reSee.it - Related Post Feed

Saved - September 17, 2023 at 12:59 AM
reSee.it AI Summary
The Twitter Files reveal how Twitter manipulated the COVID debate. They censored inconvenient truths, discredited dissenting experts, and suppressed users sharing CDC data. Both Trump and Biden administrations pressured Twitter to moderate pandemic content. Twitter's biased moderation led to the suppression of legitimate views and questions. Bots and non-expert contractors made errors, while higher-level employees showed individual and collective bias. Dissenting content was labeled as misinformation, and doctors' accounts were suspended. Twitter prioritized public health authorities' narrative, suppressing alternative perspectives. A more open debate on social media could have shaped the pandemic differently.

@davidzweig - David Zweig

1. THREAD: THE TWITTER FILES: HOW TWITTER RIGGED THE COVID DEBATE – By censoring info that was true but inconvenient to U.S. govt. policy – By discrediting doctors and other experts who disagreed – By suppressing ordinary users, including some sharing the CDC’s *own data*

@davidzweig - David Zweig

2. So far the Twitter Files have focused on evidence of Twitter’s secret blacklists; how the company functioned as a kind of subsidiary of the FBI; and how execs rewrote the platform’s rules to accommodate their own political desires.

@davidzweig - David Zweig

3. What we have yet to cover is Covid. This reporting, for The Free Press, @thefp, is one piece of that important story.

@davidzweig - David Zweig

4. The United States government pressured Twitter and other social media platforms to elevate certain content and suppress other content about Covid-19.

@davidzweig - David Zweig

5. Internal files at Twitter that I viewed while on assignment for @thefp showed that both the Trump and Biden administrations directly pressed Twitter executives to moderate the platform’s pandemic content according to their wishes.

@davidzweig - David Zweig

6. At the onset of the pandemic, according to meeting notes, the Trump admin was especially concerned about panic buying. They came looking for “help from the tech companies to combat misinformation” about “runs on grocery stores.” But . . . there were runs on grocery stores.

@davidzweig - David Zweig

7. It wasn’t just Twitter. The meetings with the Trump White House were also attended by Google, Facebook, Microsoft and others.

@davidzweig - David Zweig

8. When the Biden admin took over, one of their first meeting requests with Twitter executives was on Covid. The focus was on “anti-vaxxer accounts.” Especially Alex Berenson:

@davidzweig - David Zweig

9. In the summer of 2021, president Biden said social media companies were “killing people” for allowing vaccine misinformation. Berenson was suspended hours after Biden’s comments, and kicked off the platform the following month.

@davidzweig - David Zweig

10. Berenson sued (and then settled with) Twitter. In the legal process Twitter was compelled to release certain internal communications, which showed direct White House pressure on the company to take action on Berenson. ​​https://alexberenson.substack.com/p/jesse-jackson-cant-swim

Jesse Jackson can't swim* *Don't shoot me, it's the punchline to an old (and not racist) joke alexberenson.substack.com

@davidzweig - David Zweig

11. A December 2022 summary of meetings with the White House by Lauren Culbertson, Twitter’s Head of U.S. Public Policy, adds new evidence of the White House’s pressure campaign, and cements that it repeatedly attempted to directly influence the platform.

@davidzweig - David Zweig

12. Culbertson wrote that the Biden team was “very angry” that Twitter had not been more aggressive in deplatforming multiple accounts. They wanted Twitter to do more.

@davidzweig - David Zweig

13. Twitter executives did not fully capitulate to the Biden team’s wishes. An extensive review of internal communications at the company revealed employees often debating moderation cases in great detail, and with more care than was shown by the government toward free speech.

@davidzweig - David Zweig

14. But Twitter did suppress views—many from doctors and scientific experts—that conflicted with the official positions of the White House. As a result, legitimate findings and questions that would have expanded the public debate went missing.

@davidzweig - David Zweig

15. There were three serious problems with Twitter’s process: First, much of the content moderation was conducted by bots, trained on machine learning and AI – impressive in their engineering, yet still too crude for such nuanced work.

@davidzweig - David Zweig

16. Second, contractors, in places like the Philippines, also moderated content. They were given decision trees to aid in the process, but tasking non experts to adjudicate tweets on complex topics like myocarditis and mask efficacy data was destined for a significant error rate

@davidzweig - David Zweig

17 Third, most importantly, the buck stopped with higher level employees at Twitter who chose the inputs for the bots and decision trees, and subjectively decided escalated cases and suspensions. As it is with all people and institutions, there was individual and collective bias

@davidzweig - David Zweig

18. With Covid, this bias bent heavily toward establishment dogmas.

@davidzweig - David Zweig

19. Inevitably, dissident yet legitimate content was labeled as misinformation, and the accounts of doctors and others were suspended both for tweeting opinions and demonstrably true information.

@davidzweig - David Zweig

20. Exhibit A: Dr. Martin Kulldorff, an epidemiologist at Harvard Medical School, tweeted views at odds with US public health authorities and the American left, the political affiliation of nearly the entire staff at Twitter.

@davidzweig - David Zweig

21. Internal emails show an “intent to action” by a moderator, saying Kulldorff’s tweet violated the company’s Covid-19 misinformation policy and claimed he shared “false information.”

@davidzweig - David Zweig

22. But Kulldorff’s statement was an expert’s opinion—one which also happened to be in line with vaccine policies in numerous other countries. Yet it was deemed “false information” by Twitter moderators merely because it differed from CDC guidelines.

@davidzweig - David Zweig

23. After Twitter took action, Kulldorff’s tweet was slapped with a “Misleading” label and all replies and likes were shut off, throttling the tweet’s ability to be seen and shared by many people, the ostensible core function of the platform:

@davidzweig - David Zweig

24. In my review of internal files, I found countless instances of tweets labeled as “misleading” or taken down entirely, sometimes triggering account suspensions, simply because they veered from CDC guidance or differed from establishment views.

@davidzweig - David Zweig

25. A tweet by @KelleyKga, a self-proclaimed public health fact checker, with 18K followers, was flagged as “Misleading,” and replies and likes disabled, even though it displayed the CDC’s *own data.*

@davidzweig - David Zweig

26. Internal records showed that a bot had flagged the tweet, and that it received many “tattles” (what the system amusingly called reports from users). That triggered a manual review by a human who– despite the tweet showing actual CDC data–nevertheless labeled it “Misleading”

@davidzweig - David Zweig

27. Tellingly, the tweet by @KelleyKga that was labeled “Misleading” was a reply to a tweet that contained actual misinformation. Covid has never been the leading cause of death from disease in children. Yet that tweet remains on the platform, and without a “misleading” label.

@davidzweig - David Zweig

28. Whether by humans or algorithms, content that was contrarian but true was still subject to getting flagged or suppressed This tweet was labeled “Misleading,” even though the owner of this account, @_euzebiusz_, a physician, was referring to the results of a published study

@davidzweig - David Zweig

29. Andrew Bostom, a Rhode Island physician, was permanently suspended from Twitter after receiving multiple strikes for misinformation. One of his strikes was for a tweet referring to the results from a peer reviewed study on mRNA vaccines.

@davidzweig - David Zweig

30. A review of Twitter log files revealed that an internal audit, conducted after Bostom’s attorney contacted Twitter, found that only 1 of Bostom’s 5 violations were valid.

@davidzweig - David Zweig

31. The one Bostom tweet found to still be in violation cited data that was legitimate but inconvenient to the public health establishment’s narrative about the risks of flu versus Covid in children.

@davidzweig - David Zweig

32. That this tweet was not only flagged by a bot, but its violation manually affirmed by a staff member is telling of both the algorithmic and human bias at play. Bostom’s account was suspended for months and was finally restored on Christmas Day.

@davidzweig - David Zweig

33. Another example of human bias run amok was the reaction to this tweet by Trump. Many Trump tweets led to extensive internal debates, and this one was no different.

@davidzweig - David Zweig

34. In a surreal exchange, Jim Baker, at the time Twitter’s Deputy General Counsel, asks why telling people to not be afraid wasn’t a violation of Twitter’s Covid-19 misinformation policy.

@davidzweig - David Zweig

35. Yoel Roth, Twitter’s former head of Trust & Safety, had to explain that optimism wasn’t misinformation.

@davidzweig - David Zweig

36. Remember @KelleyKga with the CDC data tweet? Twitter’s response to her is clarifying: “we will prioritize review and labeling of content that could lead to increased exposure or transmission.”

@davidzweig - David Zweig

37. Twitter made a decision, via the political leanings of senior staff, and govt pressure, that the public health authorities’ approach to the pandemic – prioritizing mitigation over other concerns – was “The Science” . . .

@davidzweig - David Zweig

38. Information that challenged that view, such as showing harms of vaccines, or that could be perceived as downplaying the risks of Covid, especially to children, was subject to moderation, and even suppression. No matter whether such views were correct or adopted abroad.

@davidzweig - David Zweig

39. What might this pandemic and its aftermath have looked like if there had been a more open debate on Twitter and other social media platforms—not to mention the mainstream press—about the origins of Covid, about lockdowns, about the true risks of Covid in kids, and much more?

@davidzweig - David Zweig

40. Thanks to @ShellenbergerMD, @lwoodhouse, @lhfang and the team @thefp for their help reporting this story.

@davidzweig - David Zweig

41. An expanded version of this thread is available now @thefp! https://www.thefp.com/p/how-twitter-rigged-the-covid-debate

How Twitter Rigged the Covid Debate The platform suppressed true information from doctors and public-health experts that was at odds with U.S. government policy. thefp.com
Saved - July 27, 2023 at 10:51 PM
reSee.it AI Summary
Internal documents obtained by the Judiciary Committee reveal that Facebook and Instagram succumbed to pressure from the Biden White House to censor posts and alter content moderation policies. The social media giant faced both public and private demands to crack down on alleged misinformation. Even memes were not spared from the censorship efforts. Facebook's relationship with the White House became strained, leading to panic within the company. To appease the administration, Facebook demoted a video by Tucker Carlson, despite it not violating any policies. President Biden publicly criticized Facebook for not censoring alleged misinformation, further intensifying the pressure. Eventually, Facebook admitted to changing its policies due to White House pressure. These documents demonstrate the Biden administration's abuse of power to coerce Facebook into censoring Americans and stifling open discourse on critical issues. The Judiciary Committee's announcement of potential contempt charges against Mark Zuckerberg prompted Facebook to produce the internal documents. While contempt is currently on hold, it remains an option if Facebook fails to fully cooperate with the investigation.

@Jim_Jordan - Rep. Jim Jordan

THE FACEBOOK FILES, PART 1: SMOKING-GUN DOCS PROVE FACEBOOK CENSORED AMERICANS BECAUSE OF BIDEN WHITE HOUSE PRESSURE 🧵 Thread:

@Jim_Jordan - Rep. Jim Jordan

Never-before-released internal documents subpoenaed by the Judiciary Committee PROVE that Facebook and Instagram censored posts and changed their content moderation policies because of unconstitutional pressure from the Biden White House.

@Jim_Jordan - Rep. Jim Jordan

During the first half of 2021, social media companies like Facebook faced tremendous pressure from the Biden White House—both publicly and privately—to crack down on alleged “misinformation."

@Jim_Jordan - Rep. Jim Jordan

In April 2021, a Facebook employee circulated an email for Facebook CEO Mark Zuckerberg and COO Sheryl Sandberg, writing: “We are facing continued pressure from external stakeholders, including the [Biden] White House” to remove posts.

@Jim_Jordan - Rep. Jim Jordan

In another April 2021 email, Nick Clegg, Facebook’s president for global affairs, informed his team at Facebook that Andy Slavitt, a Senior Advisor to President Biden, was “outraged . . . that [Facebook] did not remove” a particular post.

@Jim_Jordan - Rep. Jim Jordan

What did the Biden White House want removed? A meme. That’s right, even memes weren’t spared from the Biden White House’s censorship efforts.

@Jim_Jordan - Rep. Jim Jordan

When Clegg “countered that removing content like that would represent a significant incursion into traditional boundaries of free expression in the US,” Slavitt disregarded the warning and the First Amendment.

@Jim_Jordan - Rep. Jim Jordan

What happened next? Facebook panicked. In another April 2021 email, Brian Rice, Facebook’s VP of public policy, raised the concern that Slavitt's challenge felt “very much like a crossroads for us with the [Biden] White House in these early days.”

@Jim_Jordan - Rep. Jim Jordan

But Facebook wanted to repair its relationship with the White House to avoid adverse action: “Given what is at stake here, it would also be a good idea if we could regroup and take stock of where we are in our relations with the [White House], and our internal methods too.”

@Jim_Jordan - Rep. Jim Jordan

This wasn’t the first time that the Biden White House was angry that Facebook didn’t censor more. According to these documents, the Biden White House demanded to know why Facebook had not censored a video from @TuckerCarlson. So, Facebook prepped its response.

@Jim_Jordan - Rep. Jim Jordan

To appease the Biden White House, talking points were drafted for Clegg. Facebook was ready to tell the White House that it had demoted a video posted by Tucker Carlson by 50% in response to the White House’s demands, even though the post didn’t violate any policies.

@Jim_Jordan - Rep. Jim Jordan

Public pressure mounted as well. In July 2021, President Biden publicly denounced Facebook and other social media platforms, claiming they were “killing people” by not censoring alleged “misinformation.” https://www.reuters.com/business/healthcare-pharmaceuticals/white-house-says-facebooks-steps-stop-vaccine-misinformation-are-inadequate-2021-07-16/

Biden says Facebook, others 'killing people' by carrying COVID misinformation U.S. President Joe Biden on Friday said social media platforms like Facebook (FB.O) "are killing people" for allowing misinformation about coronavirus vaccines to be posted on its platform, as the administration continued criticizing the company. reuters.com

@Jim_Jordan - Rep. Jim Jordan

On August 2, 2021, Facebook admitted it was going to change its policies because of pressure from the Biden White House.

@Jim_Jordan - Rep. Jim Jordan

August 2, 2021: “[Facebook’s] Leadership asked Misinfo Policy . . . to brainstorm some additional policy levers we can pull to be more aggressive against . . . misinformation. This is stemming from the continued criticism of our approach from the [Biden] administration.”

@Jim_Jordan - Rep. Jim Jordan

But it wasn't just the White House. Facebook also changed its policies in direct response to pressure from Biden's Surgeon General, censoring members of the “disinformation dozen.”

@Jim_Jordan - Rep. Jim Jordan

These documents, AND OTHERS that were just produced to the Committee, prove that the Biden Admin abused its powers to coerce Facebook into censoring Americans, preventing free and open discourse on issues of critical public importance.

@Jim_Jordan - Rep. Jim Jordan

Only after the Committee announced its intention to hold Mark Zuckerberg in contempt did Facebook produce ANY internal documents to the Committee, including these documents, which PROVE that government pressure was directly responsible for censorship on Facebook.

@Jim_Jordan - Rep. Jim Jordan

Based on Facebook’s newfound commitment to fully cooperate with the Committee’s investigation, the Committee has decided to hold contempt in abeyance. For now. To be clear, contempt is still on the table and WILL be used if Facebook fails to cooperate in FULL.

@Jim_Jordan - Rep. Jim Jordan

To be continued…

Saved - July 30, 2023 at 9:53 PM
reSee.it AI Summary
The White House pressured Facebook to censor posts about the lab leak, contradicting claims of no censorship. Emails reveal demands for more censorship of accurate vaccine and COVID origin information. Facebook executives admit to being under pressure to remove COVID vaccine discouraging content. The White House even wanted jokes removed. Congress proposed The Censorship Accountability Act to allow suing executive branch employees demanding social media censorship. Women athletes' rights are questioned as they must compete with transwomen who have intact male genitalia. A survivor of sexual assault shares her traumatic experience of changing with a biological male in the locker room. The University of Pennsylvania dismissed concerns, offering psychological services instead. Free speech is stifled as any discussion on maintaining women's spaces is labeled transphobic. Support Public's defense of freedom of speech.

@shellenberger - Michael Shellenberger

The White House says it didn't censor anyone, but new emails show it demanded Facebook censor posts about the lab leak. "Can someone quickly remind me why we were removing... claims that Covid is man made”? “We were under pressure from the administration and others to do more"

@shellenberger - Michael Shellenberger

White House Caught Censoring Record Coal & Oil Use :: Trans-victimization :: NYT Against Journalism :: Does Biden Have Foreign Bank Accounts? :: Oakland Is A Naked Lady Shooting People :: Masks Of Oppression by @lwoodhouse@galexybrane@kshellenberger White House Caught Censoring For months, mainstream journalists and Democrats have insisted that nobody in the White House was demanding censorship of anybody. They were just “flagging content” and using their own right to free speech to point out “mis- and disinformation.” But now, newly released emails show that the Biden White House demanded more censorship by Facebook of accurate information about vaccines and Covid’s origin. “Can someone quickly remind me why we were removing — rather than demoting/labeling — claims that Covid is man made,” asked Nick Clegg, Facebook’s president of global affairs, in a July 2021 email to his coworkers. Answered a Facebook Vice President in charge of censorship: “We were under pressure from the administration and others to do more. We shouldn’t have done it.” We already knew that Facebook, under White House pressure, censored "often-true content,” in the words of one company executive, even though it "does not contain actionable misinformation" because it was "discouraging vaccines." But the new emails released yesterday by Rep. Jim Jordan, chair of the House Subcommittee on the Weaponization of Government, and first reported this morningby the Wall Street Journal, are even more damning. In April of 2021, another Facebook executive emailed CEO Mark Zuckerberg and COO Sheryl Sandberg to say, “We are facing continued pressure from external stakeholders,” the person wrote, including the [Biden] White House and the press, to remove more COVID-19 vaccine discouraging content.” Lest there be any doubt about White House pressure, the Facebook Vice President said, “There is likely a significant gap between what the WH would like us to remove and what we are comfortable removing.” The White House even demanded that Facebook take down jokes. “The WH has previously indicated that it thinks humor should be removed if it is premised on the vaccine having side effects, so we expect it would similarly want to see humor about vaccine hesitancy removed,” said the same Facebook vice president. “I can’t see Mark in a million years being comfortable with removing that—and I wouldn’t recommend it,” wrote Clegg. This kind of thing will keep happening until Congress takes action. Happily, that’s what Rep. Dan Bishop, who recorded a podcast with Public a few weeks back, proposed to do this week. Bishop, and Reps. Matt Gaetz, Andy Biggs, Harriet Hageman, and others introduced The Censorship Accountability Act, which would allow people to sue executive branch employees caught demanding social media companies to censor. Given that journalists and Democrats insist that such a thing never occurs, surely we can expect to see them championing the legislation. Right? — MS https://wsj.com/articles/facebook-bowed-to-white-house-pressure-removed-covid-posts-2df436b7

@shellenberger - Michael Shellenberger

Trans-victimization For many Americans, extending rights to trans people aligns with past movements to extend rights to women, racial minorities, gays, and lesbians. In the same way that women and girls deserved female-only spaces and sports, which they achieved in the 1964 Civil Rights Act, transwomen should be allowed to compete in women’s sports. But many people who believe this do not understand that many transwomen, including the swimmer Lia Thomas, have entirely intact male genitalia. And not only must biological women compete with Thomas in public, but they must also share a locker room in private. Few people support denying the rights of trans people to live safely and freely. But what of the rights of women athletes? And what of the rights of women athletes who are the survivors of sexual assault? Such were the questions raised by Paula Scanlan, a former NCAA female swimmer. Yesterday she testified before Congress and presented some shocking information. “My teammates and I were forced to undress in the presence of Lia, a six-feet-four-inch tall biological man fully-intact with male genitalia, 18 times per week,” Scanlan said. “Some girls opted to change in bathroom stalls, and others used the family bathroom to avoid this.” This was particularly traumatizing for Scanlan, she said, since a man had sexually assaulted her in a bathroom just a few years earlier. “I know of women with sexual trauma who are adversely impacted by having biological males in their locker room without their consent. And I am one of these women. I was sexually assaulted on June 3, 2016, in a bathroom.” Rather than respond with human decency, the University of Pennsylvania sided with political correctness. “When we tried to voice our concern to the Athletic Department,” said Scanlan, “we were told that Lia swimming and being in our locker room was non-negotiable and we were offered psychological services to attempt to re-educate us to become comfortable with the idea of undressing in front of a male.” All of this happened just last year. Scanlan spoke out in an op-ed for the Daily Pennsylvanian, the University of Pennsylvania’s student newspaper. “I approached this from a scientific, statistical perspective,” she said, “where I used my engineering background to discuss how Y-chromosomes cannot be changed by any surgical procedure or systemic therapy. This biological fact lends itself to athletic advantages that cannot be mitigated by lowering testosterone levels, which are readily apparent in sports competitions and locker rooms.” Can you guess what happened next? “Only a few hours later,” writes Scanlan, “my piece was retracted. I was given no notice, nor reasoning. Again, I was silenced for my dissenting viewpoint and felt my First Amendment Rights were denied by my university. “This is representative of a greater issue, the destruction of free speech. Today any discussion of maintaining the sanctity of women’s spaces is labeled transphobic, bigoted, and hateful.” The good news is that Americans appear to be coming to their senses. The share of Americans who say transgender athletes should only be allowed to compete on sports teams that conform with their birth gender rose from 62% in 2021 to 69% this year. Stories like Scanlan’s are no doubt part of the reason. — MS

@shellenberger - Michael Shellenberger

Subscribe now to support Public's defense of freedom of speech and to read the rest of today's Three Dot! https://t.co/cqMklxowQU

Saved - July 29, 2023 at 12:48 AM

@RobertKennedyJr - Robert F. Kennedy Jr

White House directly demanded that Facebook remove posts it didn’t like. When Facebook pushed back, WH officials were outraged. They seem to think that it is the platforms’ duty to censor whatever the government tells them to.

Saved - July 28, 2023 at 9:24 PM
reSee.it AI Summary
Newly subpoenaed documents expose Facebook's compliance with the Biden administration's pressure to remove COVID-related posts. The White House pushed for stricter policing of vaccine content, including true information. Facebook initially resisted but eventually changed its moderation policies due to continued pressure. The administration wanted humorous vaccine posts removed and even sought the removal of true information. These documents reveal ongoing censorship efforts by the Biden administration.

@Jim_Jordan - Rep. Jim Jordan

THE FACEBOOK FILES PART 2. Newly subpoenaed documents reveal Facebook bowed to the Biden White House’s pressure to remove posts. 🧵 Thread: https://www.wsj.com/articles/facebook-bowed-to-white-house-pressure-removed-covid-posts-2df436b7

WSJ News Exclusive | Facebook Bowed to White House Pressure, Removed Covid Posts Internal Meta emails say pressure from Washington was behind a decision to take down posts attributing pandemic to man-made virus wsj.com

@Jim_Jordan - Rep. Jim Jordan

In sum­mer of 2021, the White House was mount­ing a na­tion­wide push for Amer­i­cans to get vaccinated for Covid-19. Part of that push in­cluded a pub­lic and SECRET campaign to get Facebook to more ag­gres­sively po­lice vac­cine-re­lated con­tent, including TRUE information.

@Jim_Jordan - Rep. Jim Jordan

This wasn’t the Biden Admin's first pressure campaign. In July 2021, FB’s head of Global Affairs asked why FB had been censoring the COVID lab leak theory. The answer was clear: “Because we were under pressure from the administration . . . We shouldn’t have done it.”

@Jim_Jordan - Rep. Jim Jordan

Biden Ad­min­is­tra­tion of­fi­cials claimed that many Ameri­cans were hes­i­tant to get vac­cines be­cause of content—including true information—that they saw on Face­book. “They’re killing peo­ple,” Pres­i­dent Biden said in July.

@Jim_Jordan - Rep. Jim Jordan

Facebook employees initially bristled at President Biden’s accusation.

@Jim_Jordan - Rep. Jim Jordan

BUT the tongue-lash­ing directly caused Face­book to re-eval­u­ate its poli­cies about COVID-19 con­tent—discussions that in­volved high-level com­pany of­fi­cials in­clud­ing Clegg and then-Chief Op­er­at­ing Of­fi­cer Sh­eryl Sand­berg.

@Jim_Jordan - Rep. Jim Jordan

What did the White House want removed? Humorous posts about the vaccine. Seriously, jokes were too much!

@Jim_Jordan - Rep. Jim Jordan

The Biden administration also wanted Facebook to remove TRUE information as well.

@Jim_Jordan - Rep. Jim Jordan

As Clegg pre­pared to meet Biden’s Surgeon General, he emailed col­leagues: “Sheryl is keen that we continue to explore some moves that we can make to show that we are trying to be responsive to the WH.” Facebook even considered “blackholing” certain domains.

@Jim_Jordan - Rep. Jim Jordan

Clegg continued: “My sense is that our current course—in ef­fect ex­plain­ing our­selves more fully, but not shift­ing on where we draw the lines…is a recipe for pro­tracted and in­creas­ing ac­ri­mony with the [White House].”

@Jim_Jordan - Rep. Jim Jordan

Facebook’s leadership relented in August and agreed to change the company’s content moderation policies because of the Biden Admin’s continued pressure.

@Jim_Jordan - Rep. Jim Jordan

And Facebook caved to the White House. Again. https://www.cnn.com/2021/08/18/tech/facebook-disinformation-dozen/index.html

Facebook takes action against 'disinformation dozen' after White House pressure | CNN Business Facebook on Wednesday announced that it had taken action against the so-called “disinformation dozen,” one month after the White House singled out the twelve people and argued that they were responsible for a majority of coronavirus misinformation. cnn.com

@Jim_Jordan - Rep. Jim Jordan

These subpoenaed documents continue to reveal the Biden administration’s efforts to censor speech.

@Jim_Jordan - Rep. Jim Jordan

To be continued…

Saved - August 4, 2023 at 10:15 PM
reSee.it AI Summary
Newly subpoenaed meeting notes reveal the Biden administration's efforts to control speech on Facebook. They pressured the platform to regulate COVID-19 narratives and questioned its content decisions. The White House even wanted Facebook to kick people off the site. They also sought to manipulate the algorithm to favor certain news sources. This censorship-industrial complex raises concerns about freedom of expression. Facebook admitted to reducing content, even if it contained true information. The Biden administration's desire for content control is evident.

@Jim_Jordan - Rep. Jim Jordan

THE FACEBOOK FILES PART 3. Newly subpoenaed internal notes of meetings between Facebook executives and Biden Admin officials reveal more about the lengths the Biden White House wanted to go to control true speech on Facebook. 🧵 Thread: https://www.foxnews.com/media/new-facebook-files-reveal-lengths-wh-willing-go-try-control-covid-narrative-social-media

New Facebook Files reveal lengths WH was willing to go to try to control COVID narrative on social media Biden administration officials had several conversations with Facebook employees about possibly getting special access to tools that could target users over posts about COVID-19. foxnews.com

@Jim_Jordan - Rep. Jim Jordan

In 2021, the White House wanted to control what narratives and true content was posted on Facebook surrounding #COVID19. President Biden went so far to say that Facebook was “killing people” for allowing certain statements to be published on the site. https://www.cnn.com/2021/07/16/politics/biden-facebook-covid-19/index.html

Biden says platforms like Facebook are 'killing people' with Covid misinformation | CNN Politics President Joe Biden said Friday social media platforms like Facebook are “killing people” with misinformation surrounding the Covid-19 pandemic as the White House ramps up its rhetoric around false information on social media regarding the pandemic. cnn.com

@Jim_Jordan - Rep. Jim Jordan

Rob Flaherty, President Biden’s then-Director of Digital Strategy, repeatedly put pressure on Facebook to explain its content decisions. “We have to explain to President, Ron, people, why there is misinfo on the internet…” https://t.co/zUZYbKHfA9

@Jim_Jordan - Rep. Jim Jordan

For example, Flaherty questioned whether Facebook was doing enough to reduce traffic from sites like the @nypost. “I’m curious – NY Post churning out articles every day... What is supposed to happen to that from Policy perspective. Does that article get a reduction, labels?” https://t.co/zC8QFWcckZ

@Jim_Jordan - Rep. Jim Jordan

But that wasn’t enough for the Biden White House. Flaherty wanted Facebook to go a step further. He wanted Facebook to kick people off its site. https://t.co/zh2ccl9C1d

@Jim_Jordan - Rep. Jim Jordan

The Biden White House’s effort to censor opposing viewpoints only grew. So, they upped the pressure. Flaherty demanded that Facebook “play ball” and work with the Biden White House on censorship. He called it his “dream.” https://t.co/J0Z2AhDx8m

@Jim_Jordan - Rep. Jim Jordan

But that’s not all. The Biden White House wanted to control what you saw on Facebook. They questioned whether Facebook could change its algorithm so users saw more posts from the New York Times and less from the @realDailyWire and @TomiLahren. https://t.co/oZUDDv6324

@Jim_Jordan - Rep. Jim Jordan

Why did they do that? Because they didn’t think you were smart enough to decide for yourself. President Biden’s head of strategic communications and public engagement for the #COVID19 response, Courtney Rowe, mocked Real America’s ability to determine what's true and what isn’t. https://t.co/NS3PJBM7M5

@Jim_Jordan - Rep. Jim Jordan

Facebook knew it had to act. One employee tried to explain to the White House that if the company couldn’t “remove” content, it could at least “contain it.” https://t.co/unlGNYpSAd

@Jim_Jordan - Rep. Jim Jordan

But Flaherty continued to press for more content moderation and CONTROL on so-called “bad” content. Read ⤵️ https://t.co/OpmcIktt0K

@Jim_Jordan - Rep. Jim Jordan

And of course, Facebook caved. The company ADMITTED to the White House that it reduced content of certain posts – even if the posts didn’t violate the company’s terms and contained TRUE information.

@Jim_Jordan - Rep. Jim Jordan

Just read this from a Facebook employee. https://t.co/IXMKmzAEvE

@Jim_Jordan - Rep. Jim Jordan

These newly subpoenaed meeting notes continue to show the Biden White House’s desire to direct and control content on Facebook. More evidence of the censorship-industrial complex.

@Jim_Jordan - Rep. Jim Jordan

To be continued…

Saved - August 9, 2023 at 2:12 AM
reSee.it AI Summary
The federal government's role in the censorship industrial complex is highlighted in a case where they coerced Big Tech to violate freedom of speech. Wielding threats of intervention, the government has been pressuring private parties to censor public speech. The Biden Administration has distorted the free marketplace of ideas, suppressing dissenting views and promoting their own narrative. Collusion between the government and Big Tech has eroded First Amendment rights. Despite this, we continue to defend freedom of speech and take legal action against censorship. The recent brief filed at the Fifth Circuit exposes how the government coerced private entities into censoring Americans' speech. We proudly stand with Jim Jordan and 11 members of the Judiciary GOP to defend the First Amendment. Read more: [Fox News link] [America First Legal link]

@America1stLegal - America First Legal

/1🗣️THREAD — We filed a brief at the Fifth Circuit on behalf of @Jim_Jordan and 11 members of @JudiciaryGOP @Weaponization in a case highlighting the federal government’s role in the censorship industrial complex. The federal govt. coerced Big Tech to violate freedom of speech:

@America1stLegal - America First Legal

/2 Wielding threats of intervention, the federal government has engaged in a sustained effort to coerce private parties into censoring speech on matters of public concern.

@America1stLegal - America First Legal

/3 On issue after issue, the Biden Administration has distorted the free marketplace of ideas promised by the First Amendment, bringing the weight of federal authority to bear on any speech it dislikes—down to memes in tweets. See the meme that the Biden admin wanted removed:

@America1stLegal - America First Legal

/4 Americans have watched their First Amendment rights slipping away for years as the Biden Administration has censored and silenced anyone with dissenting views to their extremist agenda. Government collusion with Big Tech is not new…Informative thread to explain:

@America1stLegal - America First Legal

/5 Whether it was concern about COVID-19, election integrity, or the double standard of justice in the United States, the Biden Admin did not cease in their effort to violate and suppress freedom of speech, all while promulgating propaganda to benefit their corrupt narrative.

@America1stLegal - America First Legal

/6 We have long defended freedom of speech, uncovering collusion between tech companies and the government to silence Americans and suing the architects behind the censorship industrial complex, among a flurry of other critical legal actions.

@America1stLegal - America First Legal

/7 The brief highlights the extent to which the federal government coerced private entities into censoring Americans’ speech–highlighting in particular recent explosive records from @Jim_Jordan @JudiciaryGOP Facebook Files:

@America1stLegal - America First Legal

@Jim_Jordan @JudiciaryGOP /8 We are proud to stand with @Jim_Jordan @RepArmstrongND @RepAndyBiggsAZ @RepDanBishop @RepKatCammack @RussellFrySC @Lancegooden @RepHageman @RepMikeJohnson @RepThomasMassie @RepStefanik @RepBarryMoore to defend the First Amendment.

@America1stLegal - America First Legal

@Jim_Jordan @JudiciaryGOP @RepArmstrongND @RepAndyBiggsAZ @RepDanBishop @RepKatCammack @RussellFrySC @Lancegooden @RepHageman @RepMikeJohnson @RepThomasMassie @RepStefanik @RepBarryMoore /9 Read more now: https://www.foxnews.com/politics/weaponization-subcommittee-state-lawsuit-biden-big-tech-censorship-case-un-american

Weaponization subcommittee backs state lawsuit in Biden, Big Tech censorship case: ‘Un-American’ House Republicans filed an extensive amicus brief in a lawsuit against the Biden administration over its alleged efforts to suppress free speech online. foxnews.com

@America1stLegal - America First Legal

@Jim_Jordan @JudiciaryGOP @RepArmstrongND @RepAndyBiggsAZ @RepDanBishop @RepKatCammack @RussellFrySC @Lancegooden @RepHageman @RepMikeJohnson @RepThomasMassie @RepStefanik @RepBarryMoore /10 https://aflegal.org/america-first-legal-files-brief-at-fifth-circuit-on-behalf-of-representative-jim-jordan-and-11-members-of-the-judiciary-committee-and-the-select-committee-on-weaponization-about-federal-government-coe/

America First Legal Files Brief at Fifth Circuit on Behalf of Representative Jim Jordan and 11 Members of the Judiciary Committee and the Select Committee on Weaponization About Federal Government Coercion and Involvement in the Censorship Industrial Complex WASHINGTON, D.C. – Today, America First Legal (AFL), with co-counsel Christopher Mills, filed a brief in the United States Court of Appeals for the Fifth Circuit on behalf of Representatives Jim Jordan, Kelly Armstrong, Andy Biggs, Dan Bishop, Kat Cammack, Russell Fry, Lance Gooden, Harriet Hageman, Mike Johnson, Thomas Massie, Elise Stefanik, and Barry Moore […] aflegal.org
Saved - September 6, 2023 at 12:39 PM
reSee.it AI Summary
The Biden White House relied on foreign activists and a misleading report to pressure Facebook into censoring Americans. The report claimed that a small group was responsible for most anti-vaccine content, but Facebook knew the number was much lower. Despite this, the White House repeated the false stat and demanded widespread censorship. Facebook complied, censoring accounts and even demoting affiliated ones. The Biden administration's censorship demands continued, causing strain between Facebook and the White House. This reveals a concerning censorship regime where false information is used to suppress critics and control the narrative. The committee is investigating the role of CCDH and its communication with the government and Big Tech.

@Jim_Jordan - Rep. Jim Jordan

THE FACEBOOK FILES PART 5. BIDEN WHITE HOUSE RELIED ON FOREIGN “DISINFO” ACTIVISTS TO PRESSURE FACEBOOK TO CENSOR AMERICANS. Internal FB docs recently obtained by @JudiciaryGOP and @Weaponization show the Biden Admin and foreign activists wanted Americans censored. 🧵 Thread:

@Jim_Jordan - Rep. Jim Jordan

The UK-based Center for Countering Digital Hate (CCDH) claimed that @RobertKennedyJr & 11 others were responsible for 65% “of anti‑vaccine content circulating on social media.” But CCDH’s absurd claim about the so-called “Disinformation Dozen” was itself disinformation.

@Jim_Jordan - Rep. Jim Jordan

First, that 65% stat? CCDH was off by quite a bit. Facebook knew the actual number was closer to 0.05%. Second, despite attacking @RobertKennedyJr and the others as the so-called “Disinformation Dozen,” a lot of their accounts were “completely benign” according to Facebook.

@Jim_Jordan - Rep. Jim Jordan

As Facebook admitted internally, a lot of these accounts were just Americans expressing “vaccine hesitancy,” which is often “not misinfo,” even under Facebook’s policies.

@Jim_Jordan - Rep. Jim Jordan

But that didn’t stop the Biden White House from repeating the fake stat every chance they got. Jen Psaki repeated the CCDH’s disinformation almost verbatim to the country. Watch: https://www.c-span.org/video/?513448-1/white-house-daily-briefing

White House Press Secretary Holds Briefing U.S. Surgeon General Dr. Vivek Murthy joined Press Secretary Jen Psaki for the White House briefing to announce a new campaign against COVID-19 misinformation. "Today we live in a world where misinformation poses an imminent and insidious threat to our nation's health," said the surgeon general. "Simply put, health misinformation has cost us lives." Other topics included the White House's response to protests in Cuba, spending bill negotiations, and combating ransomware attacks. c-span.org

@Jim_Jordan - Rep. Jim Jordan

The CCDH published its report on March 24, 2021. By April 2021, Facebook employees were preparing a draft memo to Mark Zuckerberg about “pressure from … the White House” to remove the Disinfo Dozen even though they did “not believe we currently have a clear path for removal.”

@Jim_Jordan - Rep. Jim Jordan

Facebook was stunned that the Biden White House seemed to actually believe the CCDH’s obviously false stat and was relying on these foreign activists’ “data” to “guide major governmental policy decisions.”

@Jim_Jordan - Rep. Jim Jordan

To be clear, the Biden White House didn’t just want Facebook to censor the Disinformation Dozen’s Facebook posts. They wanted EVERYTHING censored—across all social media platforms. Remember when Jen Psaki said this:

@townhallcom - Townhall.com

PSAKI: If you're banned on one social media platform, you should be banned on other social media platforms.

Video Transcript AI Summary
Facebook and other platforms should measure and share the impact of misinformation, along with the audience it reaches. They should work with the public to create strong enforcement strategies that apply across all their properties. Transparency about rules is important, so people shouldn't be banned from one platform while allowed on others for spreading misinformation.
Full Transcript
Speaker 0: Providing for Facebook or other platforms to measure and publicly share the impact of misinformation on their platform and the audience it's reaching. Also with the public, with all of you to create robust enforcement strategies that bridge their properties and provide transparency about rules. You shouldn't be banned from 1 platform and not others if you for providing misinformation out there.

@Jim_Jordan - Rep. Jim Jordan

Facebook understood what that meant. If Twitter or YouTube censored you, the Biden White House wanted Facebook to censor you too.

@Jim_Jordan - Rep. Jim Jordan

The Biden White House wanted this type of censorship even though Facebook’s policy was to “only do cross-platform disables for child safety and dangerous organization violations.”

@Jim_Jordan - Rep. Jim Jordan

The Biden White House’s censorship demands didn’t stop there. They also wanted Facebook to remove all URL links to off-platform websites, which would “remove significant amounts of benign content posted by regular users, such as . . . person experiences or government criticism.”

@Jim_Jordan - Rep. Jim Jordan

Facebook got the message loud and clear. Right after Jen Psaki repeated CCDH’s false stats from the White House podium, Facebook Leadership asked for an update ASAP on how much Facebook was censoring the Disinformation Dozen:

@Jim_Jordan - Rep. Jim Jordan

The answer? Facebook had been censoring the Disinformation Dozen since March 2021, including removing the Instagram account of @RobertKennedyJr and ultimately taking “aggressive action” against 11 of the 12 by July.

@Jim_Jordan - Rep. Jim Jordan

That 12th account? His only crime was posting “about internet censorship.” Ironic. Facebook said it was “watching his profile closely.”

@Jim_Jordan - Rep. Jim Jordan

In fact, Facebook continued to “monitor” all of the so-called Disinformation Dozen accounts, trying to find a way to censor more. The problem? The “majority” of the accounts in question were not spreading misinformation.

@Jim_Jordan - Rep. Jim Jordan

Besides removing certain accounts, Facebook also secretly demoted affiliated accounts by varying degrees to expire at different times, such as @ChildrensHD founded by @RobertKennedyJr.

@Jim_Jordan - Rep. Jim Jordan

In late July 2021, Facebook’s President of Global Affairs, Nick Clegg, had a meeting with the Surgeon General’s Office. In the days leading up, Facebook knew the Biden Admin would be asking about the CCDH’s misleading “Disinformation Dozen” statistics.

@Jim_Jordan - Rep. Jim Jordan

Following the meeting, Nick Clegg had to report back to the Surgeon General’s Office—did Facebook censor the Disinformation Dozen to try to get the Biden Admin to back off? The answer: Yes, but “nothing will be persuasive to that crew.”

@Jim_Jordan - Rep. Jim Jordan

Was Facebook’s censorship of the Disinformation Dozen enough? Of course not. You can never satisfy the Biden censorship regime. President Biden himself helped ensure that CCDH’s disinformation had “unrelenting staying power.”

@Jim_Jordan - Rep. Jim Jordan

By August, things hadn’t improved. CCDH’s false Disinfo Dozen stat was “routinely cited in the press” and contributed to FB having a “tough relationship with” the Biden White House. So Facebook “tailored” solutions around the White House’s concerns rather than real problems.

@Jim_Jordan - Rep. Jim Jordan

And that’s how the censorship regime works: Foreign activists at the CCDH feed false info to the Biden White House. The Biden Admin then uses the full weight of the federal govt to coerce Facebook to censor Americans, Biden’s critics and political opponents, and the truth.

@Jim_Jordan - Rep. Jim Jordan

The Committee has already demanded documents from Facebook and the Biden White House. Last week, we issued a subpoena to CCDH to determine its role in the censorship regime. CCDH has admitted that it communicates with the Executive Branch and Big Tech about content moderation.

@Jim_Jordan - Rep. Jim Jordan

https://townhall.com/tipsheet/katiepavlich/2023/08/30/theres-a-new-player-in-the-governments-censorship-game-n2627758

There's a New Player in the Government's Censorship Game   townhall.com

@Jim_Jordan - Rep. Jim Jordan

Who else has the left-wing CCDH attacked? @realDailyWire@realchrisfrufo@libsoftiktok@JackPosobiec@Timcast@BreitbartNews@NEWSMAX@townhallcom@theMRC@RepMTG @WashTimes

@Jim_Jordan - Rep. Jim Jordan

CCDH’s deadline to respond to the Committee’s subpoena is September 29 at 9 a.m. To be continued...

Saved - November 30, 2023 at 2:37 PM
reSee.it AI Summary
Internal documents reveal that the Biden White House pressured YouTube to censor Americans, as previously seen with Facebook and Twitter. The Biden administration sought to crack down on vaccine misinformation and control content on YouTube. Google's government affairs team had discussions with the White House staff to address their concerns. Legislation has been introduced to hold government bureaucrats accountable for censorship. Further investigations are underway to inform legislative solutions. Stay tuned for updates.

@Jim_Jordan - Rep. Jim Jordan

THE YOUTUBE FILES PART 1. BIDEN WHITE HOUSE PRESSURED YOUTUBE TO CENSOR AMERICANS. Internal docs from Google (YouTube’s parent company) obtained by @JudiciaryGOP and @Weaponization show that the Biden White House wanted Americans censored. 🧵 Thread: https://www.foxbusiness.com/politics/white-house-worked-youtube-censor-covid-19-vaccine-misinformation-house-judiciary-committee

White House worked with YouTube to censor COVID-19 & vaccine 'misinformation': House Judiciary Committee The White House worked with YouTube in 2021 to target alleged COVID-19 and vaccination misinformation, the House Judiciary Committee alleged, citing documents. foxbusiness.com

@Jim_Jordan - Rep. Jim Jordan

Almost one year ago today, @mtaibbi published the first edition of the Twitter Files, followed by other journalists including @shellenberger, @bariweiss, @lhfang, & @AlexBerenson. https://x.com/mtaibbi/status/1598822959866683394?s=20

@mtaibbi - Matt Taibbi

1. Thread: THE TWITTER FILES

@Jim_Jordan - Rep. Jim Jordan

After issuing subpoenas to Big Tech, @JudiciaryGOP released the Facebook Files this summer revealing: -The Biden White House wanted true information censored. -Facebook changed its policies because of pressure from the Biden Admin. https://x.com/Jim_Jordan/status/1684595375875760128?s=20

@Jim_Jordan - Rep. Jim Jordan

THE FACEBOOK FILES, PART 1: SMOKING-GUN DOCS PROVE FACEBOOK CENSORED AMERICANS BECAUSE OF BIDEN WHITE HOUSE PRESSURE 🧵 Thread:

@Jim_Jordan - Rep. Jim Jordan

“Facebook removed content related to Covid-19 in response to pressure from the Biden administration, including posts claiming the virus was man-made, according to internal company communications viewed by The Wall Street Journal.” https://www.wsj.com/articles/facebook-bowed-to-white-house-pressure-removed-covid-posts-2df436b7

WSJ News Exclusive | Facebook Bowed to White House Pressure, Removed Covid Posts Internal Meta emails say pressure from Washington was behind a decision to take down posts attributing pandemic to man-made virus wsj.com

@Jim_Jordan - Rep. Jim Jordan

Now, here’s the first edition of the YouTube Files. We knew the Biden White House was pushing Facebook and Twitter to censor more. Now we know the White House was repeatedly pressuring Google to censor content on YouTube.

@Jim_Jordan - Rep. Jim Jordan

On April 12, 2021, Rob Flaherty—Biden’s Director of Digital Strategy—emailed Google wanting to know how Google could better “crack down on vaccine misinformation” and to discuss “ways the White House (and our COVID experts) can partner in your product work.”

@Jim_Jordan - Rep. Jim Jordan

Privately, Google understood what this request meant as internal docs obtained by @JudiciaryGOP reveal: “Rob’s questions were very YT focused” & he “dug in on our decision making for borderline content,” which YT says is content that doesn’t “violate our Community Guidelines”

@Jim_Jordan - Rep. Jim Jordan

A week later, on April 21, 2021, one of the Google Gov’t Affairs team members, who had been on recent calls with the Biden White House, specifically Rob Flaherty, explained plainly what Flaherty wanted: “Really he’s interested in what we’re seeing that is NOT coming down.”

@Jim_Jordan - Rep. Jim Jordan

YouTube’s Gov’t Affairs team then emailed the YouTube Product team, warning the Biden “White House is very interested in our work on borderline content,” and the Product team should brief the White House “to prevent anything from potentially spiraling out of control.”

@Jim_Jordan - Rep. Jim Jordan

Another week later, YouTube’s Gov’t Affairs team emailed the YouTube Product team to update them on the situation. The Google and YouTube Gov’t Affairs teams were having “conversations with the White House staff on YouTube’s policies.”

@Jim_Jordan - Rep. Jim Jordan

Both Google & YouTube’s Gov’t Affairs teams wanted the YouTube Product Team to meet with the White House staff, who were “familiar with many of [YouTube’s] policies and efforts” removing content, because the WH “staff continue[d] to have questions on the raise/reduce efforts.”

@Jim_Jordan - Rep. Jim Jordan

The company needed this meeting ASAP because: 1) there was “significant attention coming from the [White House] staff on this issue”; and 2) Google was seeking “to work closely with [the Biden] administration on multiple policy fronts” and needed to appease them.

@Jim_Jordan - Rep. Jim Jordan

.@SenRandPaul and Republicans in the House introduced legislation that would provide victims of government censorship with a remedy—the ability to sue the government bureaucrats responsible for causing your constitutionally protected speech to be removed. https://judiciary.house.gov/media/press-releases/chairman-jordan-senator-paul-fight-protect-americans-first-amendment-rights

Chairman Jordan, Senator Paul Fight to Protect Americans’ First Amendment Rights Against Government Censorship WASHINGTON, D.C. – Today, House Judiciary Committee Chairman Jim Jordan (R-OH) and U.S. judiciary.house.gov

@Jim_Jordan - Rep. Jim Jordan

.@JudiciaryGOP and @Weaponization will continue this critical investigative work to further inform legislative solutions to the vast government censorship enterprise.

@Jim_Jordan - Rep. Jim Jordan

Tune in today for the @Weaponization hearing marking the one-year anniversary since the first #TwitterFiles report. Stay tuned... https://judiciary.house.gov/committee-activity/hearings/hearing-weaponization-federal-government-4

Hearing on the Weaponization of the Federal Government judiciary.house.gov
Saved - December 1, 2023 at 7:36 PM
reSee.it AI Summary
Big Tech, including YouTube and Facebook, succumbed to pressure from the Biden White House to censor Americans' speech. The White House demanded the removal of true information, jokes, memes, and opinions. YouTube's compliance led to increased pressure on Facebook. Even memes were not spared from censorship. The Biden administration praised Google's censorship while criticizing Facebook. Facebook's attempts to reason based on free expression were futile. The White House insisted on more censorship, leveraging other policy priorities. The companies feared repercussions. This appeasement resulted in the suppression of true speech and jokes. The investigation into the White House's role in censorship continues, with deposition subpoenas issued to key officials. Stay tuned for updates.

@Jim_Jordan - Rep. Jim Jordan

THE YOUTUBE FILES PART 2. To appease the Biden White House, Big Tech gave into the federal government’s relentless pressure campaign to censor Americans’ speech, including true information. YouTube capitulated first; Facebook caved next. 🧵 Thread: https://www.dailywire.com/news/exclusive-biden-admin-praised-youtubes-censorship-used-it-to-pressure-facebook-to-intensify-suppression-of-vaccine-stories

EXCLUSIVE: Biden Admin Praised YouTube’s Censorship, Used It To Pressure Facebook To Intensify Suppression Of Vaccine Stories | The Daily Wire dailywire.com

@Jim_Jordan - Rep. Jim Jordan

.@JudiciaryGOP and @Weaponization obtained internal Google & Facebook docs revealing which Big Tech companies buckled first under pressure from the Biden White House to censor Americans’ posts, including true statements, jokes, memes, and opinions.

@Jim_Jordan - Rep. Jim Jordan

And once YouTube (Google) relented to censoring more content, the Biden White House used that as leverage to further increase the pressure on Facebook to do the same.

@Jim_Jordan - Rep. Jim Jordan

Remember how the Biden White House was “outraged” that Facebook didn’t censor a meme?

@Jim_Jordan - Rep. Jim Jordan

What did the Biden White House want removed? A meme. That’s right, even memes weren’t spared from the Biden White House’s censorship efforts.

@Jim_Jordan - Rep. Jim Jordan

In that same April 2021 “hour long call,” Biden White House Senior Advisor Andy Slavitt warned Nick Clegg, Facebook’s President for Global Affairs, that “YT has made significant advances to remove content leading to vaccine hesitancy whilst [Facebook has] lagged behind.”

@Jim_Jordan - Rep. Jim Jordan

That’s right. The Biden Admin praised Google for censoring Americans while criticizing Facebook. In an internal Facebook email obtained by @JudiciaryGOP & @Weaponization, Clegg described his call with the Biden White House regarding censorship.

@Jim_Jordan - Rep. Jim Jordan

The email reveals that Nick Clegg—former UK Deputy Prime Minister—tried to reason with the Biden White House that, under America’s First Amendment, “removing content like that would represent a significant incursion into traditional boundaries of free expression in the US.”

@Jim_Jordan - Rep. Jim Jordan

But the Biden White House was unmoved, and the response to Facebook was clear: you need to be like Google and YouTube and censor more.

@Jim_Jordan - Rep. Jim Jordan

In response to the White House’s demands, Clegg asked his colleagues at Facebook to check whether the content is available on YouTube because the White House’s “assumption is that [YouTube] would never accept something like this.”

@Jim_Jordan - Rep. Jim Jordan

But why did Facebook and Google/YouTube relent to the White House’s pressure? Because the companies had other policy priorities that they feared the White House could use as leverage against them.

@Jim_Jordan - Rep. Jim Jordan

Facebook executives warned that they had “bigger fish to fry.”

@Jim_Jordan - Rep. Jim Jordan

Meanwhile, the Google/YouTube Gov’t Affairs team cautioned that they were “seek[ing] to work closely with [the Biden] administration on multiple policy fronts.”

@Jim_Jordan - Rep. Jim Jordan

And so the gatekeepers of the modern town square relented—they censored Americans’ true speech and even jokes—all to appease the censors in the Biden White House.

@Jim_Jordan - Rep. Jim Jordan

While the Biden @WhiteHouse is trying to obstruct our investigation and hide its role in censoring Americans, the investigation by the @JudiciaryGOP and @Weaponization continues to make progress.

@Jim_Jordan - Rep. Jim Jordan

Yesterday, we issued deposition subpoenas to two senior Biden White House officials, Rob Flaherty and Andy Slavitt, who were central to communicating the Biden White House’s censorship demands. https://nypost.com/2023/11/30/news/jim-jordan-subpoenas-former-wh-censorship-chief-rob-flaherty-ahead-of-landmark-supreme-court-case/

Jim Jordan subpoenas ex-White House censorship chief Rob Flaherty over ‘constitutionally protected’ expression Jordan says the deposition will focus on the "White House’s demands to censor true information, memes, satire, and other constitutionally protected forms of expression." nypost.com

@Jim_Jordan - Rep. Jim Jordan

Stay tuned...

Saved - February 6, 2024 at 12:38 PM
reSee.it AI Summary
Amazon staff felt pressure from the White House to censor "anti-vax books." Emails show that Amazon yielded to this pressure. Andrew Slavitt, a senior adviser on the White House's COVID-19 response team, expressed concern about misinformation on Amazon. Amazon staff acknowledged the sensitivity of taking action against vaccine-skeptical books. Despite initial resistance, Amazon ultimately enabled a "Do Not Promote" feature for such books.

@Tyler2ONeil - Tyler O'Neil

🚨EXCLUSIVE: Amazon staff wrote about feeling "pressure from the White House" and wondered whether Biden was "asking us to remove books."📕 Emails obtained by @JudiciaryGOP show Amazon yielded to White House pressure to censor "anti-vax books." 🧵 https://dailysignal.com/2024/02/05/exclusive-amazon-bowed-white-house-pressure-suppress-books-skeptical-covid-19-vaccine/

Amazon Bowed to White House Pressure to Conceal COVID Books Amazon bowed to White House pressure to suppress books that criticized the COVID-19 vaccines, House Judiciary Committee documents show. dailysignal.com

@Tyler2ONeil - Tyler O'Neil

Andrew Slavitt, then a senior adviser on the White House's COVID-19 response team, asked, "Who can we talk to about the high levels of propaganda and misinformation and disinformation on Amazon?"‼️ https://t.co/gxdAM5BGat

@Tyler2ONeil - Tyler O'Neil

Slavitt complained to Amazon that "If you search for 'vaccines' under books📕, I see what comes up." He said what comes up "on the surface" is "concerning." https://t.co/8zXOp7ZYuy

@Tyler2ONeil - Tyler O'Neil

Amazon staff noted that taking any direct action against COVID-19 vaccine-skeptical books would be "too visible" given the firestorm Amazon was already facing for removing @RyanTAnd's book "When Harry Became Sally."😲 https://t.co/qZDL5aUwMX

@Tyler2ONeil - Tyler O'Neil

@RyanTAnd Amazon planned to push back on the White House's🏛️ pressure campaign. Talking points included: "We believe that retailers are different than social media communities" and "as a retailer, we provide our customers with access to a variety of viewpoints." https://t.co/38a1UvH8TD

@Tyler2ONeil - Tyler O'Neil

@RyanTAnd Yet ultimately, Amazon succumbed to pressure. After the 3/9/21 meeting, the company took action. "We did enable Do Not Promote for anti-vax books whose primary purpose is to persuade readers vaccines are unsafe or ineffective."‼️ https://t.co/V38W1MsmQg

Saved - February 6, 2024 at 1:03 AM
reSee.it AI Summary
Amazon banned COVID books, including those skeptical of vaccines, after pressure from the Biden administration. Internal discussions at Amazon considered removing books entirely or altering search results. Algorithm changes were made to limit promotion of certain books. (Sources: The Daily Signal, USSA New)

@MarioNawfal - Mario Nawfal

🇺🇸BREAKING: AMAZON BANNED COVID BOOKS Documents reveal Amazon suppressed books skeptical of COVID-19 vaccines after pressure from the Biden administration. The House Judiciary Committee’s "Amazon Files” revealed internal discussions at Amazon that weighed whether the White House requested to remove books entirely or just change search results. Post-meeting actions included algorithm changes not to promote certain books. Sources: The Daily Signal, USSA New

Saved - February 6, 2024 at 11:32 AM

@trscoop - ✟ Right Scoop ✟

BREAKING: Jim Jordan reveals emails that show Amazon CAVED to pressure from Biden WH to censor books https://therightscoop.com/breaking-jim-jordan-reveals-emails-that-show-amazon-caved-to-pressure-from-biden-wh-to-censor-books/

BREAKING: Jim Jordan reveals emails that show Amazon CAVED to pressure from Biden WH to censor books House Judiciary Chairman Jim Jordan has just revealed emails that show the Biden White House pressured Amazon to censor books that contained information on vaccines that they didn’t like. Ama… therightscoop.com
Saved - May 7, 2024 at 12:39 PM

@Weaponization - Weaponization Committee

🚨 #BREAKING: Weaponization Committee Exposes the Biden White House Censorship Regime in New 800 Page Report This interim report details the months-long campaign by the Biden White House to censor Americans on Facebook, Amazon, and YouTube. Read it here: https://judiciary.house.gov/sites/evo-subsites/republicans-judiciary.house.gov/files/evo-media-document/Censorship-Industrial-Complex-WH-Report_Appendix.pdf https://t.co/cbf58RMhFa

Saved - May 3, 2024 at 3:17 PM

@JudiciaryGOP - House Judiciary GOP

NEW 800 page report exposes the Biden White House censorship regime. Features internal emails and texts from Mark Zuckerberg, Amazon, and YouTube employees. Read these damning discoveries from @Weaponization here: https://judiciary.house.gov/sites/evo-subsites/republicans-judiciary.house.gov/files/evo-media-document/Censorship-Industrial-Complex-WH-Report_Appendix.pdf

Saved - May 3, 2024 at 7:53 AM
reSee.it AI Summary
Facebook executives reveal in leaked documents that the Biden White House pressured them to censor the lab leak theory. Facebook felt they were being scapegoated and had been censoring content in response to tense conversations with the administration. The company finally stopped removing content about the lab leak theory in late May 2021. These documents highlight the chilling effect of government coercion on free expression. The First Amendment is crucial for protecting our liberties.

@Jim_Jordan - Rep. Jim Jordan

THE FACEBOOK FILES PART 6 THE BIDEN WHITE HOUSE CENSORSHIP OF THE LAB LEAK THEORY 🧵 Thread:

@Jim_Jordan - Rep. Jim Jordan

On July 16, 2021, Mark Zuckerberg texted Sheryl Sandberg, Nick Clegg, and Joel Kaplan. Three of the highest ranking executives at Facebook. Could Facebook tell the world that “the [Biden] WH put pressure on us to censor the lab leak theory?" https://t.co/B1Wno3ayTW

@Jim_Jordan - Rep. Jim Jordan

Earlier that day, Joe Biden had told the world that Facebook was “killing people,” and the company was livid.

@Jim_Jordan - Rep. Jim Jordan

Nick Clegg described the Biden White House as “highly cynical and dishonest.” https://t.co/5WHqqtr21P

@Jim_Jordan - Rep. Jim Jordan

Sheryl Sandberg said they were being scapegoated because the White House was failing to meet its vaccination numbers. https://t.co/ZV4OE8gjMr

@Jim_Jordan - Rep. Jim Jordan

Facebook felt that they had been combatting alleged misinformation—aka censoring Americans—all year! https://t.co/HQxQKrwX5z

@Jim_Jordan - Rep. Jim Jordan

Since February 2021, the company had been censoring the “Wuhan lab leak theory” “in response to … tense conversations with the new [Biden] Administration.” https://t.co/lB9wg7tlDe

@Jim_Jordan - Rep. Jim Jordan

In late May 2021, Facebook finally stopped removing content about the lab leak theory, though still demoted it.

@Jim_Jordan - Rep. Jim Jordan

When Facebook employees informed Mark Zuckerberg of the reversal and why they censored the lab leak theory in the first place, Zuckerberg warned that this is what happens when the company “compromises [its] standards due to pressure from an administration.” https://t.co/qZAUfqrPxp

@Jim_Jordan - Rep. Jim Jordan

Other documents confirm this. In July 2021, Clegg asked why Facebook had been censoring the lab leak theory of COVID-19’s origins. The answer could not have been clearer: “Because we were under pressure from the administration . . . We shouldn’t have done it.” https://t.co/InrXBDXYVL

@Jim_Jordan - Rep. Jim Jordan

These documents show the CHILLING EFFECT government coercion has on free expression. Facebook knew the White House wanted them to censor, but they didn’t exactly know what or how much.

@Jim_Jordan - Rep. Jim Jordan

The First Amendment is first for a reason. Without it, we cannot enjoy our other liberties. More to come…

Saved - May 3, 2024 at 10:32 AM

@MikeBenzCyber - Mike Benz

Here are 10 flaming examples of times Facebook, YouTube & Amazon explicitly said they only passed censorship policies bc they were threatened by the Biden government https://t.co/iAkx3z9olk

@JudiciaryGOP - House Judiciary GOP

NEW 800 page report exposes the Biden White House censorship regime. Features internal emails and texts from Mark Zuckerberg, Amazon, and YouTube employees. Read these damning discoveries from @Weaponization here: https://judiciary.house.gov/sites/evo-subsites/republicans-judiciary.house.gov/files/evo-media-document/Censorship-Industrial-Complex-WH-Report_Appendix.pdf

Saved - May 3, 2024 at 3:54 PM
reSee.it AI Summary
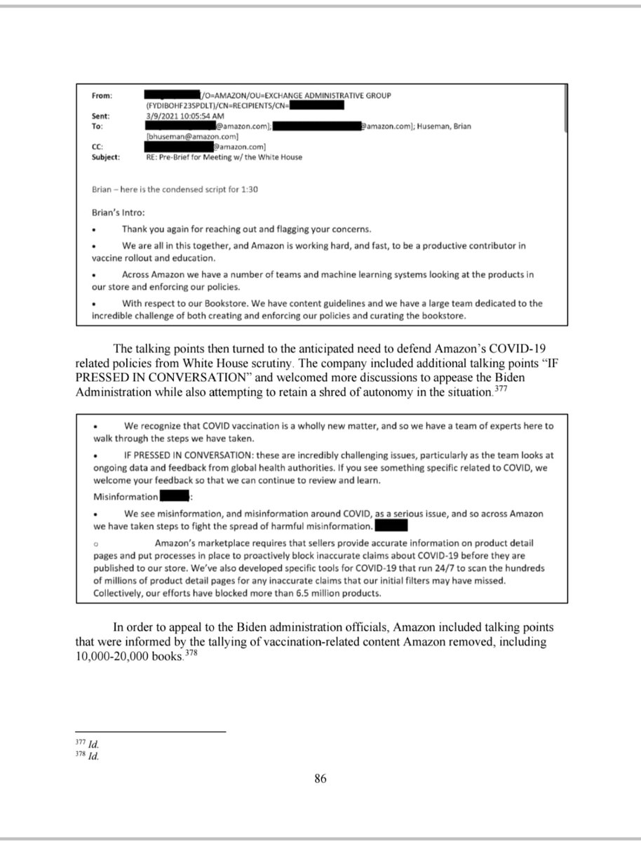
Amazon informed the White House that they removed over 10,000 books on COVID and tagged millions of products for demotion in response to demands to curb misinformation. They expressed their commitment to being a productive contributor in vaccine rollout and education.

@MarioNawfal - Mario Nawfal

🇺🇸 CENSOR FILES: AMAZON REMOVED OVER 10,000 BOOK TITLES FOR BIDEN Following increasing demands for "misinformation" to be curbed on the Amazon bookstore, Amazon wrote an email to the White House in March 2021 to inform them they had removed more than 10,000 books on COVID, and tagged millions of products for demotion. Amazon to the White House: "We are all in this together, and Amazon is working hard, and fast, to be a productive contributor in vaccine rollout and education." Source: @JudiciaryGOP

@MarioNawfal - Mario Nawfal

🇺🇸 BIDEN WANTED PERSONAL DATA ON FACEBOOK "MISINFORMATION" WRITERS After the administration demanded Facebook censor prominent COVID skeptics, such as Tucker Carlson and Tomi Lahren, in April 2021, it went on to demand they share more information with them regarding who was behind the anti-Vax posts on the platform. Digital Director of the White House, Rob Flaherty in an email to Facebook: "What are the things driving hesitancy on your platform? When are you intervening? How are you measuring success? I'm doubting that you are telling us everything." Source: @JudiciaryGOP

Saved - June 21, 2024 at 3:32 PM
reSee.it AI Summary
Amazon censored books critical of Big Pharma and children's books due to pressure from the Biden administration. Internal emails revealed that Amazon created a "Do Not Promote" class for anti-vax books. The Biden White House's pressure led to the censorship of children's books. Parents' books and books reviewing scientific papers were also targeted. Amazon's censorship campaign extended beyond these 43 books. This government pressure constitutes unconstitutional censorship. The investigation will continue to address the Biden administration's censorship regime.

@Jim_Jordan - Rep. Jim Jordan

THE AMAZON FILES PART 3 – AMAZON’S CENSORED BOOKS LIST We knew that @Amazon censored books because of pressure from the Biden @WhiteHouse. Now we know which books: --Children’s Books --Books for Parents --Books critical of Big Pharma 🧵 Thread:

@Jim_Jordan - Rep. Jim Jordan

.@JudiciaryGOP and @Weaponization obtained internal Amazon documents showing that the urgent “impetus” for Amazon censoring books in March 2021 was “criticism from the Biden administration.” To censor the books, Amazon created a “new [Do Not Promote] class for anti-vax books.” https://t.co/gM0VMYJ1qy

@Jim_Jordan - Rep. Jim Jordan

Internal emails reveal that Amazon initially added 43 books to its newly created “Do Not Promote” class of allegedly anti-vaccine books. These pro-censorship changes were being made “due to criticism from the Biden people.” https://t.co/495klI0Djz

@Jim_Jordan - Rep. Jim Jordan

In response to a subpoena from @JudiciaryGOP, @Amazon revealed the 43 book titles it censored because of the Biden White House’s pressure. Whether you love or hate the books on this list, no bookstore should be censoring books because of government pressure. https://t.co/64PGF1fxJU

@Jim_Jordan - Rep. Jim Jordan

The Biden White House’s pressure led Amazon to censor CHILDREN’S BOOKS. That’s right. Picture books. For children.

@Jim_Jordan - Rep. Jim Jordan

Before COVID, a children’s book author dared to draft a book for unvaccinated children facing discrimination, “especially in California or New York.” The author said the book “promotes love, understanding, and kindness to everyone.” Biden and Amazon preach "tolerance." Right? https://t.co/9ZoCZqKeDv

@Jim_Jordan - Rep. Jim Jordan

The children’s book said the vaccinated & unvaccinated can be friends. Instead of censoring it, Amazon should have sent the book to Fauci, @GavinNewsom, and @JoeBiden. Remember when they said everyone had to comply with their made-up rules and vax mandates or lose their jobs? https://t.co/32rkxBaqnm

@Jim_Jordan - Rep. Jim Jordan

Top-selling books for parents also were targeted. There is nothing the Biden Admin and the elites hate more than parents making their own decisions about their children’s education, health, and values. https://t.co/YghMICFqlx

@Jim_Jordan - Rep. Jim Jordan

And if these efforts weren’t enough to effectively deamplify opposing viewpoints, Amazon also censored books reviewing scientific papers. The book also had the audacity to address whether Big Pharma’s funding of research has the potential to create conflicts of interest. https://t.co/U1UiJYwpLP

@Jim_Jordan - Rep. Jim Jordan

Under the guise of combatting “anti-vaccine” misinformation, Amazon censored everything from picture books for children to books criticizing Big Pharma.

@Jim_Jordan - Rep. Jim Jordan

These 43 books are only the tip of the iceberg. Amazon, YouTube, and Facebook each caved to the Biden White House’s censorship campaign. https://t.co/Zw2juwoNow

@JudiciaryGOP - House Judiciary GOP 🇺🇸🇺🇸🇺🇸

NEW 800 page report exposes the Biden White House censorship regime. Features internal emails and texts from Mark Zuckerberg, Amazon, and YouTube employees. Read these damning discoveries from @Weaponization here: https://judiciary.house.gov/sites/evo-subsites/republicans-judiciary.house.gov/files/evo-media-document/Censorship-Industrial-Complex-WH-Report_Appendix.pdf

@Jim_Jordan - Rep. Jim Jordan

Don’t let the Biden Admin tell you that their censorship campaign was about concerns of misinformation going viral on social media. They were going after BOOKS too. This is—and always has been—about suppressing disfavored views, not purported challenges of new technologies.

@Jim_Jordan - Rep. Jim Jordan

This is unconstitutional government censorship, full stop. Whether you agree with this speech or not, free speech is free speech and the Biden Admin pressured private companies to censor constitutionally protected speech.

@Jim_Jordan - Rep. Jim Jordan

.@JudiciaryGOP and @Weaponization will continue this critical investigative work to further inform legislative solutions to dismantle the Biden Administration’s censorship regime.

Saved - June 24, 2024 at 9:21 AM

@DiedSuddenly_ - DiedSuddenly

The Biden Administration quietly asked Amazon to hide books that may have revealed that they were poisoning people with the Covid vaccine. Safe and effective! https://t.co/HFZYEoYnY2

Saved - July 29, 2024 at 11:18 PM
reSee.it AI Summary
I shared my frustration about Amazon deleting my book on Kamala Harris after they claimed the cover was “not correct.” I changed the cover to a simple text design, but they still denied my requests to sell it. The book, titled “Kamala Harris & The Future of America,” has been a project of mine for four years. I encourage others to support my work by purchasing it through the link provided. Additionally, the PDF version is available online for those interested.

@VigilantFox - The Vigilant Fox 🦊

If you thought Google's censorship was bad, wait till you hear what Amazon did. The retail giant DELETED a four-year-old book about Kamala Harris off its website. They originally told the author, @RealCalebMaupin, that the cover was “not correct.” But guess what happened? Caleb changed to cover to something ultra-generic, just text with no images of Kamala Harris, and Amazon still DENIED Caleb's requests to sell the book on their website. The book is called “Kamala Harris & The Future of America.” Support Caleb and buy it in the comment below.

Video Transcript AI Summary
I wrote a book in 2020 that got censored when Kamala Harris was named the Democratic presumptive nominee. Amazon suddenly removed it, claiming an issue with the cover that had been fine for 4 years. Despite good reviews, my book is now banned from the site. It seems like censorship, especially since it coincided with Harris's nomination. The book used to have 4.5 stars on Amazon, but now it's unavailable. Translation: My book, published in 2020, was censored by Amazon when Kamala Harris was named the Democratic presumptive nominee. The cover issue led to its removal from the site, despite positive reviews. This ban appears to be censorship, particularly given the timing of Harris's nomination. The book previously had a 4.5-star rating on Amazon, but it is now unavailable.
Full Transcript
Speaker 0: The reason why we have you on today is because you wrote this book, and it was originally published in 2020. But guess what? It got censored. So when she was named the Democratic presumptive nominee, what hap you tell people what happened. Speaker 1: I wrote this book 4 years ago in 2020. September of 2020, it was published. It created a little bit of a buzz. It was, you know, I got reviews in British newspapers, newspapers in India, gave some talks on it, spoke to some web conferences. Not a big deal. Sold a few 100 copies. You know, it was just something I did. And it's been online ever since. It's been selling, and there you go. And so I figured, hey. With Kamala being named the presumptive nominee, might see a slight uptick in sales. Well, Monday at 7:26 PM local time, I get an email from Amazon. And it's interesting because, you know, this is the book, and and if anyone had it beforehand, it's a collector's item now because they said there was something with the cover that was not correct. And they said I had multiple options. One of which was to just change the cover. And so I thought, well, jeez, I don't wanna miss this moment. This is the moment where Emmons talking about Kamala. So I adjusted the cover, put a completely generic bland cover, and reuploaded to Amazon. Denied. Tried it again. Denied. Tried it again. Denied. They said the issue was the cover, which has been fine for the past 4 years, but now, it's pretty clear this has been removed from Amazon. It is not allowed to be on Amazon.com despite being on there for 4 years. And so it appears that, my book is not permitted to be on the world's largest bookseller. This ultra monopoly, has removed my book, and it just so happens to come, the day that Kamala Harris is named as the presumptive nominee. And, I think it looks like censorship to the world. It's got pretty good reviews. Speaker 0: So that's what it used to look like up on on Amazon there. Get 4 and a half stars. Look at that. So but now if you go there, that's what it says.

@VigilantFox - The Vigilant Fox 🦊

Kamala Harris & The Future of America: An Essay in Three Parts | By @RealCalebMaupin https://www.lulu.com/shop/caleb-maupin/kamala-harris-the-future-of-america-an-essay-in-three-parts/paperback/product-zmkjegd.html?page=1&pageSize=4

Kamala Harris & The Future of America: An Essay in Three Parts In this book, originally published in 2020, and censored in 2024 when Kamala was named the Democrat Candidate, Caleb Maupin goes over the life story and political background of a woman he considers to be the most dangerous potential US President in history. lulu.com

@VigilantFox - The Vigilant Fox 🦊

The PDF version of @RealCalebMaupin's book is also available online here: https://calebmaupin.gumroad.com/l/ndblg

Kamala Harris & The Future of America - An Essay in 3 Parts In this book, originally published in 2020, and censored in 2024 when Kamala was named the Democrat Candidate, Caleb Maupin goes over the life story and political background of a woman he considers to be the most dangerous potential US President in history. calebmaupin.gumroad.com
Saved - October 30, 2024 at 6:18 PM
reSee.it AI Summary
I discussed how the FBI confirmed Hunter Biden's laptop was real in late 2019 and worked with Big Tech to censor the New York Post's story about the Biden family's corruption before the 2020 election. The FBI warned Big Tech about a potential Russian disinformation campaign, aligning with the laptop's contents. Despite knowing the story was true, Big Tech censored it, influenced by the FBI's guidance. Internal communications revealed that they anticipated scrutiny over their actions, and this marked the beginning of increased censorship under the Biden administration.

@Jim_Jordan - Rep. Jim Jordan

HOW THE FBI “PREBUNKED” A TRUE STORY ABOUT THE BIDEN FAMILY’S CORRUPTION BEFORE THE 2020 ELECTION The FBI knew Hunter Biden’s laptop was real & worked for MONTHS to prime Big Tech to censor the @nypost story. Here’s how the FBI "prebunked" the biggest story of the election. 🧵 https://t.co/fmy0D4eouZ

@Jim_Jordan - Rep. Jim Jordan

In late 2019, the FBI obtained and secretly confirmed that the Hunter Biden laptop was real. The laptop had damning material showing the Biden family’s corrupt influence-peddling scheme. https://t.co/c24QgLrVyk

@Jim_Jordan - Rep. Jim Jordan

Just a few months later, while in possession of Hunter’s laptop, the FBI started meeting with Big Tech to warn about potential Russian disinformation ahead of the election. In total, the FBI and Big Tech met over 30 times in 2020 before the Biden family corruption story came out.

@Jim_Jordan - Rep. Jim Jordan

FBI warned Big Tech to watch for: WHO: Russians. WHAT: Hack-and-Leak operation. WHEN: October surprise. WHY: To reveal “links between the Biden family and Ukraine, including Burisma.” Internal Facebook emails a MONTH before @nypost story came out show Big Tech got specific warnings:

@Jim_Jordan - Rep. Jim Jordan

The FBI spent months establishing the who, what, when, & why behind a potential foreign hack-and-leak operation. And it just so happened to match the damning contents about Biden family corruption on Hunter Biden’s laptop—which the FBI had since late 2019. Quite the coincidence!

@Jim_Jordan - Rep. Jim Jordan

But it wasn’t a coincidence. @JudiciaryGOP & @Weaponization obtained testimony from key FBI witnesses that the FBI officials who knew the FBI had Hunter Biden’s laptop were the same ones meeting with Big Tech when Big Tech was warned of a “hack-and-leak” involving the Bidens. https://t.co/85Kg1jU5mi

@Jim_Jordan - Rep. Jim Jordan

Then, when the @nypost Biden family corruption story came out, Big Tech did what the FBI primed them to do – they censored it. Facebook demoted it for a week right before the election, and Twitter prevented anyone from sharing the link to the story. https://t.co/ImifjyHmZb

@Jim_Jordan - Rep. Jim Jordan

Shocking internal notes from a Microsoft employee from the day the @nypost story came out confirm that the FBI “tipped” Big Tech off about “this Burisma story” a “week” earlier. This was election interference, plain and simple. https://t.co/Kf877xrkNV

@Jim_Jordan - Rep. Jim Jordan

Big Tech knew this work with the FBI would affect the 2020 election. In an internal chat, Facebook employees joked that when they get called to testify about "why we influenced the 2020 election," they could “say we have been meeting for YEARS with the US gov’t to plan for it.” https://t.co/ULdS6JBKmW

@Jim_Jordan - Rep. Jim Jordan

And Facebook’s communications team didn’t fear that the press would criticize them for censoring a true story on the Biden family’s influence peddling. Why? As they joked about internally the night the story broke: “The Press is only as good to you as you are bad to Trump” https://t.co/EKWYAj4RuK

@Jim_Jordan - Rep. Jim Jordan

Internal Facebook messages obtained by @JudiciaryGOP & @Weaponization show that Big Tech employees knew their “trusted secret squirrel partners”—in the US gov’t—would give them cover for censoring the story even though they wouldn’t be able to prove that the laptop was hacked. https://t.co/mNv0Mye6vE

@Jim_Jordan - Rep. Jim Jordan

Right on cue, just five days after the @nypost story was published, 51 former intelligence community members, organized by @SecBlinken and the Biden campaign, lied to the American people, incorrectly calling the story Russian disinformation. https://t.co/pWpQd8rkZ5

@JudiciaryGOP - House Judiciary GOP 🇺🇸🇺🇸🇺🇸

#BREAKING: Testimony Reveals Secretary Blinken and the Biden Campaign Were Behind the Infamous Public Statement from Former Intel Officials on the Hunter Biden Laptop @Jim_Jordan and @RepMikeTurner reveal HUGE news here: https://t.co/bX3fpqJKPo

@Jim_Jordan - Rep. Jim Jordan

Big Tech censored the most important story of the 2020 election because the FBI spent months priming them to. Today, Big Tech executives, like Mark Zuckerberg @finkd, now admit that it was wrong to censor the @nypost story, and point the finger at the FBI. https://t.co/m2KqiWcvR8

@JudiciaryGOP - House Judiciary GOP 🇺🇸🇺🇸🇺🇸

Mark Zuckerberg just admitted three things: 1. Biden-Harris Admin "pressured" Facebook to censor Americans. 2. Facebook censored Americans. 3. Facebook throttled the Hunter Biden laptop story. Big win for free speech. https://x.com/JudiciaryGOP/status/1828201780544504064/photo/1

@Jim_Jordan - Rep. Jim Jordan

But Big Tech knew better at the time. Even though the story was obviously not Russian disinformation, Big Tech continued to censor it because they knew that’s what the Biden-Harris Administration would want.

@Jim_Jordan - Rep. Jim Jordan

As Facebook’s senior leadership debated about censoring the @nypost story, Nick Clegg, VP of Global Affairs, explained why they had to continue to censor: “Our calls on this [decision] could colour the way an incoming Biden administration views us more than almost anything else” https://t.co/rUUm1Ho3zq

@Jim_Jordan - Rep. Jim Jordan

This was just the beginning of Big Tech’s censorship at the Biden-Harris Administration’s behest. A few months later, Facebook, YouTube, and Amazon began caving to the Biden-Harris White House’s pressure to censor American speech, including true information and jokes. https://t.co/FJDJ5Pk4OZ

@JudiciaryGOP - House Judiciary GOP 🇺🇸🇺🇸🇺🇸

NEW 800 page report exposes the Biden White House censorship regime. Features internal emails and texts from Mark Zuckerberg, Amazon, and YouTube employees. Read these damning discoveries from @Weaponization here: https://judiciary.house.gov/sites/evo-subsites/republicans-judiciary.house.gov/files/evo-media-document/Censorship-Industrial-Complex-WH-Report_Appendix.pdf

@Jim_Jordan - Rep. Jim Jordan

To learn more about the FBI’s interference in the 2020 election and what might be next, click the link below to read our latest report. https://judiciary.house.gov/sites/evo-subsites/republicans-judiciary.house.gov/files/evo-media-document/FBI-Election-Interference-Report-FINAL-w-appendix--10-30-24.pdf

Saved - March 25, 2025 at 7:43 AM
reSee.it AI Summary
The Left has built a vast censorship enterprise over the past decade, leveraging a coalition of NGOs, tech companies, and government agencies to suppress dissent, particularly targeting conservative voices. The Biden administration intensified this effort, creating a system where former officials and private groups collaborate closely. This includes funding organizations that blacklist conservative media and pressure tech platforms to alter their algorithms. While some government entities have been dismantled under President Trump, many private censorship groups remain active, and the investigation into their operations continues.

@Eric_Schmitt - Eric Schmitt

The Left spent the past decade building a vast censorship enterprise. A shadowy network of NGOs, tech groups and governments working to censor the Left's enemies—not just in America, but across the West. Over the next four years, the GOP must expose + dismantle this system. 🧵 https://t.co/XH2EkdGaoM

@Eric_Schmitt - Eric Schmitt

The censorship-industrial complex wasn't built overnight. It's been festering for years. But the Biden administration mobilized an unholy alliance of government power, taxpayer dollars, NGOs and Big Tech companies to build it into a global censorship powerhouse.

@Eric_Schmitt - Eric Schmitt

Seemingly every agency was a partner in building this system: FBI, CIA, NSA, DHS, State Department, Department of Education, the National Science Foundation, USAID—even FEMA. Through grants and partnerships, these agencies funneled countless tax dollars to censorship groups. https://t.co/GahTDypN0Z

@Eric_Schmitt - Eric Schmitt

What you have to understand is that these groups operate as one cohesive class. There's a revolving door between the "public" and "private" spheres. Former government officials populate the advisory boards of these "disinformation" groups—and vice versa. https://t.co/jspbxJHAIW

@shellenberger - Michael Shellenberger

The groups behind the X/Twitter ad boycott say they're "nongovernmental," but they're not. They're funded by governments, work with intel agencies, and/or were caught spying for governments. Congress & UK Parliament must investigate this government-backed assault on free speech. https://t.co/bl3T3zwSv7

@Eric_Schmitt - Eric Schmitt

Biden's transition team was STACKED with tech insiders. They staffed the entire executive branch—State, Treasury, EPA, OMB, etc. Many of them were Obama alumni. When Obama left office, they went to work in tech. When Biden's presidency began, they transitioned right back in. https://t.co/JLJxbD0amy

@Eric_Schmitt - Eric Schmitt

So it should come as no surprise that these worlds are in constant communication with one another. Remember Jen Psaki boasting that they were "flagging problematic posts" for Facebook? These weren't independent actors. Under the Biden administration, it was one system. https://t.co/m2HyXSkZo4

@Eric_Schmitt - Eric Schmitt

And Biden officials didn't just "flag" content. They pushed platforms to transform their algorithms to suppress ideas they disliked. In an email, Biden's Digital Director told YouTube that "this is a concern that is shared at the highest (and I mean highest) levels of the WH." https://t.co/ygBLdqFIuX

@Eric_Schmitt - Eric Schmitt

Those are just a few minor examples of a trend that accelerated over the past decade: Western governments creating, funding or coordinating with powerful outside groups to clamp down on (mostly right-wing) dissent. Just look at the State Department's "Global Engagement Center." https://t.co/ea8PHzxanq

@Eric_Schmitt - Eric Schmitt

Between 2020 and 2021, two State Department-backed entities—the Global Engagement Center (GEC) and the National Endowment for Democracy—funneled $665,000 to the Global Disinformation Index (GDI), a British nonprofit which creates secretive blacklists of conservative media. https://t.co/ApmALKOYPr

@Eric_Schmitt - Eric Schmitt

GDI's blacklists were stealthily fed to advertising companies to financially cripple targeted news outlets. The top 10 outlets on its "disinformation" list are all conservative. GDI's CEO openly boasted that this had "a significant impact on" the outlets' "advertising revenue." https://t.co/k37XXgyPVF

@Eric_Schmitt - Eric Schmitt

The GEC was created to combat FOREIGN propaganda aimed at undermining US security. But instead, it was turned inwards on our own citizens. We've seen this stuff happen across our intelligence and security agencies. I fought to shutter the GEC—for good. https://t.co/Zfmi7fDlIU

@SenEricSchmitt - Senator Eric Schmitt

The Global Engagement Center must be excluded from any subsequent piece of legislation for the remainder of the 118th Congress. The American people deserve to know their First Amendment rights are being protected. https://t.co/dxU8V5clAz

@Eric_Schmitt - Eric Schmitt

During the 2020 election—under President Trump's first term—the Department of Homeland Security's CISA formed a "counter-disinformation" coalition with powerful outside censorship groups. Here's what that network did during that election cycle alone, per @FFO_Freedom's analysis: https://t.co/XbeAfYln84

@Eric_Schmitt - Eric Schmitt

This system operates across the borders of the West—giving it yet another way around our Constitution. When their censorship machine faced legal challenges in the US, Biden officials and their nonprofit allies began using foreign censorship laws to crack down on American speech. https://t.co/pvZ3tMoSAt

@Eric_Schmitt - Eric Schmitt

At least 23 US-funded NGOs, nonprofits and "disinformation" groups have received nearly $15.5 million of your tax dollars to help enforce the EU's draconian new Digital Services Act—which levies hefty fines on tech platforms (including US platforms) for allowing "disinformation." https://t.co/mCcBfjMSiH

@Eric_Schmitt - Eric Schmitt

In other words: Using these groups, our government was helping European bureaucrats bully US tech companies into censoring American speech. That includes groups like NewsGuard—whose advisory board has boasted the former heads of the CIA and NSA, DHS, and the GEC, respectively. https://t.co/WQekCCwPVl

@Eric_Schmitt - Eric Schmitt

To sum things up: American and European bureaucrats, along with their friends in the NGOs and the tech companies, have been working together to wage a war of censorship and suppression against their own citizens across the West.

@Eric_Schmitt - Eric Schmitt

I fought this censorship-industrial complex as Attorney General of Missouri, where I sued the Biden admin for pressuring tech platforms into censoring conservatives—and took them to the Supreme Court. Now it's time to work with President Trump to end this once and for all. https://t.co/hUPYmxdyX2

@Eric_Schmitt - Eric Schmitt

Thankfully, President Trump is dismantling the government arm of this regime. The State Department's Global Engagement Center has been shut down. Funding streams for "disinformation" groups have been cut. But many of the "private" censorship NGOs are still operating as we speak. https://t.co/jX9d5Nkri2

@Eric_Schmitt - Eric Schmitt

The stories I've shared in this thread are just the tip of the iceberg. Stay tuned. This fight is just getting started.

@Eric_Schmitt - Eric Schmitt

We’re going to continue this NGO investigation. I discussed today with @dbongino: https://t.co/XY7a1DdVm2

Video Transcript AI Summary
Government officials allegedly coerced Facebook and Twitter to censor posts via threatening emails, according to the transcript. A Biden White House official, Rob Flaherty, purportedly sent explicit threats to Facebook demanding content removal. High-ranking government officials had a special portal to flag content to senior executives at Instagram, Facebook, and Twitter, outsourcing censorship. Universities like Stanford and the University of Washington were allegedly used to flag "wrong think," which then led to government pressure on social media companies. The speaker asserts this network, like the "story of COVID," was about power and control, with entities exceeding their authority. The OSHA vaccine mandate is cited as an example of an agency overstepping its original purpose.
Full Transcript
Speaker 0: Some of the coercion that was coming from government officials, to Facebook and and and Twitter now at the time, now acts pre Elon. We have the emails. What was his name? Rob Flaherty. He was a Biden White House official who was sending I'm not just gonna say implicitly threatening emails, explicitly threatening emails to Facebook, basically saying, hey. Be a real shame, you know, if your place burned down, if you don't take this post down. I mean, it was almost like organized crime mob like tactics. You can read the emails yourself, folks. They're all public, but that's what you were dealing with in this case. Speaker 1: And they had a special portal, Dan, that a special portal between high ranking government officials and senior executives at Instagram and Facebook and Twitter, where they were flagging things, they were using the full force of the government to to outsource their censorship. And, you know, talking about the NGOs, and we're gonna I had a I had a thread, if anybody wants to go on X today, a thread laying some of this stuff out. We're gonna continue this NGO investigation because even in that case, we discovered that that universities like Stanford and the University of Washington were being used, to to flag some of this, what they believed was wrong think, and then the government would put pressure on social media companies. So this was a vast network that was all about much like the story of COVID, really, was all about power and control. That's what this was. And people who never should have had it in the first place had way too much of it, and they were willing to exercise it in ways that were unimaginable. Think about the OSHA vaccine mandate, Dan. Like, you know Yeah. That was a that was an agency created to make sure forklifts beeped when they back up, not force a medical procedure on a hundred million people.
Saved - April 6, 2025 at 1:58 PM
reSee.it AI Summary
I am urging Director of National Intelligence Tulsi Gabbard to declassify the Biden Administration’s classified domestic surveillance and censorship strategy. My investigation revealed shocking details about how the administration has used "domestic terrorism" to justify censorship against political opponents. We've uncovered plans to monitor dissent, label pro-life mothers as radical suspects, and coordinate with tech companies to suppress free speech. I will continue to fight against the weaponization of intelligence services targeting conservatives and restore trust in our government.

@America1stLegal - America First Legal

/1🚨NEW: AFL is urging Director of National Intelligence Tulsi Gabbard to declassify and release the Biden Admin’s classified domestic surveillance and censorship strategy. The Biden Admin’s weaponization of the intelligence apparatus against Americans must be fully exposed.

@America1stLegal - America First Legal

/2 In June 2021, the Biden Admin released an unprecedented 20-page “strategy” for a “whole-of-society approach” to “countering domestic terrorism.”

@America1stLegal - America First Legal

/3 AFL launched an investigation into the Biden Admin’s censorship plan — and the revelations are shocking. AFL’s investigation exposed how “domestic terrorism” was used to justify the administration’s censorship agenda targeting its political and social opponents.

@America1stLegal - America First Legal

America First Legal vows to shed light on this unholy marriage and fight for the privacy and the constitutional rights of all Americans. https://www.aflegal.org/news/afl-files-foia-demanding-answers-about-the-biden-administrations-domestic-surveillance-of-americans-and-collaboration-with-big-tech-companies

AFL Files FOIA Demanding Answers About the Biden Administration’s Domestic Surveillance of Americans and Collaboration with Big Tech Companies Washington, D.C. — Yesterday, America First Legal filed Freedom of Information Act (FOIA) requests with the Department of Justice, the Department of Homeland Security, the […] aflegal.org

@America1stLegal - America First Legal

/4 As part of the #DeepStateDiaries, AFL exposed how the Biden Admin had drafted a classified implementation plan — described by one official as “crisp and clear,” with “defined responsibilities” across the intelligence community.

@America1stLegal - America First Legal

/1🚨EXCLUSIVE🚨 We obtained new docs from the Brennan-Clapper DHS intel group revealing the Biden admin developed a classified plan to expand monitoring of political dissent. #DeepStateDiaries PART 5:

@America1stLegal - America First Legal

/5 This request is another step in AFL’s ongoing efforts to protect the American people from the Deep State and expose how the Biden Admin weaponized intelligence services and law enforcement against: ➡️ Conservatives ➡️ Military veterans  ➡️ People of faith ➡️ President Trump

@America1stLegal - America First Legal

/1🚨#DeepStateDiaries RECAP🚨 Today, we are publicly releasing all of the documents from the Brennan-Clapper intel committee that we obtained in litigation. These docs further reveal the whole-of-government approach the Biden admin took to silence political dissent. 🧵RECAP:

@America1stLegal - America First Legal

/6 Here’s what AFL has already exposed…

@America1stLegal - America First Legal

/7 The Biden Admin coordinated with tech companies to censor so-called “misinformation.” AFL’s findings were included in amended pleadings in Missouri v. Biden and served as the basis for significant factual discovery in the case and subsequent congressional investigations.

@America1stLegal - America First Legal

/1 🚨💉THREAD: AFL lawsuit has revealed shocking documents from the CDC, revealing government collusion with Big Tech to censor free speech & promote Biden Admin propaganda. Twitter & CDC collusion⤵️: CDC sends Twitter officials a chart of tweets it deemed to be”misinformation”

@America1stLegal - America First Legal

/8 The Biden Admin labeled “pro-life mothers” as potential “radicalization suspects.”

@America1stLegal - America First Legal

We obtained stunning documents from the Office of Targeted Violence and Terrorism Prevention at DHS. They’re describing pro-life Americans as being “radicalization suspects.” You won’t want to miss these… 👀

@JustTheNews - Just the News

DHS 'bystander' training singles out pro-lifers, government critics as 'radicalization' suspects https://justthenews.com/government/federal-agencies/dhs-bystander-training-singles-out-pro-lifers-government-critics?utm_source=mux&utm_medium=social

DHS 'bystander' training singles out pro-lifers, government critics as 'radicalization' suspects Clergy, spouses, bartenders should keep tabs on "middle-aged" women who are "increasingly fervent" against abortion, white men who rant about government online and go to rallies, domestic terrorism materials say. justthenews.com

@America1stLegal - America First Legal

/9 The Biden Admin blamed “Trump supporters” for “most of the domestic terrorism threat.”

@America1stLegal - America First Legal

/1🚨EXCLUSIVE🚨 Internal docs from Biden’s DHS show their plans to target Trump supports as domestic extremists. The Brennan-Clapper intel group discussed how “most of the domestic terrorism threat now comes from supporters of the former president.” #DeepStateDiaries PART 2:

@America1stLegal - America First Legal

/10 ​​The Biden Admin ​​planned efforts to condition Americans to “get into local communities” in “non-threatening” ways and report their neighbors to the federal government.

@America1stLegal - America First Legal

/1🚨EXCLUSIVE🚨 New docs reveal DHS intel group proposed: ✔️Americans should report their neighbors to the feds ✔️Reclassifying political dissent under the guise of “public health” so that “mothers and teachers” feel comfortable coming forward #DeepStateDiaries PART 1:

@America1stLegal - America First Legal

/11 The Biden Admin coordinated the Mar-a-Lago raid — then told Americans it was simply “routine law enforcement” — and used people speaking out against the raid as a basis to justify spying on them.

@America1stLegal - America First Legal

/1🚨EXCLUSIVE🚨 Docs show Biden’s DHS intel group used Jan. 6 & the Mar-a-Lago raid to justify expanding surveillance of political dissent. The group advocated for “collection based on speech” — as in spying on Americans for criticizing their gov’t. #DeepStateDiaries PART 3:

@America1stLegal - America First Legal

/12 The Biden Admin ran classified censorship strategy calls out of the White House Situation Room.

@America1stLegal - America First Legal

5/ The CDC used the White House Situation Room and the National Security Council’s classified systems to coordinate the censorship of online discussions relating to COVID-19.

@America1stLegal - America First Legal

/14 Second, AFL’s lawsuit against the CDC revealed extensive White House involvement in censorship efforts, including the use of the National Security Council’s classified systems and the White House Situation Room, to coordinate censorship of online discussions relating to

@America1stLegal - America First Legal

/13 The Biden Admin coordinated with the UK government to censor Americans.

@America1stLegal - America First Legal

/1🚨🗣️EXCLUSIVE — FOREIGN COLLUSION TO CENSOR AMERICAN SPEECH: New docs from litigation against the CDC reveal the Biden-Harris White House hosted the “Counter Disinformation Unit” from the U.K. gov’t in 2021 to learn about their recommendations to censor speech. 🧵THREAD:

@America1stLegal - America First Legal

/14 AFL urges DNI Gabbard to declassify and release the Biden Admin’s classified surveillance and censorship strategy plan in order to restore trust and confidence in the federal government.  The Biden Admin’s weaponization of national security authorities must be fully exposed.

@America1stLegal - America First Legal

/15 AFL will keep fighting to protect Americans from the Deep State and combat the left’s weaponization of our intelligence services and law enforcement against political and social conservatives, military veterans, people of faith, and President Trump.

@America1stLegal - America First Legal

/16 Read more here: https://aflegal.org/america-first-legal-asks-trump-administration-to-declassify-and-release-the-biden-administrations-classified-domestic-surveillance-strategy-detailing-plans-to-spy-on-and-censor-americans/

America First Legal Urges the Trump Administration to Declassify and Release the Biden Administration’s Classified Domestic Surveillance and Censorship Strategy WASHINGTON, D.C. – This week, America First Legal (AFL) sent a letter to Director of National Intelligence Tulsi Gabbard requesting that she initiate a declassification […] aflegal.org
Saved - September 23, 2025 at 7:45 PM
reSee.it AI Summary
I’m excited to share that Google has committed to allowing all creators previously banned from YouTube for political speech violations to return. YouTube has acknowledged that the Biden Administration's pressure to censor was "unacceptable and wrong." They are rolling back censorship policies related to political speech, including COVID and elections, and promise not to use third-party fact-checkers in the future. This is a significant victory for free speech and accountability in Big Tech, and we will continue to advocate for these principles.

@Jim_Jordan - Rep. Jim Jordan

🚨BREAKING: Due to our oversight efforts, GOOGLE commits to offer ALL creators previously kicked off YouTube due to political speech violations to return to the platform. BUT THAT’S NOT ALL. Thread: https://t.co/60SsoCK2Yk

@Jim_Jordan - Rep. Jim Jordan

YouTube also: -Admits the Biden Admin censorship pressure was “unacceptable and wrong” -Confirms that the Biden Admin wanted Americans censored for speech that did not violate YouTube’s policies -Details when YouTube began rolling back its censorship policies on political speech after @JudiciaryGOP began its investigation -States that public debate should NEVER come at the expense of relying on “authorities” -Promises to NEVER use third-party “fact-checkers” -Warns that Europe’s censorship laws target AMERICAN companies and threaten AMERICAN speech

@Jim_Jordan - Rep. Jim Jordan

Over the past few years, we have uncovered massive scandals relating to Big Tech censorship. https://t.co/aUgWllkPUv

@Jim_Jordan - Rep. Jim Jordan

THE FACEBOOK FILES, PART 1: SMOKING-GUN DOCS PROVE FACEBOOK CENSORED AMERICANS BECAUSE OF BIDEN WHITE HOUSE PRESSURE 🧵 Thread:

@Jim_Jordan - Rep. Jim Jordan

During the Biden-Harris years, under White House pressure, YouTube changed its policies to censor political debate on COVID and elections. TODAY, YouTube admits that the censorship pressure from Biden Admin was “unacceptable and wrong.” https://t.co/dGfJK0T0oD

@Jim_Jordan - Rep. Jim Jordan

Now, to make amends to the American people, and because of our work, YouTube is rolling back its censorship policies on political speech, including topics such as COVID and elections. https://t.co/ni42Ze9dR4

@Jim_Jordan - Rep. Jim Jordan

What does that mean? Whether you were an established YouTube presence with a massive following like @dbongino or just were starting out to express political views there, YOU will have an opportunity to come back onto the platform if you were censored for engaging in political speech.

@Jim_Jordan - Rep. Jim Jordan

This is another victory in the fight against censorship. In Aug 2024, Meta CEO Mark Zuckerberg wrote the Committee a letter admitting: 1. Biden Admin “pressured” Facebook to censor Americans. 2. Facebook censored Americans. 3. Facebook throttled the Hunter Biden laptop story. https://t.co/m2KqiWbY1A

@JudiciaryGOP - House Judiciary GOP 🇺🇸🇺🇸🇺🇸

Mark Zuckerberg just admitted three things: 1. Biden-Harris Admin "pressured" Facebook to censor Americans. 2. Facebook censored Americans. 3. Facebook throttled the Hunter Biden laptop story. Big win for free speech.

@Jim_Jordan - Rep. Jim Jordan

Even as Meta admitted the Biden-Harris censorship was wrong, others in Big Tech were reluctant to go on the record. Now Google is acknowledging, for the first time, that it too faced censorship pressure from the Biden White House and that pressure was “unacceptable and wrong.”

@Jim_Jordan - Rep. Jim Jordan

But that’s not all. YouTube is making changes to its platform to prevent future censorship. YouTube is committing to the American people that it will NEVER use outside so-called “fact-checkers” to censor speech. No more telling Americans what to believe and not believe. https://t.co/MFIk0NIAiV

@Jim_Jordan - Rep. Jim Jordan

YouTube also is trying out Community Notes. @elonmusk was ahead of the curve. Meta followed suit. And now YouTube. https://t.co/1IHDqOKREY

@Jim_Jordan - Rep. Jim Jordan

And YouTube confirms that Europe is targeting American speech and innovation. Here it admits that European social-media laws place a “disproportionate regulatory burden on American companies.” https://t.co/bbuVnVseqJ

@Jim_Jordan - Rep. Jim Jordan

YouTube warns that Europe could force companies to remove LAWFUL social-media content and could risk freedom of expression “within and OUTSIDE of the EU.” That’s right. Europe wants to censor your online speech even if you aren’t in Europe! https://t.co/aRBvErnQ61

@Jim_Jordan - Rep. Jim Jordan

Google and YouTube credit @JudiciaryGOP for bringing transparency of and accountability for Big Tech’s censorship. We will continue to hold Big Tech accountable. https://t.co/lJiEalQZeE

@Jim_Jordan - Rep. Jim Jordan

All the above are MASSIVE wins for the American people, the First Amendment, and freedom. We won’t stop fighting to protect free speech.

Saved - August 3, 2023 at 9:32 PM

@Jim_Jordan - Rep. Jim Jordan

THE FACEBOOK FILES PART 3. Newly subpoenaed internal notes of meetings between Facebook executives and Biden Admin officials reveal more about the lengths the Biden White House wanted to go to control true speech on Facebook. Thread:

New Facebook Files reveal lengths WH was willing to go to try to control COVID narrative on social media Biden administration officials had several conversations with Facebook employees about possibly getting special access to tools that could target users over posts about COVID-19. foxnews.com
View Full Interactive Feed