powered PR blitz timesofisrael.com

@GenXGirl1994 - GenXGirl

This is a list of Pro-Israel Influencers who attended the following Israel or Pro-Israel event between August - Sept: - Israel365 Trip to Israel - Bill Ackman’s Hamptons Retreat - Natanyahu’s Influencer Event Collectively, these influencers have a reach of 11 Million https://t.co/TjERfycUKx

@GenXGirl1994 - GenXGirl

Influencers work for Israeli PR firm, Bridge Partners, LLC. Funds are transferred from Israel Ministry of Foreign Affairs to Havas (Bridge Partners’ German affiliate) & then transferred to Bridge Partners, LLC The $900K budget covers other expenditures such as setup & onboarding https://t.co/04r62zg4qf

@GenXGirl1994 - GenXGirl

@write_diligent Look across the platforms. Most have at least 1-2 that are big. There are only a few (I think like 3) that are small account. I’m going to track to see how fast they grow.

@GenXGirl1994 - GenXGirl

@1spark2ignite @MazeLove14 lol. For sure.

Saved - September 29, 2025 at 7:50 AM
reSee.it AI Summary
I shared insights on the narrative surrounding TikTok and its alleged ties to the CCP. From October to December 2023, TikTok became a platform for discussing Israel-related truths. In December, Zionist investor Anthony Goldbloom funded a report by the NCRI, claiming CCP control over TikTok. He later wrote an article advocating for a ban based on this report. Although Congress initially failed to act, by March 2024, the Israel lobby intensified its efforts, leading to Congress ultimately banning TikTok.

@GenXGirl1994 - GenXGirl

Did You Know Zionists Were Behind the TikTok CCP Narrative 1) Oct-Dec 2023, TikTok was top app for Israel truth 2) Dec 2023, Zionist tech investor Anthony Goldbloom commissioned NCRI (Israeli funded/managed NGO) to produce a report claiming China’s CCP controls TikTok. After the report was complete, Goldbloom wrote an article in Time Magazine making the case that TikTok should be banned because of the CCP. The evidence he cited was the bogus report he paid NCRI to produce. Congress introduced a bill but failed to ban TikTok & the scheme failed. 3) Mar 2024, Israel lobby exerted its full pressure on Congress & 30 days later…Congress banned TikTok

@GenXGirl1994 - GenXGirl

Israelis who infiltrated MAGA are telling MAGA “Russia & Iran infiltrated You” NCRI, the publisher of the report is an Israeli managed/funded NGO operating in US Israel’s Chief Censor, Gen. Sima Vaknin Gill, architect of this Israel infiltration network is NCRI’s Board Member https://t.co/r6S2ntL61I

@5149jamesli - James Li

A recent @nypost headline citing a "bombshell report" claiming that "Rogue states" like Russia and Iran are sowing dissent within MAGA and amplifying anti-war voices. But a close examination of the report exposes some VERY familiar — and VERY suspicious — players. 🧵1/

Saved - September 27, 2025 at 11:49 PM
reSee.it AI Summary
I shared insights about a meeting where Netanyahu gathered pro-Israel influencers to strategize on social media campaigns, particularly targeting TikTok and X. I pointed out that Christians criticizing Israel are labeled as part of the "Woke Reich." I also discussed the disparity in lobbying funds between Israel and Qatar, revealing that Israel's lobby money is significantly higher. Additionally, I engaged with various users, expressing gratitude for their contributions and clarifying misconceptions about propaganda's impact on different age groups.

@GenXGirl1994 - GenXGirl

MEET NETANYAHU’S PRO-ISRAEL INFLUENCERS These are 7 identified influencers who met with Netanyahu to plan for their Israeli propaganda campaign as part of Israel’s 8th Front War. Netanyahu instructed them to: - Target TikTok & X - Christians who criticize Israel are Woke Reich https://t.co/rnmU3PBXKB

@GenXGirl1994 - GenXGirl

Netanyahu meets with US Influencers (most likely on Israel’s payroll) to discuss how they can brainwash evangelicals back to supporting Israel He explains the most important war for Israel is on social media & their 2 top targets are: 1. TikTok 2. X WATCH & see if you can ID the influencers

Video Transcript AI Summary
Speaker 0 stated that 'you and the Likud party are cut from the same ideological cloth as Trump and the GOP in America,' citing Charlie Kirk as a mentor and 'Evangelicals' as the reason Israel has public support; he asked for a backup plan 'if we lose evangelical support for the state of Israel' to stay strong 'outside of the diaspora.' Speaker 1 replied: 'Christian influencers' are key and described the 'woke Reich' as opposing the base in the US, noting money from NGOs and governments funds the challenge; we must fight back with 'our influencers' and 'the weapons that apply to the battlefields'—especially social media. The most important purchase is 'class Followers' with 'Five followers. TikTok. No. Barts? TikTok.' 'Oh. TikTok. Number one.' and 'X' is also crucial. 'We have to talk to Elon. He's not an enemy. He's a friend.' If we get those two things, 'we get a lot,' though there will be counterpoint: 'Are we gonna succeed with everyone? No.'
Full Transcript
Speaker 0: So something I would like to raise, which was actually my first published paper, was how you and the Likud party are cut from the same ideological cloth as Trump and the GOP in America. And so specifically with Charlie Kirk's assassination, who was a big mentor of mine, he's my first mentor in the space. Evangelicals, from all my research, evangelicals are the reason that Israel has been supported in public sphere outside of just Jews. So with Charlie's assassination and with the of trajectory that we see with, like, Candace Owens and Tucker Carlson, I guess I'm curious about what's another game plan if we lose evangelical support for the state of Israel. What's our backup plan to be strong, like, outside of the diaspora? Speaker 1: Christian influencers. Okay. You said you talked about the woke right, and you said, I call it the woke reich. That's a brilliant the woke Reich because these people, you know, they're not any different from the woke left. I mean, they're insane. They're amazing. But they're actually meeting on some of the things. And what we have to do is we have to secure that part of our the base of our support in The United States. That is being challenged systematically. A lot of this is done with money. Money of NGOs, fast. Money of governments, faster. Okay? We have to fight back. How do we fight back? Our influencers. I think you should also talk to them if you have a chance to that that community. They're very important. And secondly, we're gonna have to use the tools of battle. You know, the the weapons change over time. You can't fight today with swords. That doesn't work very well. Okay? And you can't fight with the fight with cavalry. That doesn't work very well. And you have these new things, you know, like drones, things like that. I won't get into that. But we have to fight with the weapons that apply to the battlefields in which we're engaged. And the most important ones are in social media. And the most important purchase that is going on right now is class Followers. Five followers. TikTok. No. Barts? TikTok. Oh. TikTok. Number one. Number one. And I hope it goes through because it's it can be consequential. Mhmm. And the other one what's the other one that's most important? X. X. X. Oh. Successful. Very good. And, you know, so we have to talk to Elon. He's not an enemy. He's a friend. We should talk to him. Now if we can get those two things, we get a lot, and I could go on on other things, but that's not the point right now. We have to fight the fight. Okay? To take give direction to the Jewish people and give direction to our non Jewish friends or those who could be our Jewish our friends. Are we gonna succeed with everyone? No. Will there be a strong counterpoint? Yes.

@thedebralea - Debra Lea

I had the honor of asking Bibi Netanyahu about Charlie Kirk’s assassination & the potential loss of evangelical support for the state of Israel.

Video Transcript AI Summary
Speaker 0: So something I would like to raise, which was actually my first published paper, was how you and the Likud party are cut from the same ideological cloth as Trump and the GOP in America. And so specifically with Charlie Kirk's assassination, who was a big mentor of mine, he's my first mentor in the space. Evangelicals, from all my research, evangelicals are the reason that Israel has been supported in public sphere outside of just Jews. So with Charlie's assassination and with the kind of trajectory that we see with, like, Candace Owens and Tucker Carlson. I guess I'm curious about what's another game plan if we lose evangelical support for the state of Israel. What's our backup plan to be strong, like, outside of the diaspora? Thank you.
Full Transcript
Speaker 0: So something I would like to raise, which was actually my first published paper, was how you and the Likud party are cut from the same ideological cloth as Trump and the GOP in America. And so specifically with Charlie Kirk's assassination, who was a big mentor of mine, he's my first mentor in the space. Evangelicals, from all my research, evangelicals are the reason that Israel has been supported in public sphere outside of just Jews. So with Charlie's assassination and with the kind of trajectory that we see with, like, Candace Owens and Tucker Carlson. I guess I'm curious about what's another game plan if we lose evangelical support for the state of Israel. What's our backup plan to be strong, like, outside of the diaspora? Thank you.

@GenXGirl1994 - GenXGirl

Here’s one more. Thanks @DaliaCanora for sharing! Everything coming out of this little girl’s mouth is a lie. I’ll post the deep dive I did with TrackAIPAC on Israel versus Qatar lobby money.

@henri_fjord - Henri Fjord

Another one. https://t.co/S8sdh3CvRi

Video Transcript AI Summary
Yesterday, I got the honor of meeting with prime minister Netanyahu as part of a special focus group for Christian conservative Gen Zers, and we were essentially addressing the concerns that we had. There's clearly been a growing divide. He wanted to know why. He wanted to understand where we were coming from. And to his credit, he did listen to us extremely attentively and took in a lot of what we were saying. APAC is not an Israeli organization. It has no ties whatsoever to the government of Israel. It's not foreign lobbying. It's a lobbyist group that happens to be lobbying for a certain group of people. I'm against APAC because I'm against lobbying. Israel is not offering to fund anybody. That has never happened. If you're concerned about this, who you should be concerned about is Qatar because they are doing this. They are going out and funding these universities and these political organizations. Many of these protests slash riots that you see destroying our cities, a lot of that has foreign funding from Qatar. I really hope some positive change comes out of it, and some people will do some more research rather than believing everything they see.
Full Transcript
Speaker 0: Yesterday, I got the honor of meeting with prime minister Netanyahu as part of a special focus group for Christian conservative Gen Zers, and we were essentially addressing the concerns that we had. Right? There's clearly been a growing divide. He wanted to know why. He wanted to know what Israel could be doing better. He wanted to understand where we were coming from. And to his credit, he did listen to us extremely attentively and took in a lot of what we were saying. And from our end, while, of course, we were polite and we were there also trying to form more unity, we were asking him the hard questions that a lot of people from our generation have been raising concerns about. For example, and the same way he listened to us and took in our criticisms, I'm truly hoping that you guys will listen to the answer. APAC. APAC is something that I see all the time. Number one, APAC is not an Israeli organization. It has no ties whatsoever to the government of Israel. It's not foreign lobbying. It's a lobbyist group that happens to be lobbying for a certain group of people. Right? And this is not unique to Israel. There are multiple countries that do this, and there's multiple different groups that do this. For some reason, just attach on to APAC despite the fact that APAC, like, makes up less than 5% of the lobbying. So if you have a problem with lobbying like me, that's totally fine. I'm against APAC because I'm against lobbying. But you can't just hone in on one specific group. If you're going to be against it, then be against it for everybody. Moving on from that, we were asking questions about these rumors that Israel has been going out and funding people, and, no, none of us were paid for that meeting. But I wish, Phoebe, if you wanna write the 150,000,000 check, go for it. But we asked. We asked about funding, and as explained, Israel is not offering to fund anybody. They're not trying to get involved in American political advocacy groups. That has never happened. And if you're concerned about this, who you should be concerned about is Qatar because they are doing this. They are going out and funding these universities and these political organizations. Many of these protests slash riots that you see destroying our cities, a lot of that has foreign funding from Qatar. And yet people are silent about it, or they're pointing the finger at Israel for something that they're not even doing. The last thing that we really touched on was the aid. People don't know this, but Netanyahu's first address to congress was to say that they didn't want aid. Jimmy Carter, who is a notoriously anti Israel president, is actually who started this because he saw that Israel was building up their air force, and he didn't want them to. So he gave them aid that they could only use to buy military weapons from us, and they had to agree to shut down their manufacturers. So now they're dependent in a way on this aid for military operations that America doesn't want them to lose because we use it as a leash on them. And I think people need to understand that maybe a little bit more, but it was an incredible opportunity. I'm very grateful for his time, and I really hope some positive change comes out of it, and some people will do some more research rather than believing everything they see online.

@jakeshieldsajj - Jake Shields

Which right wing influencers meet with Netanyahu? They need to be shamed and ostracized

@GenXGirl1994 - GenXGirl

@DaliaCanora Israel’s Qatar Propaganda. It’s a thread with lots of info so check it out.

@GenXGirl1994 - GenXGirl

ISRAEL HASBARA DEBUNKED🧵 Using partial data, Israel agents have claimed Israel lobby $ is pennies compared to Qatar So @TrackAIPAC & I did a deep dive into Israel’s FARA & non-FARA lobby $. Not only is Israel’s lobby money 3x Qatar’s, but 2/3 of it is not registered under FARA https://t.co/FpW0Xzp5pk

@GenXGirl1994 - GenXGirl

DEBUNKING THE QATAR HASBARA I’m going to start posting information (as always, w/receipts) debunking the Zionist Hasbara to distract America from our Israel Lobby problem I’ll post separately but will also post a copy in this 🧵 You can find this post in my Highlights

@GenXGirl1994 - GenXGirl

@IanMalcolm84 Right?!?

@GenXGirl1994 - GenXGirl

@satch_omega TY❤️

@GenXGirl1994 - GenXGirl

@AlphaWolfForce 😂

@GenXGirl1994 - GenXGirl

@DaliaCanora Thank you!!

@GenXGirl1994 - GenXGirl

@ZirafaMedia Thanks. 🙏

@GenXGirl1994 - GenXGirl

@Real_life_daily @TrackAIPAC It’s actually the opposite. Older Americans are propagandized much more than young.

@GenXGirl1994 - GenXGirl

@gettingtrumpnow Thanks!

@GenXGirl1994 - GenXGirl

@dclinkusa The new owners include Marc Andreessen & Larry Ellison (Google).

@GenXGirl1994 - GenXGirl

@phantompain1984 You’re welcome. 😊

@GenXGirl1994 - GenXGirl

@KirschaKievits1 @TrackAIPAC Yup. I’m going to block now that I finished the list.

@GenXGirl1994 - GenXGirl

@0xMikael I just did a list of people I could identified in Netanyahu’s meeting. I’ll do a bigger list of everyone to include him. Thanks.

Saved - September 27, 2025 at 12:27 PM
reSee.it AI Summary
I discussed Netanyahu's recent meeting with influencers, aimed at swaying evangelical support for Israel through social media, particularly on TikTok and X. He emphasized the need to direct these influencers in their efforts. I identified several influencers involved in this initiative, linking them to a broader strategy to control narratives and silence dissent in America. Additionally, I critiqued the ADL's stance on antisemitism, which conflates criticism of Israel with terrorism. There's a concerning trend of using media and influencers to manipulate public perception and suppress opposing views.

@GenXGirl1994 - GenXGirl

Netanyahu meets with US Influencers (most likely on Israel’s payroll) to discuss how they can brainwash evangelicals back to supporting Israel He explains the most important war for Israel is on social media & their 2 top targets are: 1. TikTok 2. X WATCH & see if you can ID the influencers

Video Transcript AI Summary
"you and the Likud party are cut from the same ideological cloth as Trump and the GOP in America," noting "Charlie Kirk's assassination" and that "Evangelicals, from all my research, evangelicals are the reason that Israel has been supported in public sphere outside of just Jews." He asks for a backup plan if evangelical support for Israel fades, to be strong "outside of the diaspora." "Christian influencers" and labels the "woke Reich" a challenge to be fought by securing support in the U.S., pointing to "money of NGOs" and "money of governments." He argues we must use "the weapons that apply to the battlefields"—"the most important ones are in social media"—with "the most important purchase that is going on right now is class Followers." He cites TikTok and X, says "talk to Elon. He's not an enemy. He's a friend." "Are we gonna succeed with everyone? No. Will there be a strong counterpoint? Yes."
Full Transcript
Speaker 0: So something I would like to raise, which was actually my first published paper, was how you and the Likud party are cut from the same ideological cloth as Trump and the GOP in America. And so specifically with Charlie Kirk's assassination, who was a big mentor of mine, he's my first mentor in the space. Evangelicals, from all my research, evangelicals are the reason that Israel has been supported in public sphere outside of just Jews. So with Charlie's assassination and with the of trajectory that we see with, like, Candace Owens and Tucker Carlson, I guess I'm curious about what's another game plan if we lose evangelical support for the state of Israel. What's our backup plan to be strong, like, outside of the diaspora? Speaker 1: Christian influencers. Okay. You said you talked about the woke right, and you said, I call it the woke reich. That's a brilliant the woke Reich because these people, you know, they're not any different from the woke left. I mean, they're insane. They're amazing. But they're actually meeting on some of the things. And what we have to do is we have to secure that part of our the base of our support in The United States. That is being challenged systematically. A lot of this is done with money. Money of NGOs, fast. Money of governments, faster. Okay? We have to fight back. How do we fight back? Our influencers. I think you should also talk to them if you have a chance to that that community. They're very important. And secondly, we're gonna have to use the tools of battle. You know, the the weapons change over time. You can't fight today with swords. That doesn't work very well. Okay? And you can't fight with the fight with cavalry. That doesn't work very well. And you have these new things, you know, like drones, things like that. I won't get into that. But we have to fight with the weapons that apply to the battlefields in which we're engaged. And the most important ones are in social media. And the most important purchase that is going on right now is class Followers. Speaker 0: Five Speaker 1: followers. Barts? TikTok. Oh. TikTok. Number one. Number one. And I hope it goes through because it's it can be consequential. Mhmm. And the other one what's the other one that's most important? X. X. X. Oh. Successful. Very good. And, you know, so we have to talk to Elon. He's not an enemy. He's a friend. We should talk to him. Now if we can get those two things, we get a lot, and I could go on on other things, but that's not the point right now. We have to fight the fight. Okay? To take give direction to the Jewish people and give direction to our non Jewish friends or those who could be our Jewish our friends. Are we gonna succeed with everyone? No. Will there be a strong counterpoint? Yes.

@thedebralea - Debra Lea

I had the honor of asking Bibi Netanyahu about Charlie Kirk’s assassination & the potential loss of evangelical support for the state of Israel. https://t.co/XP2faZQa0N

Video Transcript AI Summary
Speaker argues that 'you and the Likud party are cut from the same ideological cloth as Trump and the GOP in America.' They reference 'Charlie Kirk's assassination, who was a big mentor of mine' and say 'Evangelicals, from all my research, evangelicals are the reason that Israel has been supported in public sphere outside of just Jews.' They note 'So with Charlie's assassination and with the kind of trajectory that we see with, like, Candace Owens and Tucker Carlson.' They ask 'what's another game plan if we lose evangelical support for the state of Israel.' 'What's our backup plan to be strong, like outside of the diaspora?'
Full Transcript
Speaker 0: So something I would like to raise, which was actually my first published paper, was how you and the Likud party are cut from the same ideological cloth as Trump and the GOP in America. And so specifically with Charlie Kirk's assassination, who was a big mentor of mine, he's my first mentor in the space. Evangelicals, from all my research, evangelicals are the reason that Israel has been supported in public sphere outside of just Jews. So with Charlie's assassination and with the kind of trajectory that we see with, like, Candace Owens and Tucker Carlson. I guess I'm curious about what's another game plan if we lose evangelical support for the state of Israel. What's our backup plan to be strong, like, outside of the diaspora? Thank you.

@GenXGirl1994 - GenXGirl

Take note of how Netanyahu says “we have to give direction” to influencers on how to fight the fight. He also says, once Israel has TikTok and X under control, he can move on to other things.

@GenXGirl1994 - GenXGirl

👇🏼

@GenXGirl1994 - GenXGirl

Deleted my TikTok https://t.co/V0MApINjye

@GenXGirl1994 - GenXGirl

Two more identified.

@hipstergenius2 - 𓂆 Kareem𓂆

@GenXGirl1994 I see @LizzySavetsky and @emilyraustin so this was a meeting with people already on the payroll...

@GenXGirl1994 - GenXGirl

This is part of Israel’s 8th Front War on America.

@GenXGirl1994 - GenXGirl

Israel’s 8th Front War is on America - Buy media platforms - Buy social media influencers - Flood social media with propaganda - Pit right versus left - Fine platforms into censorship compliance - Silence & arrest dissenting voices - Make America Subservient Again WATCH https://t.co/RciyDwKXZ6

Video Transcript AI Summary
Netanyahu had been waging a seven front war in the region, and now The United States has become the eighth front. And they wanna prevent anyone from being able to express themselves anywhere in the digital online ecosystem by just buying it all. That truth is being reversed, put on its head by a campaign of lies. Israel is now portrayed as the enemy of Christians. And the enemies of Christians are portrayed as the friends of The United States. The information sphere, the info sphere is the eighth front in this war and seizing the high ground in the fight for global public opinion. If you wouldn't tolerate it if someone's wearing a swastika on their arm, I'm sorry. You shouldn't tolerate it if you're wearing it if you're wearing a confetti.
Full Transcript
Speaker 0: Face is a political tsunami in The United States, and they have no way of holding it back. And that's why in the wake of Kirk's death and in the days before his death, some of these Zionist money men have started a full on takeover campaign of The US media, which we can talk about. It's like a full court press in The United States. Netanyahu had been waging a seven front war in the region, and now The United States has become the eighth front. And they wanna prevent anyone from being able to express themselves anywhere in the digital online ecosystem by just buying it all. Speaker 1: And yet we see the effort to break down our bond in America, in other parts of the world. That partnership that promotes Judeo Christian values, that protects in Israel, Christians, as nowhere else in The Middle East. That truth is being reversed, put on its head by a campaign of lies. Israel is now portrayed as the enemy of Christians. And the enemies of Christians are portrayed as the friends of The United States. So Israel, the guardian of Christianity in The Middle East. It's presented as the enemy of Christianity. What folly, what lies, what a travesty of truth. So one of the things we Speaker 2: have fought now, a seven front war, we have Speaker 1: an eight front. And that is the front and the battle for truth. And I can think of no one who can carry this battle alongside with us. No one who can do it better than you on this channel, you Paula. And our many Christian friends, who must fight for our common values, who must stand up for the truth. And by standing up for the truth, you stand up with Israel, and you stand with the Jewish people against this abomination of falsehoods. We can win this war exactly as we win the seven front war, and I thank you for your support. Speaker 3: To recognize that there is an eighth front in this war. It might not be a terrestrial border that you can find on a map, but this domain is as volatile, is as violent, and is as vital to our future. The information sphere, the info sphere is the eighth front in this war and seizing the high ground in the fight for global public opinion. Is a battle that's as important with the long term war as what you've done in Lebanon and Syria. Speaker 1: Right problem. The the people on on the, you know, on the extremes, the the Islamist, the radical Islamist, and the their union with the ultra progressives, they often speak about human rights. They speak about free speech, but they use violence to try to take down their enemies with. Is whether it's president who's been almost assassinated twice or, you know, they try to kill me here too, but they got Charlie Kirk, and it's just heartbreaking. Speaker 3: Look, it's clear that the hardened anti Zionists are on the from the far left are the photo inverse of the white supremacists from the far right. I see these videos. I see these images of mass protesters breaking into buildings, barricading the furniture, and look. I'm reminded of January 6. That's what this looks like to me. I mean, we talk at ADL about right wing extremists, about masked proud boys showing up at school board meetings, about oath keepers wearing masks. I look at this and this is what I see. Speaker 2: But all these camp encampments at universities and all these that's promoted by far left movement or ideology. Far right ideology, when you when you mesh it with the far left, any level of crazy gets more crazy. It's just that the far right people, when they get fucking mad, then they're gonna start fucking shit up. Speaker 4: If you wouldn't tolerate it if someone's wearing a swastika on their arm, I'm sorry. You shouldn't tolerate it if you're wearing a confetti.

@GenXGirl1994 - GenXGirl

Alright folks, update, with your help, we’ve identified 4 of the influencers who participated in this Israeli propaganda meeting. @dimas_e_g @LizzySavetsky @emilyraustin @thedebralea https://t.co/jF6xwJzjpo

@GenXGirl1994 - GenXGirl

@dimas_e_g @LizzySavetsky @emilyraustin @thedebralea Here are more influencers. Some of these people were at Bill Ackman’s Hampton meeting about Israel. The one he invited Charlie Kirk.

@GenXGirl1994 - GenXGirl

Senator, you should ask the Israel gov why they allowed access to Gaza to influencers who were flown to Israel by @Israel365act but they won’t give 2 US Senators access. You should ask @GovMikeHuckabee why he helped propagandists on an Israeli paid trip but he won’t help you https://t.co/Nl3yicXcIi

Video Transcript AI Summary
If I were Israel, I wouldn't even provide matching socks to Gaza. But here's all the aid that y'all claim doesn't exist. But instead of Hamas distributing the ramen noodles, they're eating it all, and that's why their leaders are on Ozempic. This is exactly Hamas' plan, to paint Israel as the perpetrator of all of this. When in reality, it's Hamas that continues to use its own people as pawns. United Nations brings the food here to look like they're actually doing something productive, but they never finished a job just like your ex. Not one time has our guys engaged anybody with firearms. We were not provided with the rules of engagement. Shooting at an unarmed civilian population, at their feet, over their head, shooting at them in their direction at all Oh, look at that. Is a violation of the protocols that you need to mention. So the machine guns, the rifles, and the pistols all had live ammunition. There's no such thing as a as a dummy round or a rubber round when it comes to a high caliber automatic weapon.
Full Transcript
Speaker 0: Unbelievable. So we have eight minutes If Speaker 1: I were Israel, I wouldn't even provide matching socks to Gaza. But here's all the aid that y'all claim doesn't exist. Share this with a friend who continues blaming Israel for everything. I'm here in Gaza, and all I see is food, water, and opportunity. But instead of Hamas distributing the ramen noodles, they're eating it all, and that's why their leaders are on Ozempic. This is exactly Hamas' plan, to paint Israel as the perpetrator of all of this. When in reality, it's Hamas that continues to use its own people as pawns. United Nations brings the food here to look like they're actually doing something productive, but they never finished a job just like your ex. Now this food is sitting here collecting flies, but y'all wanna blame Israel. Speaker 0: Thousand dozens right now being fed here in a peaceful and calm manner. It's not the chaos that the media reports it to be. Speaker 1: Not one time has our guys engaged anybody with firearms. Speaker 0: So, yes, I have witnessed it firsthand. We were not provided with the rules of engagement. We were not provided Shooting at an unarmed civilian population, at their feet, over their head, shooting at them in their direction at all Oh, look at that. Is a violation of the protocols that you need to mention. So the machine guns, the rifles, and the pistols all had live ammunition. There's no such thing as a as a dummy round or a rubber round when it comes to a high caliber automatic weapon. These are bullets bullets that kill. That's funny. You broke it.

@ChrisVanHollen - Senator Chris Van Hollen

Netanyahu is restricting aid trucks into Gaza—the best way to get food to starving people there—so Jordan is delivering some with air drops. The Jordanians said @SenJeffMerkley & I could join one of those flights to see the devastation, but Israel denied authorization for our

Video Transcript AI Summary
Jeff Merkley and I are here at the King Abdullah the second Air Force Base in Jordan. the c one thirties that Jordan's been using to provide humanitarian airdrops over Gaza. We were denied that opportunity to go in on the ground, and we are really hoping for the opportunity to fly over to witness firsthand exactly the scale of destruction in Gaza. This operation here is one part of what needs to be a worldwide effort to surge food into Gaza to stop starvation. There is food from a dozen nations that are saying we want to contribute to taking on the starvation in Gaza. The Air Force here has done an extraordinary job in coordinating that aid, getting clearance, doing these airdrops, getting in critical food. This is not the best way to get food into Gaza; trucks are far more efficient. They cost a lot less. The entire situation is an extraordinary catastrophe and it needs to end. The war needs to end, the ceasefire needs to be there, the hostages need to be returned, and a vision needs to be developed to have a possibility of two states for two people. Yes. We need to end the war in Gaza, bring all the hostages home. That was the clear message we heard from the hostage families. And anybody who tells you that people are not starving in Gaza is lying to you. It's outrageous that The United States Of America at the UN voted no on a resolution saying that we end need to end man made starvation in Gaza. Anyone who denies that is lying to you.
Full Transcript
Speaker 0: Jeff Merkley and I are here at the King Abdullah the second Air Force Base in Jordan. What you see behind us are the c one thirties that Jordan's been using to provide humanitarian airdrops over Gaza. You can see that Jordan is very focused on trying to make sure that they get aid to people in Gaza, whether by clocks, which is of course the most efficient way, or by air. Jeff and I wanted to go into Gaza to see firsthand the destruction which we've seen in in photographs and by eyewitness testimony, but we were denied that opportunity to go in on the ground. We are really hoping for the opportunity to to fly over to be able to witness firsthand exactly the scale of destruction in Gaza. So far, we've not been able to go. But this operation here is one part of what needs to be a worldwide effort to surge food into Gaza to stop starvation and that's what Jeff and I have been so focused on. Speaker 1: Well, and speaking of a worldwide effort, in a warehouse just distance from here, There is food from a dozen nations that are saying we want to contribute to taking on the starvation in Gaza. And the Air Force here has done an extraordinary job in coordinating that aid, getting clearance, doing these airdrops, getting in critical food. This, of course, is not the best way to get food into Gaza. Trucks are far more efficient. They cost a lot less. But this is symbolic of how important it is to do everything possible to address the famine in Gaza. Of course, we're calling for a ceasefire. We have for a long period of time. We are calling for the return of the hostages. We met with the hostage families. The entire situation is an extraordinary catastrophe and it needs to end. The war needs to end, the ceasefire needs to be there, the hostages need to be returned, and a vision needs to be developed to have a possibility of two states for two people, a thriving a thriving opportunity to prosper in a peaceful world for the Israelis and the Palestinians. Speaker 0: Yes. We need to end the war in Gaza, bring all the hostages home. That was the clear message we heard from the hostage families. In the meantime, we need to surge humanitarian aid into Gaza. People are starving. And anybody who tells you that people are not starving in Gaza is lying to you. And it's outrageous that The United States Of America at the UN was the country that voted no on a resolution saying that we end need to end man made starvation in Gaza. Anyone who denies that is lying to you.

@GenXGirl1994 - GenXGirl

ADL uses the IHRA definition of antisemitism which makes criticism of Israel, antisemitic. ADL is now making the case that fighting antisemitism is the same as fighting terrorism. In other words, if you criticize Israel, you are a terrorist. This isn’t new since Heritage Foundation’s Project Esther (which derives it’s info from Israeli NGOs) makes the same claim.

@infolibnews - Chris Menahan 🇺🇸

ADL CEO Jonathan Greenblatt in Israel: "Fighting anti-Semitism cannot be separated from the broader counter-terrorism fight." "Anti-Semitism is a national security threat that must be defeated." https://t.co/DbZgzssoE2

Video Transcript AI Summary
You see antisemitism, it's a predictable indicator of anti western sentiment. They're intertwined phenomenon, regardless of origin. As rabbi lord Jonathan Sacks of blessed memory once put it, the hate that starts with the Jews, it never ends with the Jews. That's why fighting antisemitism cannot be separated from the broader counter terrorism fight; the ideologies, the networks, they are deeply connected. Plain and simple, anti Semitism is a national security threat that must be defeated. At ADL, we've made our choice. We will never stop. Exposing those who try to justify their agenda of anti Jewish racism, whether they call it decolonization or cultural preservation or whatever. We will never stop resisting those who try to impose their anti Semitic nihilism on us, whether they dress it up as anti Zionism or National Socialism. Not now, not ever. So thank you, Shana Tova and Am Yisrael Fahed.
Full Transcript
Speaker 0: You see antisemitism, it's a predictable indicator of anti western sentiment. They're not distinct, guys. They're intertwined phenomenon. It doesn't matter whether it originates on a political spectrum, in a religious framework, or some other context. As rabbi lord Jonathan Sacks of blessed memory once put it, the hate that starts with the Jews, it never ends with the Jews. That's why fighting antisemitism cannot be separated from the broader counter terrorism fight. The ideologies, the networks, they are deeply connected. Plain and simple, anti Semitism is a national security threat that must be defeated. And so at ADL, we've made our choice. We will never stop. We will never stop fighting the enemies who seek to delegitimize and destroy us. We will never stop exposing those who try to justify their agenda of anti Jewish racism, whether they call it decolonization or cultural preservation or whatever. We will never stop resisting those who try to impose their anti Semitic nihilism on us, whether they dress it up as anti Zionism or National Socialism. And we will never apologize for defending our community, for defending our people, for defending the Jewish state. Not now, not ever. So thank you, Shana Tova and Am Yisrael Fahed.

@GenXGirl1994 - GenXGirl

Dec 2023, Zionist billionaire Anthony Goldbloom commissioned NCRI (Israeli funded/managed) to produce a report claiming China’s CCP controls TikTok to get it banned because of the truth getting shared about Israel. When the CCP claim didn’t stick, in March 2024, the Israel lobby came down on Congress & TikTok was banned in 30 days

@GenXGirl1994 - GenXGirl

Israelis who infiltrated MAGA are telling MAGA “Russia & Iran infiltrated You” NCRI, the publisher of the report is an Israeli managed/funded NGO operating in US Israel’s Chief Censor, Gen. Sima Vaknin Gill, architect of this Israel infiltration network is NCRI’s Board Member https://t.co/r6S2ntL61I

@5149jamesli - James Li

A recent @nypost headline citing a "bombshell report" claiming that "Rogue states" like Russia and Iran are sowing dissent within MAGA and amplifying anti-war voices. But a close examination of the report exposes some VERY familiar — and VERY suspicious — players. 🧵1/

@GenXGirl1994 - GenXGirl

@JaredReidYT 💯💯💯

@GenXGirl1994 - GenXGirl

@Alaskacryptogi1 Yup. He called the right, the Woke Reich. He also called the left half of America, insane lunatics.

@GenXGirl1994 - GenXGirl

@AydogTrancer https://t.co/oJlkAQEiwO

Saved - September 24, 2025 at 10:54 AM
reSee.it AI Summary
I found Tucker Carlson's 9/11 series to be packed with intriguing details. It highlights that the NSA withheld signals intelligence from the CIA's Bin Laden unit while sharing it with Israeli and Saudi intelligence. Notably, the 9/11 commission never examined NSA files. The series also mentions five Israelis who were allegedly spying and Israeli art students living near the attackers. Israel has since acknowledged these operations and apologized for not sharing information with the U.S. Interestingly, a CIA official remarked that Israeli intel was not valuable, contradicting claims made by many in Congress.

@GenXGirl1994 - GenXGirl

Tucker Carlson’s 9/11 Series Has Interesting Nuggets of Info - NSA refused to share Signals intelligence with CIA Bin Laden unit but shared with Israeli & Saudi Intel - NSA files were never researched by 9/11 commission - 5 dancing Israelis were spying & Israeli art students lived near the 9/11 attackers & were tracking them - Israel acknowledged the operations & issued formal apology for not sharing info with US - CIA Bin Laden Unit: “Not a single piece of info from the Israelis is worth anything” - someone tell this to the 360+ Israel-lobby-paid members of Congress who screech about Israel providing us with “valuable intel”

Video Transcript AI Summary
- "One reason foreign governments may have had superior information is that the NSA frequently shared signals intelligence details with them details it withheld from our own CIA." - "under the 1947 act that created NSA, we don't have to share that" - "It's striking to see operatives from a supposedly allied country celebrating the mass murder of Americans." - "On the morning of nineeleleven, a group of five Israeli nationals purported to have witnessed the initial explosion of the World Trade Center and were seen to be celebrating the event." - "The Israelis caught celebrating the nine eleven attacks had videotaped the terrorist attack on the World Trade Center and may have possessed foreknowledge of the same."
Full Transcript
Speaker 0: US airline. What did the French tell The United States and when? We don't know. But the French are Speaker 1: not alone. Others knew. Well, there's no doubt that the Israelis and probably the British had better information than the people working against Osama bin Laden in the agency. Much better information. Speaker 0: Michael Scheuer ran the CIA's bin Laden unit in the late 1990s. One reason foreign governments may have had superior information is that the NSA frequently shared signals intelligence details with them details it withheld from our own CIA. Signals intelligence is a type of espionage that deals with intercepting phone calls and radio communications. Speaker 1: We needed the collection of signals intelligence out of Afghanistan. And since there was no central telephone company or communications companies, it was very limited. You had to be lucky to find the signal. Well, we found a couple of signals and we shared the information with NSA, and they collected information and wouldn't share it with us in the raw form. NSA reports are generally summaries of what people say over the phone. You don't really know always who's talking to who. First thing we did when we got the first copies of translated material, we sent them to NSA and said, Can you please provide the other half of this to us? And they said, thank you very much, but under the 1947 act that created NSA, we don't have to share that Speaker 2: with anyone and we're not going to. Speaker 1: But somehow, the Israelis and the Saudis always were able to find out something was there that they wanted. And so when we refused, they'd call the White House, the White House had called the DCI, and the DCI would say, give it to them. Speaker 0: We know very little about NSA's foreknowledge of nineeleven because the nineeleven Commission barely investigated it. Keep in mind, the NSA is the largest American intel agency by far. And yet the Commission never assigned a staff member to research NSA files, in part because some of the nineeleven commissioners and staff simply did not understand what the NSA was and what it did. Even now, the NSA's terrorism archives still have never been thoroughly reviewed by outside investigators. If someone ever did go through those files, they'd likely find a treasure trove of previously undisclosed warnings about the nine eleven attacks. The NSA was the primary agency responsible for monitoring the switchboard through which Al Qaeda operatives communicated with each other. Speaker 1: It's certainly an absurdity for what the American people pay for signals intelligence to be collected, translated, and supplied to the intelligence community, to have the British, the Saudis, the Israelis getting information from our national security agency that we and the agency were not privileged enough to get. Speaker 0: A number of foreign governments may have had foreknowledge of nineeleven, but the Israeli government stands out in particular. And here's why. On the morning of nineeleven, a group of five Israeli nationals purported to have witnessed the initial explosion of the World Trade Center and were seen to be celebrating the event. At the time, the celebrations received quite a bit of mainstream media coverage. Speaker 2: Fox News has learned some US investigators believe that there are Israelis again very much engaged in spying in and on The US who may have known things they didn't tell us before September 11. Speaker 0: It's striking to see operatives from a supposedly allied country celebrating the mass murder of Americans. But it is true that some in Israel saw the attack as a good thing for them. A 09/12/2001 article in the New York Times quotes now Israeli Prime Minister Benjamin Netanyahu responding to the nineeleven attacks: It is very good, before adding, Well, not very good, but it will generate immediate sympathy. Netanyahu predicted that the attack would strengthen the bond between our two peoples because we've experienced terror over so many decades, but The United States has now experienced a massive hemorrhaging of terror. According to FBI documents, the Israelis caught celebrating the nine eleven attacks had videotaped the terrorist attack on the World Trade Center and may have possessed foreknowledge of the same. When the Israelis were arrested in New Jersey, they were carrying box cutters, multiple passports, thousands of dollars in cash, and photos of themselves smiling with the World Trade Center burning in the background. The Israelis are always for Speaker 1: the Israelis first. Last. Always. They don't like The United States except, for the most part, our money. And yet, our National Security Agency is producing information for them, but not shareable with its own people. Speaker 0: Go figure. According to FBI records, polygraph tests administered by the FBI suggested that they did not have foreknowledge of the attacks, but did engage in deception and were likely involved in illegal foreign counterintelligence. The leader of the group, a man called Dominic Suter, fled to Israel on or around 09/14/2001 immediately, and he was later included on an FBI anti terror watch list distributed to European allies in May 2002. Most of the Israelis were held in FBI detention for two and a half months before they were deported for visa violations, a common way to expel foreign intel assets from allied countries. The Israelis pride themselves on having infiltrated every Arab intelligence service, every terrorist group. Did the Israelis know about nineeleven and not tell us? One memorandum submitted to the nineeleven Commission presented substantial evidence suggesting that numerous art students from Israel, who were in fact Israeli intel assets, have been strategically located across The United States. It's hard not to notice that they lived near the future nine eleven hijackers. Speaker 1: There were groups of, Israelis traveling around the country as artists, sketching things happened happened to be one time around Cape Canaveral, remember, and other places where there were certainly things to to paint and sketch, but also noticeably near military installations or some other kind of installation in the government. So I think that's an open question yet. Speaker 0: The so called Israeli art students centered their operations in Hollywood, Florida and Northern New Jersey. Those are the exact locations of the hijackers before the attack. According to the memorandum, It is very difficult to believe, based on the existing evidence and the location of their common central operating bases, that this group was not tracking the future hijackers and their collaborators as well. According to The Forward, a Jewish publication, the Israeli government acknowledged the operation and apologized for not coordinating it with Washington. Within a week of the attack, Israeli intelligence officials claimed they warned The United States about large scale terror attacks on highly visible targets in The United States. But the specifics of those warnings have never been made public. There's no evidence they happened. Speaker 1: In fact, in the whole time I worked in counterterrorism from '92 till 02/2004, I never saw one piece of information from the Israelis that was really worth anything.
Saved - September 13, 2025 at 7:50 AM
reSee.it AI Summary
I've been observing the ongoing "8th-Front Information War" from Israel, aimed at swaying American Conservatives back toward support for Israel. There's a lot of chatter about Charlie Kirk and Judeo-Christian values, despite the term's relatively recent emergence in literature. The tactics seem to involve sensational stories, rage baiting, and deflection, especially with a focus on Islamophobia. It’s clear that the strategies used in the past are not as effective today, and the discourse around these topics continues to evolve.

@GenXGirl1994 - GenXGirl

ISRAEL’S 8TH-FRONT WAR If you’re wondering why all the Israeli accounts are posting “Charlie Kirk spoke truth about Judeo-Christian values & was killed for it”, it’s part of Israel’s “8th-Front Information War” to turn American Conservatives back toward Israel. WATCH

Video Transcript AI Summary
Speaker 0 says the effort to break America's bond with Israel and Judeo-Christian values is a 'campaign of lies.' 'Israel is now portrayed as the enemy of Christians, and the enemies of Christians are portrayed as the friends of The United States.' Israel, 'the guardian of Christianity in The Middle East,' is presented on American television by purchased influencers as 'the enemy of Christianity.' He calls this a 'travesty of truth' and notes a seven-front war, now an eighth front—the 'front and the battle for truth.' He urges Paula and Christian friends to 'fight for our common values' and to 'stand up for the truth,' which means standing with Israel against 'this abomination of falsehoods.' Speaker 1 adds an eighth front—the information sphere—'a volatile' and vital domain where seizing the high ground in global public opinion is as important as Lebanon and Syria.
Full Transcript
Speaker 0: And yet we see the effort to break down our bond in America, in other parts of the world. That partnership that promotes Judeo Christian values, that protects in Israel Christians, as nowhere else in The Middle East, That truth is being reversed, put on its head by a campaign of lies. Israel is now portrayed as the enemy of Christians, and the enemies of Christians are portrayed as the friends of The United States. So Israel, the guardian of Christianity in The Middle East, is presented on American television by purchased influencers. It's presented as the enemy of Christianity. What folly, what lies, what a travesty of truth. So one of the things we have fought now, a seven front war, we have an eight front, and that is the front and the battle for truth. And I can think of no one who can carry this battle alongside with us, no one who can do it better than you on this channel, than you Paula, and our many Christian friends, who must fight for our common values, who must stand up for the truth. And by standing up for the truth, you stand up with Israel, and you stand with the Jewish people against this abomination of falsehoods. We can win this war exactly as we win the seven front war. And I thank you for your support. Speaker 1: Need to recognize that there is an eighth front in this war. It might not be a terrestrial border that you can find on a map, but this domain is as volatile, is as violent, and is as vital to our future. The information sphere, the info sphere is the eighth front in this war. And seizing the high ground in the fight for global public opinion is a battle that's as important to the long term war as what you've done in Lebanon and Syria.

@GenXGirl1994 - GenXGirl

Source: https://blogs.timesofisrael.com/fighting-the-eighth-front-israels-information-war/

The Blogs: Fighting the Eighth Front: Israel’s Information War From the blog of David Cozocaru at The Times of Israel blogs.timesofisrael.com

@GenXGirl1994 - GenXGirl

You should read this article on Israel’s 8th-front war on America.

@GenXGirl1994 - GenXGirl

Source: https://blogs.timesofisrael.com/fighting-the-eighth-front-israels-information-war/

The Blogs: Fighting the Eighth Front: Israel’s Information War From the blog of David Cozocaru at The Times of Israel blogs.timesofisrael.com

@GenXGirl1994 - GenXGirl

It’s nonstop.

@HananyaNaftali - Hananya Naftali

This mural in Israel was made to honor Charlie Kirk. His legacy must live on! https://t.co/mDEw5OkL1w

Video Transcript AI Summary
This right there behind me is a mural in honor of Charlie Kirk. This could be the first mural in his honor in the world, and it's here in Israel. This is how much he meant to us because he was a champion of the Judeo Christian alliance, he was a staunch friend of Israel, and we will never forget those that stand for the truth. So we honor his memory, and from here we vow to stand together for the truth because we are under attack, not just in Israel, but globally. The truth is under attack. Let's stand together and let Charlie Kirk's legacy live on.
Full Transcript
Speaker 0: This right there behind me is a mural in honor of Charlie Kirk. This could be the first mural in his honor in the world, and it's here in Israel. This is how much he meant to us because he was a champion of the Judeo Christian alliance, he was a staunch friend of Israel, and we will never forget those that stand for the truth. So we honor his memory, and from here we vow to stand together for the truth because we are under attack, not just in Israel, but globally. The truth is under attack. Let's stand together and let Charlie Kirk's legacy live on.

@GenXGirl1994 - GenXGirl

How interesting. I recall seeing tons of posts from Zionists and Israelis claiming America was founded on Judeo-Christian values but the term appears in books after 1960.

@TimothyMcVeiigh - Timothy McVeigh

@GenXGirl1994 https://t.co/IuGs5cCt64

@GenXGirl1994 - GenXGirl

Their tactic has become: - Inundate with sensational stories - Rage bait - Deflect - Lie - Repeat Idk if you saw the leaked files where they paid obscene amounts of money to poll the West and see what would distract us & they determined it was Islamophobia. Explains all the Islamophobic stories circulating for the past few months.

@GenXGirl1994 - GenXGirl

@BasedSamParker Yes! I saw both of your threads and reposted. Great info linking everything you mentions. This isn’t 2001 and their Hasbara doesn’t work anymore.

@GenXGirl1994 - GenXGirl

@ZMTabloid Yup. Precisely.

@GenXGirl1994 - GenXGirl

@GotPropaganda 💯💯💯💯

@GenXGirl1994 - GenXGirl

@TimothyMcVeiigh Oh nice search! Thanks! Yeah, interesting isn’t it? It’s discussed like it was a thing for centuries. Israelis even claim America was founded on Judeo-Christian values.

@GenXGirl1994 - GenXGirl

@Easy_Mr_E I believe he mentioned it also in his speech about Kirk.

@GenXGirl1994 - GenXGirl

@tobeasheep51979 It’s a 10 min long speech of vomit 🤮 I should post the whole thing for people to watch.

Saved - September 1, 2025 at 7:35 PM
reSee.it AI Summary
I discussed the Lawfare Project, an Israel-linked law firm that uses the IHRA definition of antisemitism to label criticism of Israel as hate speech. They are involved in lawsuits against universities, including a recent case against DePaul University following a violent antisemitic attack on two students. I highlighted the connections between the Lawfare Project and various Zionist organizations, and noted concerns about the influence of these groups on campus environments. I also mentioned the funding sources behind these initiatives, emphasizing their ties to Israel.

@GenXGirl1994 - GenXGirl

ZIONIST ATTACK ON US UNIVERSITIES The Lawfare Project is an Israel-linked law firm that uses the IHRA definition of antisemitism which makes criticism of Israel, hate speech. They’re a member of the Zionist Organization of America’s (ZOA) coalition along w/the hate group, Betar. The ZOA coalition is campaigning to lead the World Zionist Congress in Israel while suing American universities. The Lawfare Project’s Board members are former members of AIPAC, Council on Foreign Relations and the Israeli propaganda outlet, the Middle East Forum.

@GerardFilitti - Gerard Filitti

BREAKING: Lawsuit against DePaul University This morning, we filed a lawsuit against @DePaulU on behalf of Max Long and Michael Kaminsky, two Jewish students who were violently attacked last November on campus in an antisemitic hate crime. This attack was foreseeable. And it was preventable. Violent attacks on Jews are the foreseeable result of toxic campus atmospheres that universities - including, in this case, DePaul - have failed to address. Anti-Jewish and anti-American radicalization isn’t a “speech” issue. It results in conduct, including violent criminal attacks. Make no mistake about it - universities are LIABLE for their failure to act. For their failure to keep their students safe. That’s what this lawsuit is about. This lawsuit seeks justice for Max and Michael, but also sends the unmistakably clear message that ignoring the legal rights of Jewish students to be free of intimidation, harassment, discrimination, and violence have consequences. @LawfareProject, and thanks to amazing co-counsel at @gelaw_com! #EndJewHatred @FoxNews @NEWSMAX @NewsNation @NTDNews @chicagotribune @nypost @WBBMNewsradio @Suntimes

@GenXGirl1994 - GenXGirl

Sources: https://www.influencewatch.org/non-profit/lawfare-project/ Links to ZOA in embedded post

Lawfare Project - InfluenceWatch Not to be confused with Lawfare, a legal news outlet. The Lawfare Project is a public interest law organization that provides legal counsel and services to members of the Jewish community to protect their civil and human rights. The Lawfare Project claims a global network of more than 350 lawyers. Activities The Lawfare Project’s Campus […] influencewatch.org

@GenXGirl1994 - GenXGirl

WORLD ZIONIST CONGRESS (WZC): is a “parliament of the Jewish people” comprised of Jews worldwide in a global gov forum which convenes in Israel. This year, the WZC is holding it’s 39th election for members of the Parliament & the extremist Zionist Coalition is campaigning to represent US Zionists https://azm.org/elections/  https://www.instagram.com/p/DBm8qb_tVeS/?igsh=MWV1emNrdm1sOTh6NQ==  https://azm.org/wp-content/uploads/ZOA-Two-Pager.pdf  https://www.zoacoalition.org/

Instagram instagram.com
American Zionist Movement AZM is the convening umbrella body of 43 American Jewish Zionist organizations and the US Zionist federation affiliated with the WZO azm.org
Vote ZOA Coalition Slate 15 The strategy to save Israel starts here. World Zionist Congress Election Rally votezoacoalition.org

@GenXGirl1994 - GenXGirl

Here is the Exec Director and founder of the Lawfare Project conflating her client’s case w/the ICC arrest warrants & investigation into Israel’s war crimes. She claims campus protests against genocide & the ICC is what the Nazis did. Watch for good laughs followed by WTF did I just watch.

@GoldsteinBrooke - Brooke Goldstein

I’m filming today from Chicago, where the Lawfare project just announced at a press conference that we are representing the two students who were viciously beaten at Depaul university, Max Long, my client, suffered a concussion, brain damage, and contusions to his neck and jaw as he was attacked from behind by Pro Palestinian masked assailants. Now there is a direct link between the politically motivated lawfare that we see at the ICC, and the violence that we are seeing on our campuses and on our streets against Jewish people. Remember, when the Nazis wanted to justify their genocide, the first thing they did was corrupt their courts and corrupt their campuses and that’s what we’re seeing now on US college campuses they’re being completely corrupted with these delegitimization campaigns

Video Transcript AI Summary
From Chicago, the Law Fair Project announced it represents the two students beaten at DePaul University: Max Long, who suffered a concussion, brain damage, and contusions to his neck and jaw after an attack from behind by pro Palestinian masked assailants; and Michael Kaminski, who sustained a broken wrist. They link the violence to the politically motivated lawfare at the International Criminal Court, arguing the ICC, ICJ, and United Nations have been weaponized to delegitimize the Jewish state and to frame Israel's self defense against terrorists as a violation of international law. They describe it as Jew hatred disguised as political activism, compare it to Nazi tactics of corrupting courts and campuses, and warn these campaigns create hostile environments that lead to violence. They call for delegitimizing the ICC, sanctioning its agents, upholding Jewish civil rights, holding perpetrators and schools accountable, and justice for Long and Kaminski.
Full Transcript
Speaker 0: I'm filming this vlog today from Chicago where the Law Fair Project just announced at a press conference that we are representing the two students who were viciously beaten at DePaul University. Max Long, my client, suffered a concussion, brain damage, and contusions to his neck and jaw as he was attacked from behind by pro Palestinian masked assailants. His friend, Michael Kaminsky, who tried to save him, suffered a broken wrist. And let me tell you something, there is a direct link between the politically motivated lawfare that we see at the International Criminal Court and the violence that we are seeing on our campuses and on our streets against Jewish people. The International Criminal Court, the International Court of Justice, and the United Nations have all been perversely weaponized to delegitimize the Jewish state. They are trying to frame Israel's self defense against terrorists as a violation of international law, which it is not. And what this has done is created a pretext for these fake social justice movements who masquerade as political advocates but who are really pro terror bigots and give them a pretext to project their hatred of Israel on someone because they're Jewish. It's nothing but Jew hatred disguised as political activism, and frankly, it's the oldest trick in the book. When the Nazis wanted to justify their genocide, the first thing they did was corrupt their courts and corrupt their campuses. And that is what we're seeing now on US college campuses. They are being completely corrupted with these delegitimization campaigns, which then create a hostile environment and then inevitably leads to violence. So what has to be done? First of all, the International Criminal Court has to be delegitimized. It's a kangaroo court. It has no authority over Israel, no authority over The United States, and I'm encouraged by president Trump's statement that he will reimpose sanctions against the court and its agents for overstepping their authority and degrading the international legal system. Second of all, we must uphold the civil rights of the Jewish community. We have to hold the schools accountable for fostering and tolerating a hostile environment and for failing to protect their students. Of course, the perpetrators of these hate crimes must be held accountable. And that is why I am so proud to be representing both Max Long and Michael Kaminski and will work tirelessly to ensure their civil rights are protected and that justice is served.

@GenXGirl1994 - GenXGirl

The Lawfare Project’s Board members are former members of AIPAC, Council on Foreign Relations and the Israeli propaganda outlet, the Middle East Forum. Another Zionist who works for the Middle East Forum recently published an article in JNS claiming a student at Georgetown needs to be deported. She later bragged on social media that it was her reporting to the Trump Administration that prompted ICE to arrest the student.

@GenXGirl1994 - GenXGirl

THE ISRAEL PROPAGANDA NETWORK BEHIND GEORGETOWN STUDENT ARREST Ashley Stanley, the author of the JNS article that @DHSgov & @StateDept based their arrest & deportation of a student on, works for major ISRAEL PROPAGANDA outlets: - @JNS_org - @ynet - @JewishChron - @MiddleEastForum The Middle East Forum also funds Zionist publications: - @Algemeiner - @CAMERAorg - Australian/Israel and Jewish Affairs Council

@GenXGirl1994 - GenXGirl

STUDENT DEPORTATION @DHSgov & @StateDept are deporting a student based on an article written by Jewish Network Syndicate @JNS_org The same JNS that Ronn Torossian, President of the hate group, Betar & former Kahane Chai member (terrorist) writes for? https://t.co/VpdWVKWmvU

@GenXGirl1994 - GenXGirl

The Lawfare Project receives funding from the Maccabee Task Force which is a Sheldon Adelson and convicted criminal, Adam Milstein creation at the behest of Benjamin Netanyahu in 2015. The Maccabee Task Force is also linked to Israel’s funding via Voices of Israel (previous known as Concert & Kela Shlomo, respectively).

@GenXGirl1994 - GenXGirl

x.com/i/article/1782…

@GenXGirl1994 - GenXGirl

@OfficialElftown Yup. A lot of these groups have direct ties to Israel.

@GenXGirl1994 - GenXGirl

@XindaliusAnzu Precisely. Someone asked me last year why I spend so much time tracking what Zionists are doing to attack universities and I explained what you just wrote.

Saved - August 31, 2025 at 6:21 AM
reSee.it AI Summary
In July 2024, I witnessed a coordinated effort by various influencers and politicians, including Elon Musk, to undermine Maduro during his election. The same individuals pushing for this intervention are also promoting Israeli propaganda. I noted the far-right opposition leader, María Corina Machado, who has sought military support from Israel against Maduro, while he supports Palestine. The narrative around this coup reveals a network of pro-Israel figures, including Carlos Gimenez, who frequently expresses allegiance to Israel. The situation is troubling, and I can't help but feel disgusted by it all.

@GenXGirl1994 - GenXGirl

Here’s a glimpse of what I witnessed last July 2024 when every grifter, paid influencer, neocon & neoliberal politician & Elon Musk tried to overthrow Maduro on his election night Pay attention to who you see because you’ll notice they’re the same op pushing Israeli propaganda

Video Transcript AI Summary
Flare is another very important phase of warfare. It has as its target not the body, but the mind of the enemy. The target of psychological warfare is against the enemy's mind. It is words and ideas. Ammunition used by a side war. Its mission is to influence the thoughts of the enemy soldiers And at the same time Is expected and encouraged to study foreign languages and the social sciences such as history, economics, and sociology. He must have a broad and sympathetic understanding These are the CIWAR soldiers.
Full Transcript
Speaker 0: Flare is another very important phase of warfare. It has as its target not the body, but the mind of the enemy. The target of psychological warfare is against the enemy's mind. It is words and ideas. Ammunition used by a side war. Its mission is to influence the thoughts of the enemy soldiers And at the same time Is expected and encouraged to study foreign languages and the social sciences such as history, economics, and sociology. He must have a broad and sympathetic understanding These are the CIWAR soldiers.

@GenXGirl1994 - GenXGirl

Buckle up kids. The “anti-war” @POTUS is about to invade Venezuela Our Government is literally the world’s warmonger and we can’t do anything about it.

@GenXGirl1994 - GenXGirl

Trump/Rubio claim their plan to overthrow Maduro in Venezuela is because they’re “fighting drug trafficking”. Their deployment of nuclear subs, 2200 marines & 7 warships to Venezuela says otherwise.

@GenXGirl1994 - GenXGirl

Check out Carlos. He’s getting a chubby thinking about death and destruction.

@RepCarlos - Rep. Carlos A. Gimenez

🚨Dictator Nicolás Maduro’s narcoterrorist drug cartel is about to get annihilated. America, #Venezuela, & the entire hemisphere will benefit enormously from the destruction of the Cartel de los Soles.

@GenXGirl1994 - GenXGirl

👇🏼

@GenXGirl1994 - GenXGirl

I told you. They will replace Maduro with the same puppets they attempted to plant last year.

@RepCarlos - Rep. Carlos A. Gimenez

Pronto nos veremos en una Caracas libre de narcodictadura comunista. ¡Viva María Corina Machado! ¡Viva Edmundo González! ¡Viva Estados Unidos! ¡Viva Venezuela Libre! 🇺🇸🤝🇻🇪

@GenXGirl1994 - GenXGirl

Considering the fact that Corina Machado asked Netanyahu to attack Venezuela, it’s quite interesting that Carlos Gimenez who has also pledged allegiance to Israel is uwake at 1am & live posting about the invasion.

@GenXGirl1994 - GenXGirl

Carlos “Am Yisrael Chai” Gimenez is throwing stones. Checkout how many times he’s posted “Long Live Israel”.

@RepCarlos - Rep. Carlos A. Gimenez

🚨BREAKING —> I just introduced a resolution to remove @repdeliaramirez from the Homeland Security Committee. She said it herself. She’s loyal to Guatemala — not the United States of America. https://www.foxnews.com/politics/rep-who-fled-communism-seeks-squad-members-ouster-guatemalan-first-before-american-comments

Cuban-born congressman calls for 'Squad' member’s removal over ‘Guatemalan before American’ remark Rep. Carlos Gimenez files resolution to remove "Squad: member Rep. Delia Ramirez from Homeland Security Committee after she said she's "a proud Guatemalan before I am an American." foxnews.com

@GenXGirl1994 - GenXGirl

👇🏼

@BenjaminNorton - Ben Norton

Venezuela's far-right US-funded opposition leader María Corina Machado loves Israel. In 2018, she sent this letter asking genocidal criminal Netanyahu to militarily intervene to overthrow President Maduro. Maduro strongly supports Palestine, condemning Israel as a fascist regime https://t.co/bJVDXY8PCI

@MariaCorinaYA - María Corina Machado

1/3 Hoy envío carta a @mauriciomacri, Presidente de Argentina y a @netanyahu, Primer Ministro de Israel, para pedirles que apliquen su fuerza e influencia para avanzar en el desmontaje del régimen criminal venezolano, íntimamente ligado al narcotráfico y al terrorismo.

@GenXGirl1994 - GenXGirl

👇🏼

@GenXGirl1994 - GenXGirl

Every actor in this coup of Venezuela is an agent of Israel Check out Mike Waltz who was fired from NSC because of his collusion with Israel. Their puppet Corina Machado asked Israel to attack Venezuela Carlos Gimenez has posted “Long Live Israel” over 35 times & take Israel $ https://t.co/ZMNJ7IA0n6

@GenXGirl1994 - GenXGirl

@hippyresident Disgusting pigs. All of them.

@GenXGirl1994 - GenXGirl

@MeanLILMeoW Well pull out your popcorn cause you’re about to see some real suffering.

Saved - August 24, 2025 at 7:47 AM

@GenXGirl1994 - GenXGirl

Don’t Expect Tom Alexandovich Back @BreakingPointsN reports Zionist powers + our Gov are protecting him, plus, the last time Israel extradited someone to the US, it took 11yrs At 1:42, you’ll see some evidence that was posted by me! Kinda cool to see it on Breaking Points https://t.co/pljnuUHRPD

Video Transcript AI Summary
Speaker provides a Folsom update on Tom Alexandrovich. Las Vegas is described as a 'mafia state' with a blackout on the case; top-down suppression is claimed. Las Vegas Review Journal, owned by Adelson, reports that Alexandrovich has hired celebrity attorneys David Chesnoff and Richard Schonfeld. Chesnoff, described as the most powerful lawyer in Nevada, was appointed by Trump to the Homeland Security Advisory Committee; he wrote a Nov 2023 piece on volunteering in an Israeli hospital and has Israeli awards. In 2021 Chesnoff donated $30,000 to Clark County DA Steve Wolfson, who prosecutes Alexandrovich; this is framed as 'pay to play justice' in a local scandal. Wolfson says Alexandrovich was treated normally but floated probation; extradition treaties exist. Research shows the last time Israel returned a pedophile was Oct 2023 (Gershon Kranzer) after eleven years; aliyah and Israeli extradition loopholes complicate return. Without pressure, Alexandrovich may not be returned.
Full Transcript
Speaker 0: Let's talk about this new update, shall we, on this mister Tom Alexandrovich. So I wanted to provide everybody a Folsom update. As I have said earlier at the top, Las Vegas, you guys are like a mafia state. Like, the blackout that I have now gotten from people who I originally could get on the phone is extraordinary. And the reason why is the word has come on down from the top. Everybody shut up about this case. And in particular, it shows from the lawyer that Tom Alexandrovich has hired. So let's go and put this up there on the screen. The Las Vegas Review Journal, who's owned by who? Who? Right? That would be Adelson. Oh, Mary Adelson. Right. Oh, forgot about that. The Las Vegas Review Journal has now confirmed that the Israeli official Tom Alexandrovich, who was caught up in that child sex sting, has now hired the celebrity attorney David Chesnoff and Richard Schonfeld. David Chesnoff is the most powerful lawyer in the entire state of Nevada. Very recently, he, along with 22 others, including Mark Levin, were appointed by Donald Trump to the Homeland Security Advisory Committee. Okay? Just to show you how powerful this current individual is. And lo and behold, it will shock you, absolutely shock you to learn that he is a very pro Israel lawyer who is the most powerful one in the state of Nevada. Let's go to the next one, please. He actually did an entire article with the Las Vegas Review Journal back in November 2023, where he went to Israel to volunteer in a hospital. He claimed that he had spent a lot of time there over the years. He's now been awarded actually with several awards pertaining to the state of Israel and for a lot of his support, which brings me actually to the next one. So let's go and put that one up on the screen. So this is fascinating. I'm becoming very familiarized with the state. Back in 2021, it was actually kind of a scandal in Vegas because David Chesnoff, the lawyer now for Tom Alexandrovich, donated $30,000 to the Clark County DA, Steve Wolfson. Steve Wolfson is the person who is in charge of prosecuting Mr. Alexandrovich. Now people need to understand that this famous defense lawyer donates 30 k to the Clark County DA, Steven Wolfson. Now we are currently in a situation which they called pay to play justice in the scandal there at the time, where Mr. Chesnoff is now representing Tom Alexanderich in the very case that D. A. Wolfson is prosecuting this Israeli government official for. I will continue to note that Wolfson has only given one interview on the case of Alexanderich. He said that he was treated completely normally, but he floated a probation as a potential option. So everybody understands here, he's potentially already floating the idea that Alexandrovich can walk scot free, and he can just get probation. He also said currently that he doesn't have any concerns about Alexandrovich's return, but he's like, we have extradition treaties there that are available. Well, I looked into it because that's what I do. Let's go and put D7, please, up here on the screen. And I actually did some research. I go, Okay, when is the last time Israel returned a charged American pedophile? Well, the most recent is just from October 2023 when a guy named Gershon Kranzer who was charged with multiple crimes against children in 2010, fled to Israel, it took eleven years to return him to The United States. Why? Because he took advantage of aliyah, the right to return, which we talked about earlier in the show, the Israeli legal system and specifically the extradition treaty with The United States has multiple loopholes for any Israeli citizen who is facing extradition. In fact, this became a crisis back in 1999 because actually locally here, Crystal, a 17 year old murdered another 17 year old, butchered his body, and set him on fire. His father was Israeli, and he's like, Look, Israel's got no extradition. We're going. And so he fled to Israel. What ended up happening is that the Israelis, after massive diplomatic pressure happened, they said, okay, okay, our Supreme Court won't allow him to be extradited. So we'll try him for the crime in Israel, and he can serve his prison sentence there. That leads to a 2,005 extradition protocol. That protocol, though, has massive amounts of holes in it, which basically the Israeli legal system is rigged, I guess if all should be, for the ability for their citizens to not face extradition. So the current problem is, is this guy ever coming back? He has no incentive to. As I just showed you, you can fight your case for eleven years and still barely face return. This is very, very difficult. There's already statute of limitations problems from a guy, a rabbi, who was charged in the 1980s. He still is living with impunity in the state of Israel, never came back, because the Israeli Supreme Court was like, oh, it's the statute of limitations, but it's the only statute of limitations because he fled, right? So he was able to run out for He still lives there, totally out in the open with impunity. I mean, a horrific pedophile. And so every ounce of research I have seen here is that this guy who worked for the government, and if he wants to, basically, if Trump doesn't put any serious pressure on the government, we will never see him again. Because think about it. The prison sentence for this charge is one to ten years, and the DA is already floating probation. You're gonna fight a guy for eleven years for extradition to come back and serve a white I think we should, to be clear, just to set an example for all of our diplomats. But the the road is set to the sweetheart deal of all time. And so I'm just laying the groundwork for the powers that be. They are out in full force to protect this guy. There's been a to Edelson, to the government. I mean, it's all out there. There there have been

@GenXGirl1994 - GenXGirl

@esaagar Oh My God! Alexandovich hired Chessnof & Schonfeld? Clark County DA @TheDA_Wolfson is who is prosecuting Alexandovich. Wolfson received $30K from David Chesnoff & Richard Schonfeld! Then Wolfson recognized Chesnoff with an award for his dedication to ISRAEL! https://t.co/UdvkOOvGBU

@esaagar - Saagar Enjeti

Las Vegas Review journal confirms that the Israeli official Tom Alexandrovich caught up in a child sex sting has hired celeb attorneys David Chesnoff and Richard Schonfeld Chesnoff was appointed by Trump to the Homeland Security Advisory Committee

Saved - August 23, 2025 at 5:12 PM
reSee.it AI Summary
The driver of a billboard truck protesting the famine in Gaza was arrested near NBC's Washington office, where a media encampment has been ongoing for four weeks. The truck displayed a message highlighting President Trump's statement about starvation in Gaza. Concerns are rising about federal law enforcement potentially intimidating immigrant workers and silencing Palestinian advocacy. Updates indicate that police are withholding information about the charges, and the driver’s whereabouts remain unknown. The situation reflects broader issues of censorship and civil rights in D.C.

@GenXGirl1994 - GenXGirl

BREAKING: US Capitol Police & ICE Arrest Billboard Truck Driver Protesting Gaza Famine The driver was arrested & the truck was towed near NBC office at 400 North Capitol Street, NW, site of a 4-week media encampment on Gaza The truck displayed a message about Israel’s ongoing famine in Gaza, featuring President Trump's recent statement: "Children in Gaza face real starvation." The truck was hired by @JFAorg This is an alarming crackdown on speech

@GenXGirl1994 - GenXGirl

This is the group that hired the truck. There is an ongoing 4-week long encampment (protesting the media’s lack of coverage about the famine) in front of the NBC office in DC and the truck was parked there yesterday but today, it got towed and driver was arrested.

@JFAorg - Justice For All

BREAKING!!! US Capitol Police & ICE Arrest Billboard Truck Driver Protesting Gaza Famine Close to Ongoing US Media Protest Encampment in Washington, D.C. The driver of the truck (hired by Justice For All) was arrested while operating a digital billboard truck outside NBC's Washington headquarters at 400 North Capitol Street, NW, where a media encampment on Gaza has been ongoing for 4 weeks. The truck displayed urgent messaging on Israel's manufactured famine, including President Trump's recent admission that children in Gaza face "real starvation." This chilling escalation raises grave concerns that federal law enforcement is being weaponized to intimidate immigrant workers and silence Palestinian advocacy in the U.S.

@GenXGirl1994 - GenXGirl

This is a clip from one of their protests against the media’s silence on the Israel inflicted famine in Gaza. Looks like families and American activists. https://t.co/UZh6n3c3z2

@GenXGirl1994 - GenXGirl

If he was arrested because of the message on the truck, it will align with what’s happening elsewhere

@GenXGirl1994 - GenXGirl

1st Amendment is NOT Terrorism Trump instructed USCIS to vet all applicants for IHRA antisemitism which makes criticism of Israel, Antisemitic. They’re also using Project Esther’s correlation which EQUATES: - Anti-Israel Speech, to - Anti-American Speech, to - Terrorism Esther’s data comes from Israel operatives: - ADL - NCRI - ISGAP - Canary Mission

@GenXGirl1994 - GenXGirl

The 4th Amendment restricts the US Gov’s ability to spy on Americans Thru the Heritage Foundation, the Israel lobby created a roadmap called Project Esther so our Gov can outsource surveillance to Israeli @canarymission Now, this spying operation is going AI via Palantir🧵

Video Transcript AI Summary
The Canary Mission is an Israeli funded blacklist, which since July 2025, has been confirmed to be used by the Trump administration to target students, professors, and professionals who oppose Israel and reside in The United States. This idea is part of an initiative created by the Heritage Foundation, the same group responsible for the infamous Project twenty twenty five. In their initiative titled Project Esther, they state that students participating in pro Palestinian protest and activism are supporting Hamas, a group that The United States designates as a foreign terrorist organization. Therefore, pro Palestinian students are considered to be supporting terrorism and are subject to the revocation of visas, frozen bank accounts, asset seizures and the denial of basic constitutional rights. Palantir, another company closely aligned with the state of Israel, uses AI driven analytics to maintain private databases on US citizens, and currently works with four federal agencies.
Full Transcript
Speaker 0: The Canary Mission is an Israeli funded blacklist, which since July 2025, has been confirmed to be used by the Trump administration to target students, professors, and professionals who oppose Israel and reside in The United States. This idea is part of an initiative created by the Heritage Foundation, the same group responsible for the infamous Project twenty twenty five. In their initiative titled Project Esther, they state that students participating in pro Palestinian protest and activism are supporting Hamas, a group that The United States designates as a foreign terrorist organization. Therefore, pro Palestinian students are considered to be supporting terrorism and are subject to the revocation of visas, frozen bank accounts, asset seizures and the denial of basic constitutional rights. In effect, the Canary Mission serves as a means to circumvent constitutional protections, allowing the federal government to engage in intelligence gathering, activities that would otherwise be considered unlawful. But the canary mission is not alone. Palantir, another company closely aligned with the state of Israel, uses AI driven analytics to maintain private databases on US citizens, and currently works with four federal agencies. While government contracting with the private sector is long standing, the prominent influence of pro Israel groups within these increasingly powerful organizations warrants careful examination.

@GenXGirl1994 - GenXGirl

Meanwhile, Trump is on his daily drive-thru of DC to “make it safe”.

@MargoMartin47 - Margo Martin

President @realDonaldTrump visiting with federal and local law enforcement helping to Make DC Safe Again! 🇺🇸 https://t.co/rUvw9DhWof

@GenXGirl1994 - GenXGirl

Ok, just got an update from an individual who is part of the organization that hired the truck. They said the police would not tell them the charges, stating “they owe no one answers”. They also told me no one can locate the driver.

@GenXGirl1994 - GenXGirl

Here is a thread. Since the DC takeover, I’ve been posting that something is off. From Leo Terrell starting this whole frenzy because an Israel lobby group got mad that DC wouldn’t pay their security bill to now this.

@GenXGirl1994 - GenXGirl

Situation in DC is Bad🧵 - Mass Incarcerations - Military Cars Everywhere - DC Residents Protesting - Racial Profiling of Minorities - Ppl Snatched off the Street - Door Dash Drivers Targeted - Billboard Driver Disappeared - Ppl Have to Carry Docs Proving Their Status https://t.co/hzEaKQqq2o

@GenXGirl1994 - GenXGirl

BREAKING: US Capitol Police & ICE Arrest Billboard Truck Driver Protesting Gaza Famine The driver was arrested & the truck was towed near NBC office at 400 North Capitol Street, NW, site of a 4-week media encampment on Gaza The truck displayed a message about Israel’s ongoing

@GenXGirl1994 - GenXGirl

@PhilipRevere Idk yet. I’ve sent some messages out to confirm.

@GenXGirl1994 - GenXGirl

@Moonface6969 https://t.co/8ievY52YAl

@GenXGirl1994 - GenXGirl

Ok, just got an update from an individual who is part of the organization that hired the truck. They said the police would not tell them the charges, stating “they owe no one answers”. They also told me no one can locate the driver.

@GenXGirl1994 - GenXGirl

@Saharazade123 They even quoted Trump saying the kids are starving. It’s madness.

@GenXGirl1994 - GenXGirl

@senorameredith Idk. I’m trying to confirm.

@GenXGirl1994 - GenXGirl

@WaiswaserS Move to Israel since you’re so into censorship https://t.co/Y2Q0MOuUZX

@GenXGirl1994 - GenXGirl

@GypsyD24 Yeah, I’m trying to find out why he was arrested but the people who hired the truck seem to believe it was over the message on the billboard.

@GenXGirl1994 - GenXGirl

@Submission2T Yup. Smh.

@GenXGirl1994 - GenXGirl

@sw00p Idk yet.

@GenXGirl1994 - GenXGirl

@yourmaineguy1 @Athena_is_her I’ve sent messages to confirm. I’ll post when I confirm.

@GenXGirl1994 - GenXGirl

@PeterO47790532 Right? Apparently, NBC has been monitoring the protestors with cameras.

Saved - August 23, 2025 at 12:16 PM

@GenXGirl1994 - GenXGirl

Since I missed this story, here’s my takeaway AIPAC bought @RepWesleyBellMO’s seat in Missouri for $12 Million He THOUGHT he could go on AIPAC’s trip to Israel, come back & sell their garbage to voters. When his constituents told him to f*ck himself, he had them beat up. https://t.co/ghuNLDTiUC

@ryangrim - Ryan Grim

St. Louis police and security for Rep. Wesley Bell got quite rough with townhall attendees at the end of the recent event. Here's new video from one constituent who filmed some of the assaults and by the end is getting thrown to the ground himself: https://t.co/VHZL0i8QbN

Saved - August 19, 2025 at 10:36 PM
reSee.it AI Summary
Sigal Chattah has been a controversial figure, particularly regarding her involvement in the Tom Alexandovich case, where she declined to prosecute him and allegedly used loopholes for her U.S. Attorney position. She has made inflammatory statements about Palestinians and her political opponents. Recent posts highlight her connections to the case, including claims of interference from federal authorities that allowed Alexandovich to flee to Israel. Additionally, there are concerns about her past social media activity and the integrity of local law enforcement in handling the case.

@GenXGirl1994 - GenXGirl

Who is Sigal Chattah? - Involved in Tom Alexandovich Escape - Declined to Prosecute Alexandovich - Used Loophole for US Attorney Job - “All Palestinians are terrorists” - “I’m Israeli & Jewish so it’s Not Racist” - Christian AG Ford Should be “Hung from a F*cking Crane” Watch

Video Transcript AI Summary
Building behind me is the United States Attorney's Office for the District of Nevada. On Tuesday, the interim US attorney resigned, and the Trump administration appointed an acting US attorney—the same person. Seagal Chadda, a Republican attorney who lost a race in 2022 for attorney general, was named interim US attorney by the Trump administration starting April 1. By law, she could only serve one hundred and twenty days, a term that ended Tuesday. The US attorney's office confirmed Chadha had resigned and was immediately named acting US attorney. Chadha has not been formally nominated for the permanent job, which requires senate confirmation. Speaker 2: "There was an opportunity under the law. I took that opportunity. It's not unconstitutional." "There is nothing that politicians can do about A lot of these people I know that they're scared because I know where a lot of bodies are buried because" Speaker 3: "I’m Israeli. I’m Jewish." Chadha insists she received no complaints while interim US attorney. Speaker 2: "We’ll go after human trafficking." Speaker 4: "Historically, there has not been an incentive to go after human trafficking." Speaker 1: "So what are you doing to change that?" Speaker 2: "Yes. Yes."
Full Transcript
Speaker 0: Building behind me is the United States Attorney's Office for the District of Nevada. On Tuesday, the interim US attorney resigned, and the Trump administration appointed an acting US attorney. But get this, it's the same person. Seagal Chadda, a Republican attorney who lost a race in 2022 for attorney general, was named interim US attorney by the Trump administration starting April 1. By law, she could only serve one hundred and twenty days, a term that ended Tuesday. But the US attorney's office confirmed Chadha had resigned and was immediately named acting US attorney. Chadha has not been formally nominated for the permanent job, which requires senate confirmation. Speaker 1: What can you say about the legal maneuver which resulted in you becoming the acting U. S. Attorney here? Speaker 2: So, you know what the politicians call legal maneuvers, and you know, politicians politics and we play by the rule of law. There was an opportunity under the law. I took that opportunity. It's not unconstitutional. It was not done in a nefarious manner. And there is nothing that politicians can do about A lot of these people I know that they're scared because I know where a lot of bodies are buried because Speaker 3: like I said, I'm Israeli, I'm Jewish. Speaker 2: Oh, know, without saying too much about my previous experience as a defense attorney. But when you play that side, you know, where all the bodies are buried. Sometimes you even choose the location to bury them. Speaker 3: I mean, like I said, I'm I'm Israeli. I'm I'm Jewish. Speaker 4: Chadha not revealing what she means specifically. She insists she received no complaints while on the job as interim US attorney. Speaker 1: Why do you think you're so polarizing? Speaker 2: It's not that I'm a politically poll polarizing person. It's that I know where all the bodies are buried. That's what scares them. So this isn't about me being an extremist. Speaker 3: For me, like I said, I'm I'm Israeli. I'm I'm Jewish. Speaker 5: Sent a text to a former friend about AG Ford. You said he should be, and I quote, hung from an effing crane. I I have to just ask off the top. I understand it was a private text to a friend, but why would you write that, those words? Speaker 2: The bottled water. Speaker 5: Bottled water fell It's Is that okay? Speaker 3: You guys got that right? Speaker 5: We'll take care of that. Speaker 2: The comparison that I had made was I compared him to a leader of Hamas. Speaker 5: And though even with your different political views than him, that well, that comment in America about an African American man, even if it's not how you intended it, could be deemed racist. Can you understand how people would hear it and see it that way? Speaker 2: I'm a Yemenite Jew. Okay? We're the blacks of The Middle East. There's no question about it. Okay? But corrupt people do go to jail and, you know, I I don't know that they get executed in The US but that was in comparison to a leader of Hamas and that's what they do to traders in The Middle East. Speaker 3: I mean, I'm a Yemenite Jew. It doesn't get much darker than, you know, than being a Yemenite Jew. Speaker 4: Her priority, she says, human trafficking. In Las Vegas, a well known sex trafficking hub, we haven't seen many federal cases. Speaker 2: Historically, there has not been an incentive to go after human trafficking. Speaker 1: So what are you doing to change that? Speaker 2: We're going to go after human trafficking. Yes. Yes.

@GenXGirl1994 - GenXGirl

Source: Letter from 116 Judges opposing Chattah’s appointment to US attorney (Recommended reading the details) https://societyfortheruleoflaw.org/wp-content/uploads/Chattah-Letter.pdf https://web.archive.org/web/20220117203556/https://www.political.tips/post/as-nevada-leo-hack-exposes-pretty-eric-garner-killing-chattah-text-calls-for-ford-hanging-more

Page not found - Society for the Rule of Law Standing up for the principles of constitutional governance societyfortheruleoflaw.org
As Nevada LEO hack exposes "pretty" Eric Garner killing; Chattah text calls for Ford hanging. More For background, and an overview, of the massive June, 2020 "Blue Leaks" Law Enforcement hack please read our previous articles here and here. Upon close inspection of documents and databases belonging to multiple Nevada based law enforcement agencies taken during the "Blue Leaks" episode , it appears as though not only did the Battle Born State's role in the security breach go widely unreported until now but that significant exposure of sensitive information was the result of the event. This has web.archive.org

@oelayat - Omar El-Ayat

In January 2022 during Sigal Chattah’s run for Nevada Attorney General, leaked text messages revealed she compared the incumbent Aaron Ford to the leader of Hamas and stated that he "should be hanging from a fucking crane.” This was her “defense” of those claims.

@GenXGirl1994 - GenXGirl

👇🏼Expand to read.

@GenXGirl1994 - GenXGirl

Sigal Chattah claims @TheDA_Wolfson (also pro-Israel) & the judge let Tom Alexandovich flee b/c they didn’t take his passport However, local news reports the court docs show the pedo never saw a court judge & fled before charges were filed, meaning, passport restrictions weren’t applied yet Local law enforcement told @shaunking the Federal Government intervened and released him U.S. Attorney Sigal Chattah was part of the investigation. He was allowed to call the Israeli government who had ample time to make calls to get him released with insiders. Someone let this Israeli pedo escape before charges could be filed. @AGPamBondi @FBIDirectorKash

@USAttyChattah - US Attorney Chattah

A liberal district attorney and state court judge in Nevada FAILED TO REQUIRE AN ALLEGED CHILD MOLESTER TO SURRENDER HIS PASSPORT, which allowed him to flee our country. The Attorney General @AGPamBondi just called me outraged and she also called the @FBIDirectorKash . The

@GenXGirl1994 - GenXGirl

Check out her BS post on her Gov account AFTER she deleted her personal account.

@GenXGirl1994 - GenXGirl

@USAttyChattah @AGPamBondi @FBIDirectorKash Chattah, say his name and the country he fled to. - TOM ALEXANDOVICH - - ESCAPED TO ISRAEL - Explain why local police said the Federal Gov (You) intervened to release him. Also, why did you delete your other account where you posted all your Pro-Israel genocidal thoughts?

@USAttyChattah - US Attorney Chattah

A liberal district attorney and state court judge in Nevada FAILED TO REQUIRE AN ALLEGED CHILD MOLESTER TO SURRENDER HIS PASSPORT, which allowed him to flee our country. The Attorney General @AGPamBondi just called me outraged and she also called the @FBIDirectorKash . The

@GenXGirl1994 - GenXGirl

👇🏼

@shaunking - Shaun King

In the past 24 hours my wife, who is a school Principal, has had every social media account and her laptop hacked into. Even with 2 factor. All of this has happened since I've been documenting the scandal around the Israeli pedophile Tom Alexandrovich.

@GenXGirl1994 - GenXGirl

Check out her campaign ad for AG. The same campaign where she said her opponent should be hung from a f*cking crane. This video has been virtually wiped from the web so this is a rare find.

@hippyresident - 𝕻𝖆𝖓𝖓𝖘𝖙𝖎𝖌𝖆𝖙𝖔𝖗

@GenXGirl1994

@GenXGirl1994 - GenXGirl

This is the DA she kicked the case to (also Pro-Israel).

@GenXGirl1994 - GenXGirl

This Tod Alexandovich Israeli pedo case keeps getting dirtier by the minute. Sometime today, @USAttyChattah announced his case is being prosecuted by Clark County DA Steve Wolfson @TheDA_Wolfson after Tom fled to Israel with the help of our Gov Check Steve Wolfson’s record

@RealJusticePAC - Real Justice

Clark County DA @TheDA_Wolfson received: 💰 $30k from David Chesnoff's firm and declined to prosecute a client accused of rape 💰 $20k from Steve Wynn and declined to prosecute him for sexual assault Las Vegas needs a DA not engaged in pay-to-play. https://vegaswatch.substack.com/p/donations-to-district-attorney-steve

Donations To District Attorney Steve Wolfson Raise Specter Of Pay-For-Play Justice In Las Vegas “This smells bad and if you don't think it does you're not paying close enough attention.” vegaswatch.substack.com

@GenXGirl1994 - GenXGirl

This is f*cking unbelievable!

@GenXGirl1994 - GenXGirl

@esaagar Oh My God! Alexandovich hired Chessnof & Schonfeld? Clark County DA @TheDA_Wolfson is who is prosecuting Alexandovich. Wolfson received $30K from David Chesnoff & Richard Schonfeld! Then Wolfson recognized Chesnoff with an award for his dedication to ISRAEL! https://t.co/UdvkOOvGBU

@esaagar - Saagar Enjeti

Las Vegas Review journal confirms that the Israeli official Tom Alexandrovich caught up in a child sex sting has hired celeb attorneys David Chesnoff and Richard Schonfeld Chesnoff was appointed by Trump to the Homeland Security Advisory Committee

@GenXGirl1994 - GenXGirl

@MikeCherneski I know, right?!? WTF. Who says that and who repeats it 3 times!

@GenXGirl1994 - GenXGirl

@hippyresident OMG! you found the campaign ad! I was looking for this but couldn’t find it.

@GenXGirl1994 - GenXGirl

@dznutzurface I do follow you! 😂 Sorry if I’ve missed your posts. There’s so much on this topic that I can’t keep up with all the posts. 😅 @hippyresident says you’re an expert on DataRepublican. We should chat.

@GenXGirl1994 - GenXGirl

@scottygirl2014 We can only hope. It’s more likely they’ll never mention it and just repeat party political lines. They’re all compromised.

@GenXGirl1994 - GenXGirl

@Stacylynn8112 Dude! There’s so much on YouTube.

@GenXGirl1994 - GenXGirl

@Sn0wZ3r0 Yup. And at this level, I highly doubt geriatric Trump even knows who she is. At this level, Petal would make the recommendation to Bondi, who would make the recommendation to Trump. It’s a giant shit show of corrupt Israeli infiltration.

Saved - August 19, 2025 at 9:05 PM
reSee.it AI Summary
GenXGirl1994 discusses Sigal Chattah, highlighting her involvement in the Tom Alexandovich case, her decision not to prosecute him, and her controversial statements, including views on Palestinians and a harsh comment about Christian AG Ford. dznutzurface humorously urges GenXGirl1994 to follow back.

@GenXGirl1994 - GenXGirl

Who is Sigal Chattah? - Involved in Tom Alexandovich Escape - Declined to Prosecute Alexandovich - Used Loophole for US Attorney Job - “All Palestinians are terrorists” - “I’m Israeli & Jewish so it’s Not Racist” - Christian AG Ford Should be “Hung from a F*cking Crane” Watch https://t.co/WD9woSHqoi

Video Transcript AI Summary
On Tuesday the interim US attorney resigned, and the Trump administration appointed an acting US attorney—the same person, Seagal Chadha, a Republican who lost a 2022 bid for attorney general, named interim US attorney starting April 1. By law she could serve 120 days, a term that ended Tuesday. The office confirmed Chadha resigned and was immediately named acting US attorney; she has not been formally nominated for the permanent job, which requires Senate confirmation. Asked about the legal maneuver, she said: "There was an opportunity under the law. I took that opportunity. It's not unconstitutional. It was not done in a nefarious manner." She said she knows "where all the bodies are buried" and insisted she received no complaints while interim. "I'm Israeli. I'm Jewish." She said polarization comes from what she knows. A caller noted her remark about AG Ford: "hung from an effing crane." She replied: "I'm a Yemenite Jew. We're the blacks of The Middle East." She added: "Historically, there has not been an incentive to go after human trafficking... We're going to go after human trafficking. Yes. Yes."
Full Transcript
Speaker 0: Building behind me is the United States Attorney's Office for the District of Nevada. On Tuesday, the interim US attorney resigned, and the Trump administration appointed an acting US attorney. But get this, it's the same person. Seagal Chadda, a Republican attorney who lost a race in 2022 for attorney general, was named interim US attorney by the Trump administration starting April 1. By law, she could only serve one hundred and twenty days, a term that ended Tuesday. But the US attorney's office confirmed Chadha had resigned and was immediately named acting US attorney. Chadha has not been formally nominated for the permanent job, which requires senate confirmation. Speaker 1: What can you say about the legal maneuver which resulted in you becoming the acting U. S. Attorney here? Speaker 2: So, you know what the politicians call legal maneuvers, and you know, politicians politics and we play by the rule of law. There was an opportunity under the law. I took that opportunity. It's not unconstitutional. It was not done in a nefarious manner. And there is nothing that politicians can do about A lot of these people I know that they're scared because I know where a lot of bodies are buried because Speaker 3: like I said, I'm Israeli, I'm Jewish. Speaker 2: Oh, know, without saying too much about my previous experience as a defense attorney but when you play that side, you know where all the bodies are buried sometimes you even choose the location to bury them Speaker 3: me like I said I'm I'm Israeli. I'm I'm Jewish. Speaker 4: Chadha not revealing what she means specifically. She insists she received no complaints while on the job as interim US attorney. Speaker 1: Why do you think you're so polarizing? Speaker 2: It's not that I'm a politically poll polarizing person. It's that I know where all the bodies are buried. That's what scares them. So this isn't about me being an extremist. Speaker 3: For me, like I said, I'm I'm Israeli. I'm I'm Jewish. Speaker 5: Sent a text to a former friend about AG Ford. You said he should be, and I quote, hung from an effing crane. I I have to just ask off the top. I understand it was a private text to a friend, but why would you write that, those words? Speaker 2: The bottled water. Speaker 5: Bottled water fell It's Is that okay? Speaker 3: You guys got that right? Speaker 5: We'll take care of that. Speaker 2: The comparison that I had made was I compared him to a leader of Hamas. Speaker 5: And though even with your different political views than him, that well, that comment in America about an African American man, even if it's not how you intended it, could be deemed racist. Can you understand how people would hear it and see it that way? Speaker 2: I'm a Yemenite Jew. Okay? We're the blacks of The Middle East. There's no question about it. Okay? But corrupt people do go to jail and, you know, I I don't know that they get executed in The US but that was in comparison to a leader of Hamas and that's what they do to traders in The Middle East. Speaker 3: I mean, I'm a Yemenite Jew. It doesn't get much darker than, you know, than being a Yemenite Jew. Speaker 4: Her priority, she says, human trafficking. In Las Vegas, a well known sex trafficking hub, we haven't seen many federal cases. Speaker 2: Historically, there has not been an incentive to go after human trafficking. Speaker 1: So what are you doing to change that? Speaker 2: We're going to go after human trafficking. Yes. Yes.

@dznutzurface - Richie Franklin

@GenXGirl1994 Damnit, @GenXGirl1994! Follow me already!🤣

@dznutzurface - Richie Franklin

*SIGAL CHATTAH* Oh, no, you fucking don’t. You ain’t gonna sneak in a “Hateful Conduct” on my shit exposing your criminal misdealings, just because you’re SALTY AF that we caught your treasonous fucking Israeli sand terrorist pedophile protection network in Nevada. FUCK. YOU. SIGAL. CHATTAH. I went ahead and posted the link to the 2ND post in that thread just in case you might’ve missed it.

Saved - August 17, 2025 at 7:41 AM
reSee.it AI Summary
DC's crime rate is at a 30-year low, contradicting claims from the Trump administration about rising crime. The DOJ is pressuring the DC Mayor to use taxpayer money for security related to the Israel on Campus Coalition, which has ties to controversial surveillance groups. Despite recent violent incidents, the overall crime statistics show significant declines in homicides, robberies, and assaults. I express frustration over political motivations behind crime narratives and the government's inaction regarding violence against Americans linked to Israel.

@GenXGirl1994 - GenXGirl

DC’s crime rate is at a 30-yr low Why is the Trump Admin targeting DC for antisemitism & crime B/c the Israel On Campus Coalition (ICC) (Israel lobby) that is directed & funded by Israel & Zionists in the US, got mad that DC wouldn’t pay for their $228K conference security bill https://t.co/u5zjHTTwPv

@GenXGirl1994 - GenXGirl

Leo Terrell, DOJ, Civil Rights office is pressuring DC’s Mayor to use $228K of DC taxpayer $ for security of the Israel on Campus Coalition (ICC) @israelcc (Israel Lobby) Watch ICC admit they’re behind the Israeli doxing group, @canarymission that terrorizes Americans. ICC has a large budget that is funded by convicted criminal & Israel agent @AdamMilstein

Video Transcript AI Summary
"The Israel On Campus Coalition is at the center of the lobby's response to BDS." "Stand With Us and the ICC have a particularly close relationship." "Canary Mission is highly, highly effective to the extent that we monitor the students for justice in Palestine and their allies." "90% of the people who pay attention to this space very closely have no idea what we're actually doing, which I like." "Adam Milkin? Milstein has become a central figure in the lobby. His foundation funds numerous pro organizations. He also sits on the boards of APAX National Council, the Israel On Campus Coalition, and Stand With Us." "You said you see the vision, and you tell us go and do it. And we took your orders, and we made it happen. And we took your money."
Full Transcript
Speaker 0: The Speaker 1: Israel On Campus Coalition is a coordinating group at the frontline of the battle against BDS. Speaker 0: We built up this massive national political campaign to crush them and to fight back and to fight fire with fire. Speaker 1: The Israel On Campus Coalition is at the center of the lobby's response to BDS. There are about Speaker 0: a 100, maybe a 120 now professionals that are working for a dozen national ICC partner organizations like APAC and Hazor Fellowships and Stand With Us and Hillel and Chabad and AIPI. Speaker 1: Stand With Us and the ICC have a particularly close relationship. Help in something Speaker 0: official on campus coalition, they really oversee, like, the whole movement. They're sort the ones that, like, have the bird's eye view. Speaker 1: At the Israel on campus coalition in Washington, Tony discovered that the lobby is deliberately adopting a clandestine approach on campuses. Speaker 0: We should stand behind our work, not in front of it. It's not helpful for Stan with us to say to a pro Israel student or the Israel project to say to a pro Israel student, oh, sure. We'll help you. But put our logo you have to put our logo on it. We're working, like, so closely with Stan with us, and we have such a tight partnership with them today that, like, it's totally seamless. Speaker 1: Tony also discovered that anonymity is a key strand of the campaign against BDS. Speaker 0: One of these terrorists on campus wants to disrupt a pros or a lecture or something and, like, unfurl a ban or whatever else, we're gonna investigate them, look into bad stuff they've done. That stuff becomes very useful in the moment, and there are any number of ways to push it out. The only thing is that we do it securely and anonymously, and that's the key. They either shut down or they spend time responding to it and investigating it, which time they can't spend attacking Israel. That's incredibly effective. Could you send me some of these websites? I'd be very curious just to see what they look like. I I couldn't talk about You couldn't. Okay. But, you know, Canary Mission is a good example. Canary Mission is highly, highly effective to the extent that we monitor the students for justice in Palestine and their allies. A few years later, these individuals are applying for jobs within your company. Speaker 1: Canary mission's promotional video threatens to pass these smears onto prospective employers. Speaker 0: Ensure that today's radicals are not tomorrow's employments. They're terrified of the mission, and it's about time. The research operation is very high-tech. When I got here a few years ago, the budget was, like, $3,000. Today, it's, like, a million and a half or more. Probably, it's, 2,000,000 even at this point. I don't even know. It's it's huge. It's a massive budget. We've got major political consulting firms on retainer that are here all the time. We have our own opposition researchers. We have a lot of communications capabilities. And what's most interesting about it, I think, is that 90% of the people who pay attention to this space very closely have no idea what we're actually doing, which I like. Caffeinated. Tried get a view. Speaker 1: As he left his meeting at the ICC, Tony reflected on the way Jacob Baim had reacted to his questions about Canary Mission. Speaker 0: We do it securely and anonymously, and that's the key. It sounds very similar to, like, a Canary Mission and that kind of thing. Is that Yeah. Yeah. Are you guys, like, in touch with them at all, is there any kind of no? No. Canary Mission is totally anonymous. Yeah. Yeah. It's really hard to figure out who's behind it. Paranishment is highly, highly effective to the extent that we monitor the students for justice in Palestine and their allies. Them for doing that. I mean, not we, but there's someone on this group. But he's loaded. I mean, he's close to half a million dollars. Speaker 1: Adam Milstein has become a central figure in the lobby. His foundation funds numerous pro organizations. He also sits on the boards of APAX National Council, the Israel On Campus Coalition, and Stand With Us. Our reporter filmed him alongside Jacob Baim from the Israel On Campus Coalition at the Stand With Us conference in Los Angeles. The two men had lengthy private discussions. Milstein is close to probably the wealthiest donor to the pro Israel lobby, Sheldon Adelson. Adelson's money helped Milstein expand the Israeli American Council into a major new force within the lobby. Adelson arrived at the twenty sixteen IAC conference with Rudy Giuliani, now an adviser to president Trump. An IAC video from the conference shows Milstein and Adelson discussing their partnership. You said you see the vision, and you tell us go and do it. And we took your orders, and we made it happen. And we took your money. Speaker 0: Is there somebody else around that can give you fifty minutes? Speaker 1: No. There's no Sheldon. Eric is wary of Adelson's relationship with a US president. Speaker 0: It's really impulsive if he gets a call from, you know, dollars around the office. They get all

@LeoTerrellDOJ - Leo Terrell

And I will continue fighting! ⁦@JewsFightBack⁩ https://t.co/TBzV3OqUrq

@GenXGirl1994 - GenXGirl

The reality, DC crime is at a 30-year low.

@toddzwillich - Todd Zwillich

Just to repeat, the entire premise of Trump’s “clean up” of DC crime is false. Violent crime is at a *30 year low*; down more than 1/3 from 2023. Homicides, robberies, assaults all way down, along with natl trends. https://t.co/X8inMX95cs

@GenXGirl1994 - GenXGirl

DOJ, US Attorney for DC using the shooting of the Israeli embassy workers as justification for these attacks on the DC Gov. Remember, since Oct 7, eight Americans have been killed by Israel & our government has done NOTHING about it.

@disclosetv - Disclose.tv

NOW - U.S. Attorney for DC Pirro: "We have a problem with antisemitism in this country... FBI, the MPD, we're going to look for these cases, we're going to prosecute these cases... I will go forward with every case with vengeance." https://t.co/DaXpnURMy1

Video Transcript AI Summary
Speaker highlights a problem with antisemitism in this country, noting that statistics bear that they are seeing increased numbers. "We're gonna be very aggressive." "You heard from the FBI, the MPD." "We're gonna look for these cases." "We're gonna prosecute these cases to the full force of the law." "It's a problem when we're not gonna tolerate it." Antisemitism has historically been one of the biggest scabs in the world that keeps getting picked on and picked at. "So from my perspective, you know, I will go forward with every case with vengeance." The speaker emphasizes aggressive enforcement and full accountability.
Full Transcript
Speaker 0: We have a problem with antisemitism in this country, and the statistics bear that out. And I think now more than ever, we are seeing increased numbers. So what does that mean? If, you know, what it means if you can get from, you know, my tone, we're gonna be very aggressive. You heard from the FBI, the MPD. We're gonna look for these cases. We're gonna prosecute these cases to the full force of the law. It's a problem when we're not gonna tolerate it. Antisemitism has historically been one of the biggest scabs in the world that keeps getting picked on and picked at. So from my perspective, you know, I will go forward with every case with vengeance.

@GenXGirl1994 - GenXGirl

Stephen Miller

@StephenM - Stephen Miller

Washington DC is the capital of the United States, the seat of American power, and the one location where our citizens can exercise the sacred constitutional right to access their own federal government. DC must be safe for all Americans. And President Trump will make it so.

@GenXGirl1994 - GenXGirl

The ICC is one of the groups that runs Canary Mission.

@GenXGirl1994 - GenXGirl

The 4th Amendment restricts the US Gov’s ability to spy on Americans Thru the Heritage Foundation, the Israel lobby created a roadmap called Project Esther so our Gov can outsource surveillance to Israeli @canarymission Now, this spying operation is going AI via Palantir🧵 https://t.co/jl1yASDhZO

Video Transcript AI Summary
The Canary Mission is an Israeli funded blacklist, which since July 2025, has been confirmed to be used by the Trump administration to target students, professors, and professionals who oppose Israel and reside in The United States. This idea is part of an initiative created by the Heritage Foundation, the same group responsible for the infamous Project twenty twenty five. In their initiative titled Project Esther, they state that students participating in pro Palestinian protest and activism are supporting Hamas, a group that The United States designates as a foreign terrorist organization. Therefore, pro Palestinian students are considered to be supporting terrorism and are subject to the revocation of visas, frozen bank accounts, asset seizures and the denial of basic constitutional rights. But the canary mission is not alone.
Full Transcript
Speaker 0: The Canary Mission is an Israeli funded blacklist, which since July 2025, has been confirmed to be used by the Trump administration to target students, professors, and professionals who oppose Israel and reside in The United States. This idea is part of an initiative created by the Heritage Foundation, the same group responsible for the infamous Project twenty twenty five. In their initiative titled Project Esther, they state that students participating in pro Palestinian protest and activism are supporting Hamas, a group that The United States designates as a foreign terrorist organization. Therefore, pro Palestinian students are considered to be supporting terrorism and are subject to the revocation of visas, frozen bank accounts, asset seizures and the denial of basic constitutional rights. In effect, the Canary Mission serves as a means to circumvent constitutional protections, allowing the federal government to engage in intelligence gathering, activities that would otherwise be considered unlawful. But the canary mission is not alone. Palantir, another company closely aligned with the state of Israel, uses AI driven analytics to maintain private databases on US citizens, and currently works with four federal agencies. While government contracting with the private sector is long standing, the prominent influence of pro Israel groups within these increasingly powerful organizations warrants careful examination.

@GenXGirl1994 - GenXGirl

https://t.co/ThuhMksvVP https://t.co/BztNetbICB

@grok - Grok

Based on official DC police data, violent crime in 2025 is down 26% YTD from 2024, with homicides, robberies, and assaults decreasing to 30-year lows. White House claims rely on outdated 2024 peaks and seem politically motivated. Diverse sources (CNN, WaPo, Fox) confirm the decline, so no, it's not "out of control."

@GenXGirl1994 - GenXGirl

The moron brigade. https://t.co/XhC0Ue6X6U

@GenXGirl1994 - GenXGirl

@THE_DC_DOG Thanks! I have to be someone at 7pm est so I won’t be able to attend.

@GenXGirl1994 - GenXGirl

@Highroller4273 WTF? Idiot.

Saved - July 24, 2025 at 8:53 PM
reSee.it AI Summary
I explored Builders for Tomorrow (BFT), a group co-produced by the ADL, which claims to combat misinformation and promote pro-Israel narratives. Despite its stated mission, BFT appears virtually nonexistent, with no verifiable information about its funding, leadership, or operations. The ADL is pushing Congress to regulate Wikipedia and AI training data, alleging bias against Israel, possibly as retaliation for being labeled an unreliable source. I found no concrete details about BFT, raising concerns about transparency and accountability in their efforts.

@GenXGirl1994 - GenXGirl

Who is Builders for Tomorrow (BFT) ADL & BFT co-produced reports claiming AI & Wikipedia are biased against Israel-urging Congress to censor The nonexistent BFT is described as: -combats misinformation -ID internet bad actors -amplify news/social media accts they deem important But here's the thing, they are virtually non-existent aside from the references in ADL's reports which states the reports were co-produced with BFT and provides a summary about BFT at the bottom which reads as follows: ------------- “Builders for Tomorrow (BFT) is a venture philanthropy and research organization focused on combating anti-Jewish and anti-West ideologies. It is led by industry leaders from the tech community who have built some of the most consequential technology companies. As a venture philanthropy platform, BFT provides grants and accelerates the most promising teams and ideas. In terms of research, BFT leverages cutting-edge advances in generative AI and large language models (LLMs) to address pressing global challenges. The group conducts research across three core areas: - combating misinformation online, - identifying bad actors engaged in criminal activities - helping to scale the most promising emerging news & social media accounts that shape public discourse” ------------ This is highly alarming given ADL’s push for Congress to use these reports to censor & tailor data regarding Israel for AI training & large language models (LLM) & regulate/censor Wikipedia for anti-Israel bias. They argue that AI is trained in large part using Wikipedia and claim Wikipedia is infiltrated by Pro-Hamas editors that create anti-Israel narratives. ADL's attack on Wikipedia is retaliation for Wikipedia designating ADL as an unreliable source in 2024. ADL is in fact an unreliable source. The Jewish Currents audited ADL's 2023 antisemitism report and determined 44% of the report was not antisemitism and concluded the ADL is an unreliable source because it is beholden to Pro-Israel advocacy. Now it appears that the ADL is attempting to retaliate by censoring its critics through Congressional legislation in order to force Wikipedia back under Pro-Israel control. To create a sense of crisis, as ADL often does, they partnered with tech leaders via BFT to make the argument that Wikipedia is an epidemic problem because it's training AI. So who are the people behind BFT? Who are they affiliated with? What are their foreign ties, given their focus on “anti-Israel bias”? No one knows. After extensive search using various search engines (Safari, Kagi, Yandex) as well as DeepSeek, Instagram’s AI & Grok (see second post for Grok’s analysis), no information exists: - about BFT (no website, address, phone number) - its funding - individuals or entities affiliated with BFT - No state registration information. The closest I found is an entity called "Builders for Tomorrow, Inc." which is a non-profit organization registered in NY in 1962! They are listed as active but the file does not have any names or address for the entity. (see thread for details) It is important that we find out who is behind BFT because we cannot rely on Congress to investigate. They will simply take the legislation handed to them along with the talking-points developed by the ADL and push for censorship.

Saved - July 24, 2025 at 8:06 PM
reSee.it AI Summary
I shared concerns about the ADL's influence over the NEA, where they pressured the board to reject a member vote to ban their educational materials due to bias. The ADL promotes the IHRA definition of antisemitism, equating criticism of Israel with antisemitism, and has faced backlash for unreliable data, even leading to Wikipedia banning their information. They labeled NEA members who supported the ban as part of a "Hamas Support Network," a term stemming from a Heritage Foundation initiative aimed at censoring criticism of Israel, relying on data from various pro-Israel organizations.

@GenXGirl1994 - GenXGirl

ADL & its network of 370+ Israel Lobby Orgs Gang Pressed the Board of the Largest Teacher’s Union, the NEA, to Reject the Majority Vote from its Members to Ban ADL Education Material due to inaccuracy and pro-Israel bias ADL uses & promotes the IHRA definition of antisemitism which makes criticism of Israel, antisemitic. ADL’s “education material” promotes Pro-Israel propaganda. Last year, Wikipedia also voted to ban the use of ADL data since it is unreliable. In response, ADL produced propaganda reports claiming Wikipedia is antisemitic & had 30 of its editors removed under claims of being members of the “Hamas Support Network”. ADL is also calling for government oversight and control of the information that is included in Wikipedia. In other words, government run censorship. ADL used the same tactic here by calling NEA members who voted for the ban as “the Hamas Support Network”. It’s important to note the term “Hamas Support Network” comes from the Heritage Foundation’s Project Esther, a roadmap for attacking, censoring and criminalizing speech critical of Israel. Project Esther’s data comes exclusively from the Israel Lobby and Israeli funded NGOs such as: - ADL - Canary Mission - ISGAP - NCRI

View Full Interactive Feed