TruthArchive.ai - Related Post Feed

Saved - November 21, 2023 at 12:41 AM

@sues86453 - Sue Knows Best

More information on #Jan6th Ex-DOJ officials lays it out. Free the #January6th prisoners now! https://t.co/cSRU1dR3JJ

Video Transcript AI Summary
The speaker makes several points about the treatment of January 6th protester defendants. They criticize the formation of the January 6th committee, claiming it was one-sided and lacked due process. The committee's hearings were described as scripted and cherry-picked. The speaker also accuses the committee of working with media outlets to spread a fake insurrection narrative. They argue that this poisoned the jury pool in Washington, DC. The speaker believes that many defendants were unfairly targeted through geofencing technology and cell phone data warrants. They also mention that some protesters were unaware that certain areas were closed, leading to trespassing charges.
Full Transcript
Speaker 0: Let me make 7 quick points. 1st, one of the original sins of government that has carried, and caused the poor treatment of the January 6th protester defendants is, the, lawless formation of the house select committee, the January 6th committee, leading to it acting in a one-sided and due process free way. That committee was gerrymandered by speaker Pelosi, operated without a ranking member or counsel to the ranking member. Liz Cheney was granted vice chair status to try to cover that up. The committee then had a series of carefully Scripted by Hollywood hearings, where the entire q and a path was prewritten and meshed with cherry picked snippets of highly edited, audio I'm sorry, video and, audio doctored video. The committee interviewed a 1,000 plus witnesses, it says, but only about two 100 transcripts have been released. Second, the January 6th committee worked with regime media. The New York Times, Washington Post, CNN and MSNBC, etcetera. In that way, the fake narrative that an insurrection had January 6th was blasted everywhere. Based on secretly recorded, video, we now have on tape Nancy Pelosi's documentarian daughter, and her friends admitting that no real insurrection ever occurred. The collective effect of the January 6th committee's shameful way of proceeding, plus the reinforcing media blitz, poisoned the jury pool in Washington, DC. Trial venue transfers out of DC should have been permitted. Media narrative mongering, indeed, was also the pre original sin, therefore, of this entire issue because it laid the groundwork work for the January 6th select committee's hatchet jobs. 3rd, many of the defendants were swept up in a vast dragnet that I believe violated the 4th amendment, because it was the equivalent of a general warrant that our framers sought to ban. This was done through the use of geofencing technology and cell phone data warrants sent to telecom providers. Additionally, many protesters arriving after president Trump's speech, in the ellipse it in the ellipse had finished, did not see any signage that areas normally open to the public were closed that day, setting up a trespass trap for the unwary.
Saved - January 8, 2025 at 6:51 PM

@JohnStrandUSA - John Strand

WOW: President Trump debunks the false J6 narrative & makes it implicitly clear he’ll pardon J6 protesters who were entrapped & assaulted by government agents. He also drops a bombshell—he’s suing the FBI for fraudulent SWAT raid abuse 🔥 @WeAreJ6alliance https://t.co/8d71HzZvTb

Video Transcript AI Summary
President Clinton, over 140 police officers were injured on January 6th. Will you pardon anyone who attacks a police officer? The only person killed was Ashley Babbitt, who was shot without cause while allegedly trying to hold back the crowd. There were no charges of insurrection, and it's notable that no guns were found among the rioters. The FBI's reputation has declined, and they seem to know the identity of the pipe bomber but haven't acted. I’m suing the FBI for their actions, which have harmed my reputation. The Department of Justice has become politicized against me. Judges in New York have been unfair, valuing my properties inaccurately. Despite these challenges, we have won most of our cases. Can I ask my question? Back to Greenland, your position is clear.
Full Transcript
Speaker 0: President Clinton, more than a 140 police officers were injured by rioters on January 6th. Will you pardon anyone who attacks a police officer? Speaker 1: Well, you know, the only one that was killed was a beautiful young lady named Ashley Babbitt. She was killed, and there was actually somebody else that was killed also, a, MAGA person, but people, don't give it a 100% credibility. I'm gonna find out about it. I'm we're gonna find out, but Ashley Babbitt was killed. She was shot. She had never been shot. She was shot for no reason whatsoever. In fact, they say that she was trying to hold back the crowd, and the crowd was made up of a lot of different people, so we'll see. But I will tell you this, the person that was was killed was actually bad. But the other thing is when they talk you know, there was never charges of insurrection or anything like that. But if there were, this would be the only insurrection in history where people went in as insurrectionists with not one gun. Okay? And let me tell you, the people that you're talking about have a lot of guns in their home for hunting and for shooting and for entertainment. A lot of lot of good reasons. But there wasn't one gun that they found. And why didn't they find the bomber, the pipe bomber? You know, they know who the pipe bomber is. The FBI knows who it is. The status of the FBI has gone down so far, and the status of the DOJ, or as I call it, the Department of Justice it's the Department of Injustice being laughed at all over the world. And hopefully, with Pam Bondi and with Kash Patel and with other people that we're putting in, that will all come back. If you do a poll in the FBI, I I guarantee I'm at, like, 90% with the agents of the FBI, but they have hurt hurt that incredible place. Law enforcement I mean, you think of the FBI. They raided this house. By the way, they could have told me, could I see this guy? I would have given him my I actually told them, come in anytime you want. You can see anything. They raided the house, and the case was dismissed. And now I'm in litigation. I'm suing them for doing that, and I feel so badly doing it. I'm the president of the United States, and I'm suing the United States, but I'm suing them for other things too. The FBI has gone so, its reputation has been so horribly hurt between Comey, who is the worst, and all of the others. What's happened to the FBI is and we're gonna make it great again. We're gonna make the FBI great again. We're gonna make the Department of Justice fair and strong, but fair again because all they did was attack me because I'm their political opponent, and that includes with local judges like Marchand. You ought to find out. Why do ask them, why do I have a gag order where I'm not allowed to speak? Think of it. I'm the president of the United States, and I'm not allowed to speak. Why? Because if I did speak, people would understand the scam. It's a scam. And we have very dishonest judges and New York judges are very bad. We had one that valued this house at $18,000,000 because it was good for that case. He actually valued that that chandelier is worth more than $18,000,000 He valued this house as $18,000,000, and we have another one who was so nasty, so horrible, such a brute, most vicious, vile person. These are New York judges. But we've won most of the cases, so we're very happy about that. Can I ask my question? Please. Back back on Greenland. Your position's clear.
Saved - January 21, 2025 at 3:06 AM

@Millie__Weaver - Millie Weaver 🇺🇸

Whoa this is a huge deal that he just referred to the J6ers as hostages! Get ready!

@amuse - @amuse

PARDON: 1500 pardons of January 6th defendants (6 commutations awaiting further research). Trump wants them ALL out of jail TONIGHT!

Video Transcript AI Summary
We have a list of pardons and commutations related to the events of January 6, 2021. This order will apply to approximately 1,500 individuals, granting full pardons. Additionally, there are about six commutations under further review. This is a significant development, and we hope to see the individuals released soon.
Full Transcript
Speaker 0: Sir, first, we have a list of, of pardons and commutations relating to events that occurred on January 6, 2021. Okay. Speaker 1: And how many people are this? Speaker 0: I think this order will apply to approximately 1500 people. Speaker 1: So this is January 6th. These are the hostages. Approximately 1500 for a pardon. Yes. Full pardon. Speaker 0: Full pardon or commutation? Speaker 1: Full pardon. We have about 6 commutations in there where we're doing further research. Speaker 0: Okay. Speaker 1: Nice to see you in here. So this is a big one. Anything you want to explain me about this? We we hope they get them we hope they come out tonight, frankly. We're expecting it. Approximately 1500 people. Yes, sir. Six six commutations.
Saved - January 21, 2025 at 2:34 PM

@Tiffany34006057 - Tiffany TruthBeTold

@annvandersteel Free Jeremy Brown! He hasn’t been pardoned. Please help! @POTUS @EricTrump @Kash_Patel @DonaldJTrumpJr Page: https://www.whoisjeremybrown.com/free-jeremy-brown/whoisjeremybrown

Video Transcript AI Summary
We’re here to discuss some comments related to civil war recruitment that raised concerns. I’m not sure where the report originated, but it seems there’s been some misinformation circulating on social media. We monitor both far-right and far-left activities, and we just want to ensure there’s no intent to harm yourself or others. It’s important to clarify that the comments in question were not related to the recent election. If you have any tweets or information, sharing them could help clear things up. We’re not here to overwhelm you; we just want to check in and ensure everything is okay. If you notice anything suspicious in the future, please reach out. We can also meet regularly to discuss any concerns.
Full Transcript
Speaker 0: Okay. I just noticed that. Yes. So it's no big deal. We're just glad to come out. Speaker 1: I've worked with KTTF before, so Oh, that's nice. Speaker 0: Mine appears to take. We'll see how it goes. So like I was saying, it's it's no big deal. We've had to touch base with you. We've just got some recording about, some comments being made about civil war. So, like like, what kind of comments? Like, in Speaker 1: like, what kind of comment would make like, in like, what kind of comment would make Yeah. The DHS show up at my door on 7 o'clock or it was almost 8 o'clock. 7:40, I think it was. Speaker 0: Fairly? Yeah. This is for comments about time to recruit people for civil war. Speaker 1: Do you have those comments with you? Speaker 0: I'm not. Speaker 1: Okay. So then where did you get that report? Speaker 0: I'm I'm asking questions. Okay. Speaker 1: Should I have the actual week, if you wanna look at it. Text files. Speaker 0: And the way it works, I don't know if you have this, Facebook and Twitter, both putting stuff down. No. No. No. Yeah. Someone got it. Speaker 1: And we do this all day long. Okay. You're doing you're like Speaker 0: 1 in the queue. Speaker 1: So Facebook and Twitter directly push information to you. Speaker 0: Both sides. I mean, we have the far right. We have the far left. You know, just just just your first name, second name here. Yeah. Right. Right. Right. Ideology, you're right to do it. Right. We do both sides each. Just so you know, my Speaker 1: I just find it interesting that with everything going on right now, you guys are 2 agents, which are probably making way more than I am, are sitting here. Speaker 0: Oh, yeah. Well, there's a job. Definitely, we we've had it going a couple weeks. And and just I think we're still at the plumbing right now. It's fine. It's pretty it's pretty. I think something's up in the air. You know, obviously, we are politically is. Well, I think we're happy to do those. Speaker 1: I don't. Well, if you would have pulled up the actual tweet, you would have found that there's no mention of that. So Yeah. I apologize, but Twitter and Facebook have wasted government time. Speaker 0: Are they we just trust us. This is our first time we've gone out with that. We don't know that spring y'all the same thing. People put stuff on their cars here and stuff. We get that warm fuzzy that Speaker 1: you're good, like, you're upset. Either way it happens, and we Speaker 0: got here with Wayne Lean. Right? We just wanna make sure that you're not targeting anybody. I know we're gonna get hurt over the outcome in January. Again, you'll never be up again, and this is supposed on Speaker 1: our side. Just making sure that you're okay. Everybody's upset in different ways, and that's not why Speaker 0: we're just making sure that you Speaker 1: don't wanna hurt yourself or anybody else. Speaker 0: So I I read it. I wouldn't I wouldn't start by it, but we're just required to sit on the phone right now. Come on. Talk to you. Right. We're good. Right. We Speaker 1: check we check the box. Really? Jim's good. We'll move to the next step. Okay. Speaker 0: So, honestly, this this is probably what the comparison wasn't around the election. That was So we I I know what she was looking for. Speaker 1: Those comments weren't around the election, were they? Eric, Speaker 0: no. Not that I thought. Speaker 1: Because I got rid of Twitter. Speaker 0: Yeah. So I Speaker 1: thought it was kinda common. But now that I can no longer have it. Speaker 0: Yep. I would worry about it. Just wanna sit down. Speaker 1: Do you mind if I see which tweets you're referencing? Speaker 0: I would at least printed Speaker 1: a couple out. Out. I mean, I am a relatively vocal guy with Hey. You got personal rights Speaker 0: here every month. Well, this doesn't even mention it. This doesn't even mention this. This is poker. This is poker right now. This is even more so. And this is what I'm doing. You, being a former guy, whatever. You're hearing stuff Speaker 1: and you're hearing around your group, and someone's like, hey. Speaker 0: We're training tonight and tomorrow. It's just gonna get out. You calling us to let us know that you can prevent the next big thing. Oh, yeah. Great. Clear clear your name. They're also here if someone works in the future and hears it out to your circle that's popping up. That's why I hear stuff like just take it involved in civil matters. This is here of a pending imminent situation. That's what I We'd love to Speaker 1: hear from you. And if we can Speaker 0: and again, I'm not I can't make any promises, but, like, you provide information that's been something big. The government pays for that. The government, we we we would love this. Speaker 1: I know how the guys work. Speaker 0: That's right. That's right. And I don't wanna overwhelm it. I don't wanna say we get your fingerprints fixed at the time of today, but we think that You know, like, if it was going down, we would we would not left that day. Like, if if there's a level and I don't wanna make like this, but if there's a level of 1¢, you're we're like at a 0. Right. That means, again, you're you're not that guy. We say we we we're pretty far only half the minutes that. Memorialize it in the report. You go on about your life. Deal with your stuff. If there's anything, and you can tell me to f off. Like, on social media, Big Brother, conspiracy theories, whatever, they do monitor that. I don't I'm not that smart. Speaker 1: You're not that smart. People smarter than us. That's how it Speaker 0: gets built filtered in Tampa. No. Go go knock on the kids. No. Speaker 1: Hey, definitely. Like Paul said, if Speaker 0: you see anything, call me. Alright. I'll respond by the way, son. We can meet on a monthly basis. I'll just chat when things are open, get a coffee. But again, we we are we just we're we don't have crystal ball. And so the news or whatever No. No. No. No. We can't. Speaker 1: Like I said, I know you're just doing your job.
Who Is Jeremy Brown? For his "crime" of trying to warn Americans that the FBI was spying on law abiding citizens, he now approaches 1000 days behind bars at the hands of our weaponized government. Share his story. #FreeJeremyBrown whoisjeremybrown.com
Saved - January 21, 2025 at 7:42 PM

@ItWillBeOk24 - LizG

Mayor of D.C., Muriel Bowser She is keeping the J6 hostages in jail, defying the pardon President Trump signed yesterday. https://t.co/mrq4wItjpa

@ItWillBeOk24 - LizG

Report of J6 Hostage Jeremy Brown being released from DC jail. Not sure if any others.

Saved - January 21, 2025 at 5:49 PM
reSee.it AI Summary
I couldn't sleep, worrying about Jeremy Brown, a Jan 6 prisoner facing two non-violent misdemeanors. He’s a Green Beret who never entered the Capitol and exposed two federal agents trying to recruit him. In retaliation, they raided his home, finding grenades that DNA tests proved weren’t his. He has been incarcerated for years now. We need to say his name and advocate for his release. You can listen to the recording of the agents involved at JeremyBrownDefense.com. Please share this widely.

@laralogan - Lara Logan

Could not sleep worrying about Jan 6 prisoner Jeremy Brown. Say his name until he’s out of the DC Gulag where he was facing two non-violent misdemeanors for J6. A Green Beret who spent many years serving his country with distinction. Never went inside the Capitol, never did anything to anyone that day. But he exposed two feds who tried to recruit him & they came for him to punish him, raiding his home & finding grenades etc that DNA tests showed did not belong to him. He’s been incarcerated for years now. Set him free. You can hear the recording of the two JTTF agents here: http://JeremyBrownDefense.com Please share far & wide.

Jeremy Brown Defense | #FREEJEREMYBROWN jeremybrowndefense.com
Saved - January 21, 2025 at 11:30 PM
reSee.it AI Summary
I’m raising awareness about Benjamin Martin, a pardoned J6er, who is being rejailed in Fresno, CA by Judge Jennifer Thurston, who won’t honor the Trump pardon. He must report to prison tomorrow. Please share this widely and help get the word out.

@yesnicksearcy - Nick Searcy, INSURRECTIONAL FILM & TELEVISION STAR

Attention, @Trumpertarian and other concerned citizens: Benjamin Martin @OneRealPOV, a pardoned J6er, is being rejailed in Fresno, CA by a rogue judge who refuses to honor the Trump pardon. He has to report to prison tomorrow. so please get this in front of as many people as possible. @eagleEdMartin, can you help?

@yesnicksearcy - Nick Searcy, INSURRECTIONAL FILM & TELEVISION STAR

The judges name is Jennifer Thurston

Saved - January 22, 2025 at 12:39 AM
reSee.it AI Summary
There are approximately 21 January 6 prisoners still held in the DC Gulag despite the presidential pardon. This situation appears to challenge the new President's authority, as supporters wait in the cold for action. Other J6 prisoners are being released nationwide and are gathering in DC to show solidarity. While 7 of the 21 face additional legal issues, all have had their constitutional rights violated and deserve immediate release. The potential consequences of betraying these individuals could be severe.

@laralogan - Lara Logan

URGENT: There are apx 21 Jan 6 prisoners still being held in the DC Gulag, in spite of the presidential pardon/commutation. It is looking more & more like a blatant challenge to the new President’s authority as his supporters stand in the freezing cold for hours & hours waiting for his orders to be carried out. Other J6 Prisoners are being released from facilities around the country & coming to DC to stand outside the jail in solidarity with those still inside. 7 of the 21 are not being released at all because of other legal issues, but all of them had their constitutional rights violated & should be freed immediately. This will not end well if these people are betrayed. @JDVance @realDonaldTrump @elonmusk

Saved - January 25, 2025 at 1:00 AM
reSee.it AI Summary
I am advocating for Jeremy Brown's release, emphasizing that his Florida conviction is entirely related to January 6 allegations. His case is currently under appeal due to an illegal search warrant issued out of jurisdiction. I believe the evidence against him was planted, as forensics show no connection to him. The prosecution appears malicious, treating minor possession as a felony based on fabricated testimony. I urge the US Marshals to release him and hope the 11th Circuit will vacate his conviction. As of now, he is being transferred to Kentucky, and I am praying for his release.

@end_lawfare - Stewart Country Law PA

FREE JEREMY BROWN - SOS to the WH and POTUS' fabulous legal team 🧵 1/ Why The Pardon Applies: Jeremy Brown’s FL conviction is 100% "J6 related.” Jeremy was arrested and imprisoned based on J6 allegations. Bottom Line: After his D.C. case was dismissed, the US Marshals decided yesterday at the DC Jail (where Jeremy was moved for trial) when the J6ers were moved for US Marshall transport, that Jeremy does not qualify for pardon and release because of the FL case conviction. The case is on appeal in the 11th Circuit. His appeal derives from the FL Middle District conviction in Tampa that arose from an illegal, out of jurisdiction search warrant for J6 charges.

@end_lawfare - Stewart Country Law PA

2/ The Search Warrant was Part of a Targeted Setup: Prior to arrest and search, Jeremy exposed the Tampa DHS/JTTF attempt to recruit him as an informant against the Oath Keepers. The search warrant was signed in DC (out of jurisdiction to search in FL) under the false pretense of “terrorism.” Gov. DeSantis ought to be enraged. The warrant was illegal because it had no "items to be searched for" on its face or incorporated. The warrant said "see Exh B." That exhibit was a picture of a place to search. By the Grohe case from the U.S. Supreme Court, still valid, the warrant was illegal and cannot be saved. Additionally, the warrant was not on-site when the search began, and searchers said they didn't know what they were looking for. There was no good faith search. Magically, after ATF, FBI and DHS searched, items appeared in his girlfriend's RV parked publicly in the cul de sac. He said the items in the RV (grenades and a CD allegedly with classified) were not his AND forensics showed he never touched the items. Forensics showed the prints, DNA, hairs and fibers were not Jeremy’s, not from the residence or RV, or his dogs.

@end_lawfare - Stewart Country Law PA

3/ I am 99.99% certain the items were planted because of the timing, targeting, and because Jeremy knows a lot of things nobody ever wants made public. Based on my experience with all the evidence against detainees during my ~ one year at the Detention Center in Parwan, AFG, I know the FBI's "The Explosive Device Analytic Center" - TEDAC capabilities. When they get hairs, fibers, DNA, and fingerprints off tape (as were on the 2 hand grenades) they know this IDs who had them and where. It wasn't Jeremy. Mysteriously, the logistical accounting for these grenades showed up to 1989 in Germany (coinciding with base realignments and shipments thereafter to Desert Storm). Jeremy was not in Germany, and it would be logical that a 3-letter agency acquired them and was able to get them stateside.

@end_lawfare - Stewart Country Law PA

4/ The Tampa Prosecution Was Malicious for all the Counts. Mere possession and home storage with no illegal use of a family heirloom, short-barreled gun is normally treated as a misdemeanor with maybe a fine – and not over 6 years as a felony for prison. It’s in the statute that was ignored. The search and planted evidence were a set-up. All stemming from J6 and the accusations by a “cooperating government witness” who conveyed fabricated 8-month old stale fabricated hearsay. The “terrorism” predicate was illegitimate for this reason and no magistrate in D.C. should ever have signed that warrant. But they rubber stamp everything for J6. The search warrant was illegal. There was no "good faith" exception. And worse, the court should have excluded the fruits (govt. planted) of the poisonous tree that would have forced case dismissal. Now some form of pardon must ensure release and vindication.

@end_lawfare - Stewart Country Law PA

5/ What Should Justly Happen: Direct the US Marshals to release Jeremy Brown. Can we get the 11th Circuit to mirror the motion to vacate the conviction based on Rule 48(a) and the pardon as has started in the DC Circuit? The U.S. Marshals are likely to drag Jeremy out of the D.C. gulag in 36 hrs. and move him to Philly FDC. That hellhole can be described as inmate gang and tribe run. I think there is a hope that he will be killed in detention. C. Stewart J6 Defense Attorney

@end_lawfare - Stewart Country Law PA

As of last night Jan 23 Jeremy is in KY - in transfer by the US Marshals. Waiting on and praying for an order to tell the Marshals to release him. 🇺🇸🙏

Saved - January 23, 2025 at 1:16 PM

@RogerJStoneJr - Roger Stone

January 6 victims Jeremy Brown, Jonathan Mellis, and Ben Martin are still in custody because of legal dirty tricks by the corrupt Biden DOJ. I will not rest until these victims are free. In fact, I’m working on it right now. https://t.co/ckr4qnVpe4

Saved - January 24, 2025 at 5:18 PM
reSee.it AI Summary
This morning, Master Sergeant Jeremy Brown was moved at 5:15 AM, likely to the Philadelphia FDC, according to his attorney, C. Stewart. There are serious concerns for his safety, with Stewart suggesting that Jeremy could be in danger in what he describes as a "gang and tribe run" environment. I will discuss these alarming issues on @SeanParnellUSA's podcast today at 5:15 PM, using insights from my previous interview with Jeremy. I urge @POTUS and others to intervene, as the situation has escalated beyond just a January 6 conviction.

@CannConActual - CannCon

All Eyes: This thread is from Master Sergeant Jeremy Brown's current attorney for his DC case, C. Stewart. Jeremy was moved at 5:15am this morning under the cover of darkness. Stewart believes he is being moved to the Philadelphia FDC. He believes that they may try to have Jeremy killed in the "gang and tribe run" "hellhole" Today at 5:15pm on @SeanParnellUSA podcast, I'll show you why I too believe this, using Jeremy's own words in an interview I conducted with him last year. @POTUS @realDonaldTrump needs to intervene immediately. It's well-beyond just "a J6 conviction" at this point. @elonmusk @laralogan @RogerJStoneJr @hodgetwins

@end_lawfare - Stewart Country Law PA

FREE JEREMY BROWN - SOS to the WH and POTUS' fabulous legal team 🧵 1/ Why The Pardon Applies: Jeremy Brown’s FL conviction is 100% "J6 related.” Jeremy was arrested and imprisoned based on J6 allegations. Bottom Line: After his D.C. case was dismissed, the US Marshals decided yesterday at the DC Jail (where Jeremy was moved for trial) when the J6ers were moved for US Marshall transport, that Jeremy does not qualify for pardon and release because of the FL case conviction. The case is on appeal in the 11th Circuit. His appeal derives from the FL Middle District conviction in Tampa that arose from an illegal, out of jurisdiction search warrant for J6 charges.

Saved - January 23, 2025 at 9:03 PM
reSee.it AI Summary
I called my girlfriend at 4:16 AM to let her know I was being moved, but since then, no one has heard from me. My attorney and family are in the dark about my whereabouts. My cellmate, another January 6 defendant, was also informed of his transfer. My mom, Lisa, is desperate to have me back. I served my country honorably and refused to betray the Oathkeepers. I believe I was targeted, subjected to illegal search and seizure, and punished for exposing federal agents who attempted to recruit me.

@laralogan - Lara Logan

Jan 6 defendant Jeremy Brown called his girlfriend at 4:16am to tell her he was being moved. No one has heard from him since - so as of now, his attorney and his family has no idea where he is. His cell mate, another J6 defendant, was also told he was being moved. The White House needs to order the Marshalls to release these people now. Jeremy’s mom, Lisa, (in the blue sweater) wants her son back. He served his country with distinction & refused to snitch on the Oathkeepers. This man was targeted, subject to illlegal search & seizure & punished for exposing the two federal agents who tried to recruit him.

Saved - January 24, 2025 at 2:12 AM
reSee.it AI Summary
I believe Jeremy Brown might be transported to Florida through Oklahoma, but there's no confirmation. His girlfriend and mother are returning home disappointed. It's disheartening, especially since Pres Trump pardoned him and other J6 defendants still in custody. Those blocking their release reveal their true intentions.

@laralogan - Lara Logan

It is poss that Jeremy Brown is being transported to Florida via Oklahoma - but they’re not saying & his girlfriend & mother are heading home empty handed - another crushing blow for now. Pres Trump pardoned this man & other J6 defendants still being help. Those standing in the way of their release are showing their true colors.

@IvanRaiklin - Ivan Raiklin

Elements of the DOJ and @MayorBowser 's DC Gulag for the third straight day are continuing to defecate all over @realDonaldTrump 's pardons/acts of clemency. The only way these people will understand @POTUS is serious is if he goes to the DC Gulag with all federal assets needed to extract/rescue the remaining J6 political hostages. CC: @PamBondi @EagleEdMartin Time is of the essence as I am hearing they are transporting Master Sergeant Green Beret (Retired) Jeremy Brown to Philadelphia so that @DA_LarryKrasner can continue to leverage his relationships there to torture Master Sergeant (Retired) Jeremy Brown (Green Beret). The same Soros DA that has gone after @elonmusk for helping with the 2024 election in PA and the same DA that provided cover for the 2020 electoral heist in Philly to steal the PA electors in 2020 from Trump. CC: @DaveMcCormickPA @SenMcCormickPA @AshleyMoodyFL @SenRickScott @RepGusBilirakis @RepKeithSelf @RepAndyHarrisMD @michaelgwaltz @RepLoudermilk @RepGrothman @RepEliCrane @RepBoebert @laralogan

Saved - January 24, 2025 at 6:10 PM
reSee.it AI Summary
I just learned that J6 whistleblower Jeremy Brown was moved from the D.C. Gulag today, and his current location is unknown. There are concerns he might be sent to Pennsylvania, which could put his life at risk. We need to keep him in our prayers and raise awareness about his situation. He deserves to be free due to Trump's pardon. We must take action!

@J6patriotnews - J6PatriotNews

URGENT: J6 whistleblower Jeremy Brown was moved out of the D.C Gulag today 1-23-25. We currently do not know his whereabouts. There is a rumor he could be moved to Pennsylvania where his life could be endangered. Please keep him in your prayers and alert others to Jeremy Brown’s situation. He should be free as a result of President Donald J Trump’s pardon; this is absurd! De Oppresso Liber! Don’t do nothing. Fight! Fight!! Fight!!!

Saved - January 24, 2025 at 3:33 PM
reSee.it AI Summary
The bureau of prisons is not honoring the pardon for Green Beret Master Sergeant Jeremy Brown. He’s currently in Clark County, KY, and tomorrow the US Marshals will move him to Grayson, KY. I’m hoping the President intervenes and that the Acting AG aligns with the DC Circuit process.

@RogerJStoneJr - Roger Stone

The bureau of prisons is refusing to honor the pardon of Green Beret Master Sergeant Jeremy Brown https://www.thegatewaypundit.com/2025/01/forgotten-green-beret-master-sergeant-jeremy-brown-among/

The Forgotten: Green Beret Master Sergeant Jeremy Brown Among J6ers Not Eligible Under President Trump's Pardons | The Gateway Pundit | by Brian Lupo Retired Green Beret Master Sergeant Jeremy Brown remains incarcerated after being excluded from President Trump's recent pardons for January 6 participants. His story raises critical questions about justice and accountability. Read more. thegatewaypundit.com

@RogerJStoneJr - Roger Stone

Jeremy Brown is on an overnight stop in Clark County, KY. Tomorrow the US Marshals are moving the group to Grayson, KY. Praying the President orders the US Marshals to release Jeremy and that the Acting AG tells the 11th Circuit US Attorney to mirror the DC Circuit process.

Saved - January 25, 2025 at 6:06 PM
reSee.it AI Summary
I’m incredibly frustrated. I became friends with Dominic in D.C. jail, and he’s been locked up for a year since my release. I filed his statements about his treatment in court, but it hasn’t been published yet. I’m infuriated with the U.S. Marshals, who seem to protect corrupt judges instead of upholding justice. Dominic’s mother shared a heartbreaking update about his conditions in a federal facility post-pardon, and it’s unacceptable. I’m left wondering where our leaders are in all of this.

@FrankRoccoG - Frank Rocco Giustino

I am fucking pissed. Dom and I became friends in the D.C. jail, playing cards and helping him out with his case, and he's already been incarcerated for an entire year since I was released from there. On the 21st, the past Tuesday, I filed Dominic's texted statements to me from the D.C. jail's app regarding his current situation with his "judge", holding him hostage, into the United States District Court onto my own docket. I was already putting in a filing of mine as a case review to the TRUMP administration from the record itself - specifically focusing on the collusion of the so-called "judges" - which turned out to be perfect timing for the subject matter of Dominic's texts. It's now Friday, and my filing still hasn't been published onto record. What I have to vent about, is this. I can't even tell you how much I HATE @USMarshalsHQ. Their job is to uphold the federal judiciary. Instead, they work as kidnappers for the criminal impersonators in our federal courts. They arrested me after submitting to them more than enough information from my case to prove that there were fatal flaws going unanswered by James Emanuel BOASBERG. Instead of arresting him, if anyone, they would come to arrest me on a sealed bench warrant that they didn't even SIGN or DATE, alongside an affidavit in the wrong name. These men in uniform with badges and guns are NOT working in our best interests - and what's happening to Dom and the other J6'ers post-pardon proves what I've been trying to say about just how far these fake judges with counterfeit oaths of office are willing to go to defy you. This is ALL about the oaths. Their LACK of contractual duty and decorum. The true fraud perpetuated on the American people. Fuck that.

@Trumpertarian - Suzzanne Monk 🇺🇲

@realDonaldTrump #FreeDominicBox 💔HEARTBREAKING💔 message from the mother of J6 HOSTAGE Dominic Box: "I was able to receive a call from my son Dominic Box this afternoon from a number I did not recognize and had to struggle to navigate another avenue of being able to deposit money to someplace in Kentucky in hopes that he would call back ... thankfully I was able to talk with him briefly upon the 4th try ... I felt both happy to hear his voice and nauseous to know he was yet somewhere in the Midwest being held in a federal holding facility... I cannot digest why this is happening to any person that was pardoned by President Trump 4 days ago.. Dominic's voice sounded calm however exhausted.. He asked me if I knew " what was going on?" And I had to say ""No" He stated that currently he came to this facility with only 4 other J6 men ..and they immediately separated them. Dominic stated " this is the most horrible place I've ever been in my life" He stated that the BOP has guidelines that are not being followed under any sense of truth or justice..There are" 15 individuals all together and only 10 beds" and assumed he will be forced to sleep on the floor since he is new there . There is only "1 shower and 1 toilet inside the shower " : " We are given nothing .. not even a pair of socks" we "must pay for everything " and I have nothing not even a toothbrush... ; they have only 1 telephone for all of " us " and there is a huge line .. " I don't know when I can call you back mom .. I love you " My eyes filled with tears .. and I began to pray again ."

@FrankRoccoG - Frank Rocco Giustino

https://t.co/HUnTccMFwE

@FrankRoccoG - Frank Rocco Giustino

Fuck @USMarshalsHQ. https://t.co/PQNcaQ3gng

@FrankRoccoG - Frank Rocco Giustino

But seriously, where the fuck is @POTUS, @VP, @elonmusk, @PamBondi and @EagleEdMartin on this. I'm so tired of these optics.

Saved - January 27, 2025 at 5:55 PM

@laralogan - Lara Logan

Please do not forget Jeremy Brown. Do not leave him to rot. No man left behind.

@FreeJeremyBrown - Who Is Jeremy Brown?

J6 political hostage and FBI whistleblower Jeremy Brown: "I will be here as long as the American people leave me here. " PLEASE--Don't do nothing!! Do not allow this American hero to be LEFT BEHIND. 🙏🙏🙏#FreeJeremyBrown https://www.whoisjeremybrown.com/free-jeremy-brown @realDonaldTrump @JDVance @SenRandPaul @RepThomasMassie @brettguthrie @laralogan @julie_kelly2 @DarrenJBeattie @MikeBenzCyber @TCNetwork @MegynKellyShow @gatewaypundit @JesseKellyDC

Video Transcript AI Summary
Jeremy, a special forces member, was providing security at the Capitol. When he was arrested, the same officers who had recruited him were involved. They never asked if the items in question were his. There’s a pattern of hiding information, and judges have allowed this to continue. The situation could lead to indefinite detention. Jeremy expresses his commitment to remain as long as the American people support him. I'm Laura Logan, and this is the rest of the story. Join us.
Full Transcript
Speaker 0: Jeremy was at the capital providing security. I mean, he's quite literally the poster boy for the special forces. When you were arrested, they never sat you down and said, is this yours? No. Because they're the same officers that recruited me on December 9, 2020. From Department of Homeland Security. The same two guys. These people were hiding all of this information, and judges have let them get away with that. You could be here forever. I will be here as long as the American people leave me here. I'm Laura Logan with the rest of the story. Join us.
Free Jeremy Brown After trying to warn Americans that the FBI was spying on law abiding citizens, Jeremy Brown was targeted and has now spent THREE full years (and counting) behind bars at the hands of our weaponized government. Share his story. #FreeJeremyBrown whoisjeremybrown.com
Saved - January 28, 2025 at 12:15 PM

@RogerJStoneJr - Roger Stone

The continued incarceration of Green Beret Master Sergeant Jeremy Brown, because he refused to be an informant for the FBI on January 6 is a travesty of justice https://stonezone.com/prosecutors-use-unconstitutional-double-jeopardy-tactics-to-keep-jan-6er-jeremy-brown-behind-bars/

THE INCARCERATION OF PARDONED J6R JEREMY BROWN IS A TRAVESTY - StoneZone Jeremy Brown, a retired US Army Special Forces Master Sergeant, is being denied his freedom due to the decision by rogue federal agents to keep him in prison in direct opposition to President Donald Trump’s blanket pardon of Jan. 6 patriots. The feds are hoping to exploit a technicality, as their unlawful raids eventually resulted […] stonezone.com
Saved - January 28, 2025 at 4:22 PM

@JohnStrandUSA - John Strand

OMG: Jeremy Brown is an Army Special Forces veteran—he did nothing wrong on J6 and never entered the Capitol. But Biden’s DOJ lied, assaulted him with an unlawful FBI raid, and he is STILL a hostage—the DOJ is refusing to obey President Trump’s pardon. ENOUGH! FREE HIM NOW!

@RogerJStoneJr - Roger Stone

The continued incarceration of Green Beret Master Sergeant Jeremy Brown, because he refused to be an informant for the FBI on January 6 is a travesty of justice https://stonezone.com/prosecutors-use-unconstitutional-double-jeopardy-tactics-to-keep-jan-6er-jeremy-brown-behind-bars/

THE INCARCERATION OF PARDONED J6R JEREMY BROWN IS A TRAVESTY - StoneZone Jeremy Brown, a retired US Army Special Forces Master Sergeant, is being denied his freedom due to the decision by rogue federal agents to keep him in prison in direct opposition to President Donald Trump’s blanket pardon of Jan. 6 patriots. The feds are hoping to exploit a technicality, as their unlawful raids eventually resulted […] stonezone.com
Saved - January 29, 2025 at 1:24 PM
reSee.it AI Summary
I received an urgent update about Jeremy Brown, the pardoned Green Beret Master Sergeant. He was moved from a Kentucky jail this morning, possibly to Atlanta FCI, but there's no confirmation as he isn't listed in BOP custody. Communication has been limited, with only a message from a cellmate to his lawyer. The situation reflects ongoing issues with the treatment of January 6th defendants. I urge everyone to contact their Congressman to demand justice for Jeremy Brown.

@RogerJStoneJr - Roger Stone

URGENT - Jeremy Brown - Pardoned Green Beret Master Sergeant UPDATE Jeremy was moved out of the KY jail this am - allegedly headed to Atlanta FCI. Only comm was from a cell mate who texted Brown's lawyer. A fed prisoner search just now shows he is not listed in BOP custody. Typical Marshals keeping J6ers incommunicado. No idea if they are parking Jeremy in Atlanta or continuing to FL anytime soon. Contact your Congressman and demand Justice for Jeremy Brown !

@RogerJStoneJr - Roger Stone

THE INCARCERATION OF PARDONED J6R JEREMY BROWN IS A TRAVESTY https://stonezone.com/prosecutors-use-unconstitutional-double-jeopardy-tactics-to-keep-jan-6er-jeremy-brown-behind-bars/

THE INCARCERATION OF PARDONED J6R JEREMY BROWN IS A TRAVESTY - StoneZone Jeremy Brown, a retired US Army Special Forces Master Sergeant, is being denied his freedom due to the decision by rogue federal agents to keep him in prison in direct opposition to President Donald Trump’s blanket pardon of Jan. 6 patriots. The feds are hoping to exploit a technicality, as their unlawful raids eventually resulted […] stonezone.com
Saved - January 30, 2025 at 1:45 PM

@laralogan - Lara Logan

Jeremy Brown needs the American people to stand up for him and speak up. Still imprisoned despite his pardon. What happened to “no man left behind”? https://t.co/nXJt27cxvo

Saved - February 6, 2025 at 12:26 PM

@RogerJStoneJr - Roger Stone

We can't forget Green Beret Master Sergeant Jeremy Brown- fully pardoned by President Trump, but still being tortured in the federal prison system by rogue bureau of prison officials thumbing their nose at the president https://rumble.com/v6ha2ds-the-jeremy-brown-story-set-this-patriot-free.html

Saved - February 7, 2025 at 12:23 PM

@laralogan - Lara Logan

Jeremy Brown has been pardoned by the President - why is he still in jail? Rotting in a transition pod in a prison in Atlanta… https://t.co/F4h6y0BM3e

Saved - February 24, 2025 at 3:03 PM
reSee.it AI Summary
I’m baffled that Jeremy Brown is still a political hostage. He deserves to be set free immediately. Justice for him is long overdue, especially since he was targeted after refusing to inform on others. As a J6er, I believe in upholding the rule of law, which is essential to our constitutional republic. While rebellion against tyranny is a moral duty, it’s crucial to distinguish it from aggression. True patriots know that liberty comes with responsibility and respect for others.

@JohnStrandUSA - John Strand

Honestly, how in the hell is Jeremy Brown STILL a political hostage? Set him free NOW! @PamBondi https://t.co/HWRVRvZAZZ

@RogerJStoneJr - Roger Stone

How much longer must we wait for justice in the case of Jeremy Brown? His full and unconditional presidential pardon most certainly addresses any charge that arose from the illegal search of his home after he refused to become an informant for the FBI on January 6th

@HanneBlaze64 - Joe Hanneman 🇺🇸

🚨BREAKING🚨 An attorney for pardoned #Jan6 defendant and #OathKeeper Jeremy Brown files a petition for writ of habeas corpus in Atlanta federal court, demanding his release under presidential pardon.

@JohnStrandUSA - John Strand

Unite and hold the line, J6 🇺🇸

@JohnStrandUSA - John Strand

I just want to say, as a J6er, that legitimate rule of law is the bedrock of our constitutional republic. Rebellion against tyranny is obedience to God—but this should not be confused with belligerence. True patriots understand that liberty requires responsibility & respect 🇺🇸

Saved - February 24, 2025 at 9:08 PM
reSee.it AI Summary
I'm excited to share that Jeremy Brown is being released today from Atlanta FCI, thanks to a Habeus Corpus petition challenging the search warrant. This marks another victory for those advocating for January 6th hostages. While I'm thrilled for Jeremy, I remain concerned about the others still imprisoned despite President Trump's pardons. We need to keep the pressure on to bring our heroes home.

@JohnStrandUSA - John Strand

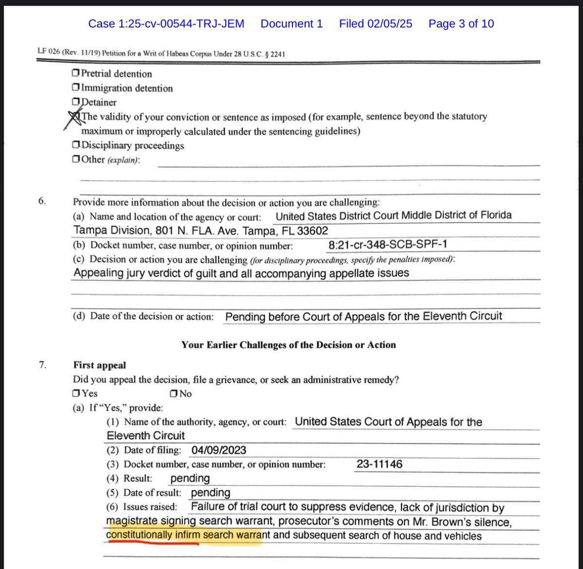
BREAKING: Jeremy Brown is being released today from Atlanta FCI, his attorney is on site H/T @ProudArmymom66 Habeus Corpus was filed, challenging “constitutionally infirm search warrant” - @dbongino can’t reign in the FBI fast enough Another J6 hostage victory! 🇺🇸 https://t.co/UJA6P7vLhh

@JohnStrandUSA - John Strand

Honestly, how in the hell is Jeremy Brown STILL a political hostage? Set him free NOW! @PamBondi https://t.co/HWRVRvZAZZ

@RogerJStoneJr - Roger Stone

How much longer must we wait for justice in the case of Jeremy Brown? His full and unconditional presidential pardon most certainly addresses any charge that arose from the illegal search of his home after he refused to become an informant for the FBI on January 6th https://t.co/296uY0TuwF

@JohnStrandUSA - John Strand

BREAKING: Jeremy Brown is being released from prison today, with outstanding Habeus Corpus petition filed — seems like @PamBondi is aware of these lingering issues But several other hostages are still held in defiance of President Trump’s full and unconditional pardons—keep the pressure on! BRING OUR HEROES HOME 🇺🇸

View Full Interactive Feed