TruthArchive.ai - Related Post Feed

Saved - January 13, 2025 at 4:21 PM

@TheBabylonBee - The Babylon Bee

EXCLUSIVE: We've Obtained Trump's Jan. 6 Visitor Logs! ⏩ https://youtu.be/KeGuB6qogTU https://t.co/iQwHUmKeAF

Video Transcript AI Summary
The January 6th committee has subpoenaed Trump's White House visitor logs, which remain unreleased. Insider sources revealed some names from the logs, including a computer server repair woman, a hand enlargement surgeon, and various food deliveries from McDonald's. Notable visitors mentioned are Kyle Rittenhouse, Ted Nugent, and a humorous reference to three Marco Rubios in a trench coat. Joe Biden reportedly knocked on the door asking about Obama, while Mike Pence was denied entry. Other names included John F. Kennedy Jr. and the ghost of AOC. Mike Lindell was also listed, notably without a sign-out. In an unrelated note, the Bidens reported strange noises in the White House, hinting at Trump’s potential reinstatement.
Full Transcript
Speaker 0: The January 6th committee has subpoenaed Trump's White House visitor logs in an effort to continue talking about a guy who has been out of office for well over a year. Speaker 1: The records have not yet been made available to the public. However, a reliable inside source has revealed to us several of the names that appeared on the visitor log. Speaker 0: Computer server repair woman, Spillery Blinton. Doctor Manuel Grossman, Speaker 1: a surgeon who specializes in hand enlargement. Speaker 0: A DoorDash delivery from McDonald's. Speaker 1: Buffalo guy. Kyle Rittenhouse. Expert policy analyst, Ted Nugent. Speaker 0: 3 Marco Rubio's stacked on top of each other inside of a trench coat. Speaker 1: Uber Eats, from McDonald's. Speaker 0: Well, this is interesting. It seems that Joe Biden knocked on the door and asked if his clean, articulate black friend, Obama, still lived there. Speaker 1: Grubhub from McDonald's. Speaker 0: Mike Pence tried to sign in but was denied entrance. Sad. Speaker 1: John f Kennedy junior. I thought Speaker 0: he was dead. The ghost of AOC tragically reporting that she was just murdered. A bald friggin' eagle. It's you. Speaker 1: Mike Lindell. Speaker 0: Mike Lindell. Speaker 1: And finally, Mike Lindell. Interestingly, the records also indicate that he never actually signed out on this particular date. Speaker 0: In an entirely unrelated story, the Bidens have reported suspicious scratching noises coming from the White House walls along with muffled shouts of Trump will be reinstated any day now.
Saved - February 1, 2025 at 4:13 PM

@greg_price11 - Greg Price

🚨BREAKING: Never before seen video of January 6 shows Jacob Chansley, the QAnon Shaman, being led through the Capitol by police the entire time that he was in the building. https://t.co/rikoRMWezF

Video Transcript AI Summary
Jacob Chansley, often depicted as a dangerous conspiracy theorist, was sentenced to nearly four years in prison for his role in the January 6th Capitol insurrection. The circumstances of his entry into the Capitol remain disputed, but surveillance footage reveals that Capitol Police did not stop him. Instead, they appeared to assist him, guiding him through the building and even attempting to open locked doors. At least nine officers were in close proximity to Chansley, yet none intervened. Chansley seemed to perceive the Capitol Police as allies, as evidenced by a prayer he offered on the Senate floor thanking them. This contrasts sharply with the narrative surrounding his actions during the insurrection.
Full Transcript
Speaker 0: Dangerous conspiracy theorist dressed in outlandish costume who led the violent insurrection to overthrow American democracy. For these crimes, Chansley was sentenced to nearly 4 years in prison far more time than many violent criminals now receive. What did Jacob Chansley do to receive this punishment? To this day, there is dispute over how chance we got into the Capitol building, but according to our review of the internal surveillance video, it is very clear what happened once he got inside. Virtually every moment of his time inside the Capitol was caught on tape the tape show the Capitol Police never stopped Jacob Chansley they helped him they acted as his tour guides here's video of Chansley in the senate chamber Capitol police officers take him to multiple entrances and even try to open locked doors for him we counted at least 9 officers who are within touching distance of unarmed Jacob Chansley Not one of them even tried to slow him down. Chansley understood that Capitol Police were his allies. Video shows him giving thanks for them in a prayer on the floor of the senate. Watch. Contrast the reality of what Jacob Chansley did in the capitol building on January 6th. The
Saved - March 13, 2023 at 12:18 AM

@ChuckCallesto - Chuck Callesto

JUST IN: Never seen before footage emerges of Jacob Chansley calling the FBI after the Jan 6th protest.. https://t.co/Qh9kwtRNVm

Video Transcript AI Summary
Hi, I'm Jake. I heard you're looking for me because of my involvement in the Capitol building incident. I wanted to call and address it. I'm not sure where I am right now, but I don't believe in running or hiding. I believe in the truth, my faith, and my country. I'm willing to talk and provide any information you need. I'll call the FBI after this. They're a bigger deal than the DCPD. Just let me know when you're ready to give me their number.
Full Transcript
Speaker 0: Hi. Yeah. My name is Jake. The reason for the call is because I heard y'all are looking for me. I heard y'all are, trying to get information on me. I'm the dude that was in the horns in the capital building. So I just thought I'd call you guys because I heard you guys are looking for information on me or or all that stuff. So I thought I'd call and nip, nip it in the bud. Where are you selling, bro? I don't know. I'm not a 100%. We're kind of on the road. I'd rather just, figure out what you guys want. What's that? Because, man, apparently, people been telling me all over Internet that that DCPD said that I'm a, I'm wanted, as a, person of interest, quote, unquote, for quote unquote unlawful entry of the senate. And, apparently, that I've been told by more than 1 person the FBI is looking for. So I'm not the type of guy that is gonna, like, run and hide. I don't do that. I I don't believe in that. I'm I'm a bold man. I believe in the truth. I believe in my faith in god and in country. And so I'm calling to see what y'all would like to talk about. What kind of information y'all we're looking for. Sure. Let me just get that one second. Hold on. What's that? Yeah. I'm about to call them after I call you guys. To me, you know, god love DCPD, but, to me the FBI is a little bit bigger of a fish than, DCPD. So I figured I'd call you guys ready for that number whenever you are ready to give it, sir. 202 278.
Saved - August 10, 2023 at 3:54 PM

@EpochTV - EpochTV

EXCLUSIVE: The Capitol Hill Tapes Exclusive investigation into 𝐉𝐚𝐧𝐮𝐚𝐫𝐲 𝟔 based on 𝐂𝐚𝐩𝐢𝐭𝐨𝐥 𝐇𝐢𝐥𝐥 𝐬𝐞𝐜𝐮𝐫𝐢𝐭𝐲 𝐟𝐨𝐨𝐭𝐚𝐠𝐞 https://ept.ms/3KVxjll

[PREMIERING 8/11 at 9 AM ET] EXCLUSIVE: The Capitol Hill Tapes The Epoch Times was given access to tens of thousands of hours of U.S. Capitol Police security video ... theepochtimes.com
Saved - September 7, 2023 at 1:55 AM

@RepMTG - Rep. Marjorie Taylor Greene🇺🇸

Here’s the instructions on how to see January 6th Capitol video footage and who is allowed access.

Saved - October 18, 2023 at 7:39 PM

@RepMTG - Rep. Marjorie Taylor Greene🇺🇸

There’s an insurrection happening now on Capitol Hill https://t.co/hBMIcv3pqW

Saved - October 22, 2023 at 9:10 PM

@VincentCrypt46 - Vincent Kennedy

!Warning! Video of violent insurrectionists on January 6th 2021 https://t.co/hzAHk6AYZi

Video Transcript AI Summary
The speaker expresses gratitude to the officers and blesses them. They appreciate the mousetraping and describe it as glorious, comparing the smell to that of an old church. They conclude by thanking the officers again.
Full Transcript
Speaker 0: Thank you. Thank you. Thank you, officers. God bless you, guys. Thank you for your patience. We really appreciate it. We got mousetraping. That is glorious in person, isn't it? That is glorious. It smells like an old church. Thank you, guys.
Saved - November 17, 2023 at 9:05 PM

@alx - ALX 🇺🇸

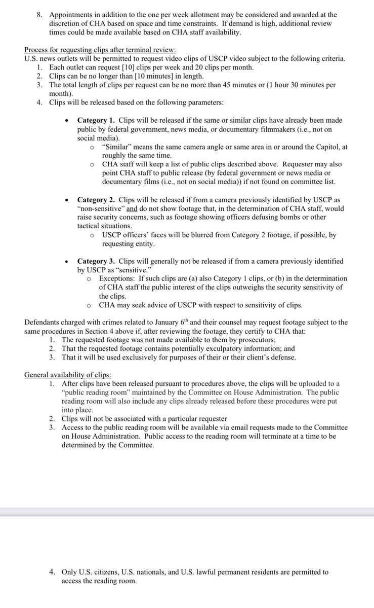
BREAKING: All 44,000 hours of footage from January 6th has been publicly released by House Speaker Mike Johnson. View the J6 tapes here: https://cha.house.gov/cha-subcommittee-reading-room-fe781e74-d577-4f64-93cc-fc3a8dd8df18

CHA Subcommittee Reading Room U.S. House of Representatives Committee on House Administration cha.house.gov
Saved - November 17, 2023 at 9:14 PM

@ImMeme0 - I Meme Therefore I Am 🇺🇸

🚨🚨🚨BREAKING: House Speaker Mike Johnson RELEASED JAN6 TAPES!! Follow the link below👇👇👇 https://cha.house.gov/cha-subcommittee-reading-room-fe781e74-d577-4f64-93cc-fc3a8dd8df18

CHA Subcommittee Reading Room U.S. House of Representatives Committee on House Administration cha.house.gov
Saved - November 21, 2023 at 12:32 AM

@WatchChad - Chad Prather

GRAPHIC: Previously unreleased footage of the J6 “insurrection” shows protesters violently strolling past capital guards. This is horrifying. https://t.co/Y5EGC74t3J

Saved - November 26, 2023 at 10:39 PM

@GuntherEagleman - Gunther Eagleman™

More proof January 6th was a setup. https://t.co/NYv9OsDCjO

Saved - November 28, 2023 at 6:33 PM

@ChuckCallesto - Chuck Callesto

JUST IN: Previously censored video re-emerges showing Trump Supporters PROTECTING Police officers on January 6th from suspected Antifa agitators.. https://t.co/YvepcE8Vyu

Saved - December 19, 2023 at 9:21 PM

@RealAlexJones - Alex Jones

EXCLUSIVE: New Censored Footage Of January 6th Released By Alex Jones! @JackPosobiec @RepMTG @TuckerCarlson @RepMattGaetz @bannon_2024 https://t.co/FfbrfKmVbV

Video Transcript AI Summary
The speaker expresses gratitude for being able to respond to the lies spread about them by the media and PR firms. They claim that January 6th was a staged event and describe witnessing police using force against the crowd. They mention warning people not to enter the building and criticize the media for misrepresenting their actions. The speaker believes that the events of January 6th have been used to label political opposition as terrorists. They promise to release more footage to provide context and invite viewers to follow them on social media. Another speaker encourages peaceful behavior and advises against confrontation with the police. The transcript ends with a statement about Infowars providing truthful information.
Full Transcript
Speaker 0: It is so good to be back on X. It is so good to be able to respond to the world when the establishment corporate media, when the think tanks, when the PR firms have been lying about me. January 6th was a provocateur staged event, and that's coming out. There's major criminal investigations, but I was there. And I got there about an hour into it. And I saw the police firing rubber bullets and flashbangs and tear gas at the crowd. And I climbed up onto a high spot, and I told people, don't go in. People are gonna get killed, and 5 US citizens were killed. Of course, Ashley Babbitt, execution style. This was terrible. But back at the time, I was banned everywhere. And it was only Jack Posobiec on his Twitter that put out a short grainy clip of me saying, don't go in. We're not Antifa. We're not BLM. It's gonna end up being terrible. It's gonna be like Kent State. People are gonna be killed. But there's hours of me going around the capital telling people not to go in and tell and and and I tell the Capitol Police, you've got loud speakers here on record. Turn them on. Tell people not to go in because they only attack the, you know, some of the crowd and then provocateurs broke through, Then the police opened up the doors and let them in, and thousands of those innocent people were charged. Many have spent years in jail for just walking between the velvet ropes. But I was thinking when I saw Jack Posobiec retweet or x yesterday, that same grainy clip he put out 3 years ago almost 3 years ago, I thought, wait. We've got a bunch of footage of this. So we should actually put out More of it so people can see it in context. So here is a longer clip and better quality and more context, more information so you get an idea of what happened. And remember, the mainstream media, the corporate media is still claiming that I told people to go in the building, and then I launched some type of attack. Trump had a stage set up by the Supreme Court right on the edge of the capital around the backside. We were supposed to go there and speak. He just spoken down the road. I've been to dozens and dozens of Trump rallies. We've never been violent. We walked into a provocateur trap, And now they've used January 6th. It's worse than Pearl Harbor, worse than 911 as a pretext to declare all their political opposition Terrorists are gonna say, we're the main threat that Trump was to be a dictator. So that's why it's so precious now that x is open and that we're able to show you things so you can make your own decision because they've used January 6th to frame populous Christian conservatives, Catholics, and others around America. So here's the clip they fought to keep you from seeing. And this week, I'm gonna go through hours of footage we've got and put out a lot of raw information because because we've got the footage of me telling the police to turn on the loudspeakers to let me go up and try to stop folks from from getting in the capital. We've got it all. Not just a little short clip that Jack put out. I'm very thankful. It's all Jack had almost 3 years ago. But but here is in high quality footage and and more of what actually happens and what happened. I hope you will share this clip. I hope it gets 10,000,000 views because the truth will set us free. I Wanna invite everybody watching this to follow us at real Alex Jones on X and to see what we're actually seeing Every day when I do my show 7 days a week at infowars.comforward/show. So here's the clip the corporate media, the Democrats, and the deep state doesn't want you to see. Speaker 1: Question to me. We've got a permit on the other side. We've got a It's great that this happened, But they're gonna the Trump's not gonna come when we're taking this order. We're not Anderson. We're not the Arab. You're amazing. I love you. Let's march around to the other side. Look at you. Let's not fight the police and give the system what they're doing. Yes. We are peaceful, We won this election. And as much as I love seeing the Trump flags flying over this, They need to not have the confrontation with the police. They're gonna make that the story. The police, Providers have caused the problem, and the police are throwing price things. We don't wanna have a Kent State here. Do not be part of this. Tell everybody to come out and decide. We're back to the road. We're setting this up. Everybody be peaceful. Speaker 2: While other networks lie to you about what's happening now, Infowars tells to the truth about what's happening next.
Saved - December 13, 2025 at 1:58 AM

@InvestigateJ6 - InvestigateJ6

J6: A True Timeline The True Timeline of January 6th is Here! WATCH FREE: New Years Day 2024 https://open.ink/collections/j6 #J6TrueTimeline

Video Transcript AI Summary
The transcript presents a detailed narrative and timeline of January 6, 2021, at the U.S. Capitol, emphasizing the sequence of events, key actors, and the evolving security dynamic as the day unfolded. - Preceding the day, hundreds of peaceful rallies followed the November 2020 election. Polls showed concern about election irregularities in key states; none of these rallies were violent. On January 6, crowds gathered around multiple areas in Washington, DC, with the Ellipse hosting President Trump’s speech, and other groups assembling on the West and East sides of the Capitol and nearby locations. The mood of the crowd at morning events is described as joyful and hopeful, viewing it as the last chance to see the president’s national address. - Around 11:41 AM, Ryan Samsell (spelled Samsal in some segments) crosses an intersection with officers; Michael Sherwin, the acting U.S. attorney for the District of Columbia, is seen crossing the same intersection and would later lead investigations of Samsel and others. Four minutes later, officers respond to a report of a gun and question a person with a knife; he is released after it is determined there is no firearm. - Trump’s speech timeline: at about 15 minutes into his remarks, Trump mentions that after the speech they will walk to the Capitol. He says, “we’re gonna walk down to the capital,” and reiterates a call to count only lawfully slated electors. He suggests marching “peacefully and patriotically.” Fifteen minutes into his remarks, a group including Proud Boys is seen heading toward the Capitol, flanked by DC Metropolitan Police. - The crowd moves: about 12:04 PM, demonstrators including Proud Boys walk west on Constitution Avenue toward 1st Street, flanked by police. A lunch stop occurs around 12:30 PM as the group, previously flanked, appears to pause near the Department of Labor. - By 12:35-12:36 PM, Pence’s motorcade arrives at the Capitol, in advance of the 1 PM certification. A crowd already forms at barricades on the East Plaza as Pence arrives. Shortly after, Trump’s remarks are referenced in real time as the Ellipse speech concludes. - The first major breach occurs as barricades are breached: Samsell (Samsel) is seen near a barricade; Ray Epps is observed directing demonstrators toward the Capitol. A barrier is pushed into the police line, knocking a police officer (Caroline Edwards) to the ground, initiating the first violent skirmish. - By 12:58 PM, a West Lawn fence is down; five Capitol Police officers guard the area behind barricades, while a Black ski-masked individual removes a barrier and leads crowds toward the West Lawn. Samsell and Epps are repeatedly seen near barricades as the crowd pushes forward. - A man named Benjamin Phillips collapses on the West Plaza around 12:59 PM; responders assist him, and he dies later that day. Inside the Capitol, Vice President Pence is in the House chamber for the electoral vote certification. - The Capitol Police deploy less-lethal munitions beginning around 1:06 PM. At 1:12 PM, Trump finishes his Ellipse remarks; a split-screen real-time view shows concurrent events around the Capitol. At 1:13 PM, Officer Thao requests more munitions and later fires a Taser (ECD). The first use of a chemical agent is reported, and the crowd’s advance continues toward the interior. - By 1:21 PM, the first explosive munition is discharged; rubber bullets, tear gas, and incendiaries hit the crowd in rapid succession for about an hour. At 1:28 PM, a man collapses; CPR is attempted. A person named Roseanne Boylan later dies from injuries sustained in the crush. - The West Plaza portion of the Capitol sees a collapse of the police line; by 1:38–1:41 PM, Trump tweets urging peace; Ray Epps is frequently seen near the front lines as demonstrators enter the West Plaza area and push past police barriers. - Around 1:50 PM, CS gas is deployed in the Northwest side, causing police to retreat; demonstrators advance toward the Capitol interior. A key development: the West Terrace tunnel becomes a focal point as police retreat behind double doors, shortening the line and creating a bottleneck for the crowd. - By 2:16–2:18 PM, doors to the Capitol open from the inside, and MPD reinforcements begin to arrive. The Senate and House debate on the Arizona electoral objection continues as demonstrators move through the building, including into the Senate chamber where desks and the dais are examined. - At 2:24 PM, Trump tweets that Pence lacked the courage to do what should have been done to protect the country, which later drew attention from investigators. A misfire of CS gas by a DC officer leads to a dispersal collapse of the West Plaza line, and the crowd surges into the Capitol interior. - In the Capitol Rotunda and Senate chamber, demonstrators roam and occupy spaces; Jacob Chanceley is seen in the Senate chamber, and threats to security escalate as officers and demonstrators contend in multiple locations. - At 3:19 PM, police expel demonstrators from the tunnel; a US Capitol Police officer is dragged into the crowd but returns to the line. By 4:17 PM, Trump posts a one-minute video urging peaceful departure; Twitter adds a warning label and later removes the video. - At 5 PM, curfew is announced; tear gas is used to drive remaining demonstrators from upper levels; National Guard troops begin to arrive. At 8 PM, the Capitol is declared secure, and the session resumes later that night with the Arizona vote certification. - The narration closes with a reflection on the day’s legacy, noting that fourteen days later, Joe Biden would be inaugurated, and asking whether the public’s understanding of January 6 has progressed toward a fuller timeline and context.
Full Transcript
Speaker 0: 01/06/2021. Washington DC. The US Capitol Building. An event that has been reported on more than any other in modern history. Despite excessive coverage, articles, books, documentaries, and congressional inquiries, Many details about the timeline of events that day remain unknown to the public. Understanding what actually happened on January 6 without bias and with as much context as possible is extremely difficult. News organizations and mass media have controlled the story of that day. Big tech and social media companies have censored, shadow banned, and de platformed eyewitness accounts, which further skews and misrepresents the truth from that day. Many of us still do not know the names of those who were killed at the capital and the causes of their deaths. This video seeks to create a thorough and truthful timeline of the events of is the motivation for this timeline. Prior to 01/06/2021, there had been a hundreds of peaceful rallies following the November twenty twenty election. Polls showed that many Americans were concerned with election irregularities in key states that ended up deciding the presidential election for Joe Biden. None of these rallies ever turned violent. The morning of January 6 started no different than any of those other rallies. American citizens showing up together to express their first amendment protected right to petition their government with a meaningful concern. The mood of the crowd appeared to be joyful and hopeful. It would be the last chance to see the president give a large speech to the nation. To properly understand the events that would soon unfold, it's important to acknowledge that there were many areas of interest that day where crowds were congregating. Those attending president Trump's speech assembled at the Ellipse, a 52 acre park located directly south of the White House and approximately one mile from the capital. Space was limited there and the crowd was so big that a sea of people extended all the way to the Washington Monument. Elsewhere in Washington DC, crowds would assemble in the morning at both the West and the East side of the capital. Still others would loiter in the vicinity to await the next event that would take place that day, of which there were multiple permit holders in the area. At 11:41AM, Ryan Samsall, a man who will later be pivotal in the first breach of the capital, crosses the street past multiple uniformed officers. Seconds later, the acting US attorney for the District Of Columbia, Michael Sherwin, wearing plain clothes, is seen crossing the same intersection. Sherwin would go on to lead the investigations of Samsel and hundreds of others. Four minutes later, the same officer whose body cam recorded that interaction is moving through the crowd responding to a call of a person with a gun. The crowd is compliant as the officers move through the space. They reach their intended target, and after a few minutes of questioning, let the man go. He had no firearm and was only carrying a knife. Speaker 1: Someone saw that handle and Speaker 2: thought it was a handgun. Speaker 1: Oh, yeah. This is my car. Okay? There's no way. Any questions or issues? Speaker 3: Not show the magnitude of this crowd. Even I when I turned on today, I looked and I saw thousands of people here, but you don't see hundreds of thousands of people behind you because they don't wanna show that. Speaker 0: The president gave a speech that morning that was very similar in tone and in style to the many campaign speeches and post election speeches he had given to audiences around the country. Speaker 1: I'm listening to the speech in my ear, thanks to Scott. Speaker 0: At the exact time that Trump begins his speech, a livestreamer is at Peace Circle at the precise location that the first Capitol barricade breach will occur fifty three minutes later. You can see the metal bike rack fencing separating the street from the sidewalks in front of the Capitol Building. These area closed signs were posted in compliance with a restriction that went into effect 09/07/2020 due to the construction of the inauguration stage. At 12:04PM, a group of demonstrators, including members of the Proud Boys, are seen walking west on Constitution Avenue toward 1st Street while being flanked by police officers from the DC Metropolitan Police Department. Speaker 4: And flanked by Speaker 3: the DC pinot. 63,000,000. Speaker 0: Fifteen minutes into his remarks, president Trump mentions for the first time that after his speech, the crowd will be walking to the capital. For context, let's hear the president's full remarks during this portion of his speech. Speaker 3: Now it is up to congress to confront this egregious assault on our democracy. And after this, we're gonna walk down, and I'll be there with you. We're gonna walk down. We're gonna walk down anyone you want, but I think right here, we're gonna walk down to the capital. And we're gonna cheer on our brave senators and congressmen and women. And we're probably not gonna be cheering so much for some of them Because you'll never take back our country with weakness. You have to show strength and you have to be strong. We have come to demand that congress do the right thing and only count the electors who have been lawfully slated, lawfully slated. I know that everyone here will soon be marching over to the Capitol Building to peacefully and patriotically make your voices heard. Speaker 0: Six minutes following these remarks, the group of proud boys and demonstrators seen previously being flanked by the DCMPD have stopped for lunch at a row of food trucks in front of the US Department of Labor on Constitution Avenue. Eddie Bloch, seen here in a scooter, tells a live streamer the immediate plans of the group. Speaker 4: Where where Speaker 5: are we headed? Speaker 6: Do we know? We're heading back to the route. Okay. Speaker 1: Was there was there nothing going on at the capital? Speaker 6: Not really. Not really. So We're just kinda marching around, letting people know we're here. Speaker 1: Okay. Good time. Yeah. Alright. Speaker 0: Six minutes after this interaction at 12:30PM, the US Capitol Police report a very large group heading to the Capitol from eastbound on Pennsylvania Avenue at approximately 7th Street. Speaker 1: Cruiser 50, it does look like we're gonna have an ad hoc march stepping off here. There's a crowd surge heading east. Speaker 0: At the same time, police body cam records police intervening between Trump supporters and a counter protester. The police encourage the crowd to keep marching toward the capital. Speaker 1: Come on, guys. Let's keep the march going. Let's keep it going. Let's keep it going. President Speaker 0: Trump won't be finished speaking at the ellipse for another forty minutes. During this time, a man named Ray Epps was filmed on the streets directing the crowd to the Capitol Building. Speaker 1: As soon as president Trump is finished speaking, we are going to the Capitol in that direction. That's where our true problems lie. President Trump is done speaking. We are going to the capital. That's where our problem we are going to the capital where our problems are. It's that direction. Speaker 0: He was filmed the night prior, urging the crowd to go inside the capital. Speaker 7: I'm gonna put it out Speaker 1: that I'm probably gonna go to jail for it. Okay? Tomorrow, we need to go into the capital. Into the capital. Peacefully. The Speaker 0: crowd surrounding him instantly calls him out as a fed. At 12:35PM, Mike Pence's motorcade is seen heading to the capital, turning left on Constitution Avenue from Louisiana Avenue. Speaker 1: Arms don't stop. Anybody stay back. Stay back, please. Arms, let's go. Stay back. Speaker 0: A minute later, at 12:36, vice president Mike Pence arrives at The US capital. The vice president's motorcade has just arrived at the capital in advance of the joint session. The certification is to begin in twenty four minutes at 1PM eastern. As Mike Pence arrives, a crowd is already assembled at the barricades in front of the East Plaza of the capital. Mike Mike Pence. At this exact moment, president Trump is mentioning Mike Pence's upcoming certification at his speech on the Ellipse over a mile away. Speaker 3: But now they see all this stuff. It's all come to light. It doesn't happen that fast. And they wanna recertify their votes. They wanna recertify. But the only way that can happen is if Mike Pence agrees to send it back. Mike Pence has to agree to send it back. Speaker 0: A minute later at 12:45PM, a DC police camera captures what looks like a wall of people suddenly arriving about a block west of the capital. Video footage captured moments later shows demonstrators gathering at Peace Circle, where Pennsylvania Avenue terminates as a street and turns into Pennsylvania Walkway, a path that leads directly to the West side of the capital. There are two sets of metal barricades here, behind which only five Capitol Police officers can be seen guarding this entrance, while every member of Congress convenes in the building behind them. Just south of this path, a man in a black ski mask removes a barrier and waves the crowd onto the West Lawn of the capital, while members in the crowd shout at him. With this view, you can see the moment that the first set of bike racks come down and the crowd begins to quickly advance on the second set of gates. Ryan Samsel, who we saw earlier in a white hoodie and red baseball cap, approaches the police line. This would become the first major breach of the Capitol Grounds and skirmish with Capitol Police. We will show this crucial interaction in its entirety and use multiple angles to see what happens at this all important flash point. Ray Epps, who we just saw calling for demonstrators to enter the capital, can be seen approaching the front of the barricades and speaking to Ryan Samsel. Moments later, the barricade is pushed directly into the police line. After the gate is forcefully pushed forward, US Capitol Police officer Caroline Edwards is knocked to the ground. Ryan Sampson immediately runs to her aid to help her get back on her feet. The first violent skirmish of the day between demonstrators and police had begun. President Trump remains speaking on the ellipse. Speaker 3: In Clark County, Nevada, the accuracy settings on signature verification regimes were purposely lowered before they were used to count over 130,000 ballots. If you signed your name as Santa Claus, it would go through. Speaker 0: Just to the south at the 1st Street Southwest in the Maryland Avenue Circle, demonstrators knocked down a second gate. Crowds are now advancing on the West Front of the capital from two locations. With multiple lightly manned police barricades down, the enlivened crowd makes their way quickly to the next barrier, the metal gates in front of the West Plaza of the capital. Samsall can be seen tapping the shoulder of officer Edwards and saying something to her. Looking over the West Side of the capital from a security camera on the exterior dome, we can see how quickly the crowd is able to fill the area in front of the West Plaza. From this point forward, those in the crowd entering onto Capitol Grounds may have seen no indications or warnings that they were in an area that was previously guarded by police and secured by barriers. At 12:58PM, the lightweight fencing on the West Lawn is pulled down completely by a single person. It is on this fence that signs with the words area closed are affixed. Thousands of people who will walk up to the capital after 1PM will never see these signs. Zooming in closer to the northwest corner of the plaza, we once again see Ray Epps at the head of the crowd in front of the next set of police barricades. So far, we've seen him the previous day calling for the crowd to enter the capital. We saw him that morning directing people to the capital. We saw him at the first gate reach, and now here he is at the second major gate reach, and it won't be the last we see of him. Directly in front of him is where the crowd reaches the metal gates and enters onto the West Plaza of the capital. At 12:59PM, a man on the Northwest sidewalk collapses. Speaker 6: Can you please have someone respond to my location? AT and The bottom of the west front was an individual that's down here unconscious and not brief. Speaker 0: The man's name is Benjamin Phillips. He is a computer programmer from Bloomsburg, Pennsylvania who traveled to DC to support president Trump. A crowd of people, including police officers, form around him to assist with life saving measures. While Benjamin Phillips fights for his life outside, inside the capital, vice president Mike Pence is entering the house chamber to convene the joint session to certify the electoral votes. President Donald Trump is still speaking to a large crowd at the Ellipse, unaware of the crowd that is already amassed at the capital. Speaker 3: Clear evidence that tens of thousands of votes were switched from president Trump to former vice president Biden. Speaker 5: Madam speaker, members of congress, pursuant to the constitution and the laws of The United States, the senate and house of representatives meeting in joint session to verify the certificates and count the votes of the electors of the several states for president and vice president of The United States. Speaker 0: Back outside on the West Plaza, United States Capitol Police Deputy Chief Wal do orders the less lethal team to get into position. Speaker 1: Unit six, I need less lethal teams. They could come up from the upper west stairs and take an elevated position. They're not compliant, climbing the staff lane. Let me know when the less lethal teams are in place. Speaker 0: One minute later, the less lethal team moves into place. At 01:06PM, deputy chief Waldo orders the less lethal team to launch. Speaker 1: Unit six, I got a crowd fighting with officer, pushing, throwing projectiles. I have given warnings about chemical munitions. I need the less than lethal team positioned above me to identify the agitators and start deploying. Launch. Launch. Launch. Speaker 0: Launch. US Capitol Police inspector Lloyd is seen signaling officers above on the terrace to open fire on the crowd. Joshua Matthew Black, a 46 year old man from Alabama, is shot with a round that tears open and lodges in his cheek. Safety procedures for using these rounds state not to fire at someone at eye level. Speaker 1: I was at the front line trying to keep the peace between the patriots and the people that were hired by the government. And I I caught a shot in the face, and then that's about it. Speaker 0: Deputy chief Waldo orders a second deployment of munitions. Speaker 1: Six high copy. I need more lead less than lethal teams over here. The indirect firing is not working. They are still non compliant. We've continued to give I've continued to give multiple warnings about chemical munitions being released. They are not dispersing. Speaker 0: Although chief Waldo has broadcast over the radio twice that he has given warnings, no video that day captures these warnings. DC law on crowd dispersal procedures states that before any munitions are used against a crowd, officers must issue at least three clearly audible and understandable orders to disperse using an amplification system, as well as to provide participants reasonable and adequate time to disperse, and a clear safe route for dispersal. Just feet away, Benjamin Phillips fights for his life. He has been down on the ground and not breathing for thirteen minutes. Speaker 1: 01:30. Where's the ambulance for this guy on the Lower West? Speaker 0: President Trump is finishing his speech at the Ellipse at 01:12PM. In a rarely seen split screen view, let's simultaneously see different events happening around the capital in real time. Speaker 3: So let's walk down Pennsylvania Avenue. I wanna thank you all. God bless you, and God bless America. Thank you all for being here. This is incredible. Speaker 1: Thank you very Speaker 8: ballot from Arizona. Speaker 5: Is the and signed by a Speaker 1: senator? Yes, it is. Speaker 0: As representative Paul Gosar and senator Ted Cruz make a challenge on the floor of the house, MPD officer Daniel Thou arrives at the southwest section of the plaza. His body cam shows him and nearby officers spraying demonstrators with an inflammatory agent. From a different officer's body cam, the familiar face of Ray Epps can be seen in the area that the police are trying to control. Back in the real time multi view, we can see Trump waving to the crowd after his one hour and eleven minute speech, the last speech he will give in front of a crowd as president of The United States. Gosar and Cruz are having their objections to the electoral vote of Arizona read on the house floor. Ray Epps is at the front of the police line speaking to officers. Speaker 1: Appreciate you. At Speaker 0: 01:13PM, officer Thao is frantically calling for more munitions. Speaker 1: Capital. Hey. We need blast positions. What do we got? I'm panicking. We gotta get something, man. Come on. We gotta go. At Speaker 0: 01:15PM, officer Thao crosses the line and engages with demonstrators. As the scuffle ensues, he discharges two rounds from his taser, also known as an ECD. Speaker 1: True ECD to blunt. True Speaker 0: He then witnesses what he calls an APO or an assault on a police officer. Speaker 1: APO, felony. With Speaker 0: 30 officers between him and the crowd, it's unclear what assault he thought he saw in that moment. A few 100 feet away, back on the northwest sidewalk, Benjamin Phillips has been loaded onto a makeshift stretcher and is being carried north to a waiting ambulance. Speaker 1: Hello, sir. They are bringing the patient up to the ambulance right now. They are refusing to come down. Speaker 0: Tragically, Phillips would be pronounced dead at the hospital later that day. Benjamin Phillips leaves behind two teenage children. Back inside the Capitol Building at 01:17PM, vice president Mike Pence and senators return to the senate chamber to debate the electoral vote challenge put forth by representative Paul Gosar. After expending all his munitions, officer Thao yells at the officers on the West Terrace of the capital above them to start shooting what they have into the crowd. Speaker 1: Damn it. We need that. Let's go. Just shoot it. Go. Shoot. Shoot the. Speaker 0: The less lethal team fires into the crowd for a third time. Three minutes later, at 01:21PM, the first explosive munition of the day is discharged. The demonstrators at the West Plaza of the capital will be hit by an unrelenting barrage of grenades, incendiaries, rubber bullets, and gas for the next hour. At 01:28PM, a man has collapsed on the West Plaza and is attended to by people in the crowd. Speaker 1: They can't get anybody in here Speaker 7: and the cops are throwing flashbangs into the crowd. Speaker 0: He is unresponsive for several minutes. Fearing the risk of trampling, they carry him to a different location, where they continue to try to resuscitate him. Speaker 1: He's been He's having Speaker 7: a heart attack. He's been on the for six minutes. They carried him. They've been doing CPR. I think that man probably died. Speaker 4: I hope they saved his life. Speaker 0: Kevin Greeson leaves behind a wife and five children. Around 01:30PM, on the southwest side of the plaza, officers push the crowd back and are able to establish a police line again. The police will hold this line for about an hour. Just inside the capital, representative Zoe Lofgren, Democrat from California, is responding to the challenge of the electoral count. Speaker 9: The votes are simply to be counted as certified and transmitted by the states. Speaker 0: At 01:32PM, an officer laments that chucking grenades into the crowd is just going to make things worse. Speaker 6: We're just gonna make it worse. Worse. Speaker 1: Hey. Stop. Hold. Hold fire. Hold fire. Give me hold. Hold. Hold fire. Speaker 0: Moments later, the same officer seems to have changed his and is actively searching for munitions to discharge in the crowd. Speaker 1: I'm coming out with smoke. That's a burner, by the way. A Speaker 0: burner or hot burning smoke grenade can get extremely hot and become a fire risk. Speaker 1: They come back with it? Hey. Do they throw it faster? I'm guessing. Speaker 0: The smoke grenade is tossed back behind the police line by someone in the crowd. Speaker 1: Eric. Eric, Speaker 6: do we have any scout rounds? Speaker 0: Officer Thao goes back for more rounds. This time, it's a CS gas canister. Speaker 3: I need triple chasers. Speaker 0: A triple chaser consists of three separate canisters pressed together with separating charges between each. When deployed, the canisters separate and land approximately 20 feet apart, allowing increased area coverage. After not receiving approval to use the triple chaser, officer Thao appears to be reprimanded by another officer for his use of smoke moments earlier. Speaker 1: I got a triple chaser on hold. Yeah. Put it right back. I know. But this is triple chaser. You're just a real smoker. I know. But this is splitting. I mean, got that. I know. But Speaker 0: captain tells officer Thou to hold on discharging CS gas into the crowd. Speaker 1: Take your step back. Take your step back. Speaker 0: At around this same time, Ray Epps is once again caught from multiple cameras being at the front line of the demonstrators near police barricades. No other person has been seen at this many flashpoints this many times. He walks freely up and down the police barricades multiple times, communicating with other demonstrators in a similar fashion to when we saw him whisper in Ryan Samsall's ear earlier before the first breach. At 01:38PM, Donald Trump sends his first tweet after walking off the stage twenty four minutes earlier. It reads, please support our capital police and law enforcement. They are truly on the side of our country. Stay peaceful. Around 01:40PM, Ray Epps is one of the members of the crowd who helps lift up a large Trump sign and push it into the line of police officers on the West Plaza of the capital. At 01:41PM, body cam footage from officer Anthony Aliotto records a discussion about Eight minutes later, at 01:49PM, a riot is officially declared at the US capital. Speaker 1: We're gonna try and get compliant, but this is now effectively a riot. Speaker 6: Forty nine hours declaring it a riot. Speaker 0: The fears of officer Aliyoto are soon realized when at 01:50PM, officers use CS gas on the Northwest side of the plaza and effectively gas themselves with aid from the wind. You can see multiple officers struggling from the effects of the CS gas. Speaker 1: Tina, be careful. It's blowing right back. I know. It's in my eye. You alright? Yeah. Speaker 6: Don't rub it. You know that. You're gonna suck. Keep blinking. Speaker 0: Over on the East side of the capital, the gates have successfully held the crowd back for over an hour from when the West side was first breached. At 01:59PM, that all changes. The demonstrators overpower the police and begin to make their way toward the east steps. Speaker 10: Police are squabbling with protesters. Oh, there we go. And they just reached the capital again. Speaker 0: Back on the Northwest side of the capital, a man named Derek Vargo is ascending to the West terrace on the outside railing of the stairway. He is sprayed in the eyes with an inflammatory agent. Vargo reacts by heading back down the way he came when he is shoved off the wall by officer Bryant Williams, leading to a 25 foot drop. Some call this an attempted murder. Vargo is carried away on a makeshift stretcher by officers and bystanders. Vargo suffered a fractured ankle and extensive midfoot injuries that would require surgeries to repair. He lives with constant foot pain, pain in the middle of his spine, and suffers from post traumatic stress disorder that causes him flashbacks and nightmares of being pushed off the railing. At 02:03PM, the first dispersal order is heard coming from a mobile LRAD, or long range acoustic device. Speaker 1: 221307. You are scammed? All people must be. Speaker 0: DC law requires police to give three separate warning with the LRAD system and an opportunity to disperse before using violence or munitions to clear a protest crowd. At 02:06PM, police retreat up the east steps of the capital. Demonstrators soon follow and ascend the steps. We hear the LRAD again at 02:07PM. Speaker 1: They are to comply Speaker 0: with this order. They subject you to arrest. It's unlikely that demonstrators heard either of these warnings given the situation on the plaza, which calls into question the earlier stated DC law that requires these announcements to be clearly audible and to provide participants reasonable and adequate time to disperse. Back on the East Side of the capital at 02:09PM, Hunter Emke is seen kicking in and punching multiple windows. He is quickly tackled and detained by police. At 02:10PM, demonstrators reach the West Terrace and push through police barricades. They will quickly move to what will become the first points of entry to the interior of the capital. A man throws a two by four through a glass pane, the first such broken window on the West Side of the capital. Shortly thereafter, Dominic Pizzola pushes the window in using a police riot shield. Protesters will soon enter the building through these breach points. At 02:12, Ray Epps sends a text message to his nephew, telling him that he orchestrated the protest at the capital and that he helped get people there. The video evidence we have seen thus far would back up his claim. At 02:13PM, president Trump tweets, I am asking for everyone at The US Capital to remain peaceful. No violence. Remember, we are the party of law and order. Respect the law and our great men and women in blue. Thank you. Speaker 1: Hey. Frank, you got anything else? Speaker 0: Back on the West Plaza of the capital, officer Thao receives a Stinger 40 millimeter, 60 caliber rubber balls round and rushes to fire it into the crowd. This crowd management round contains approximately 18 rubber balls. Speaker 1: Hey, I need a round. You have CS? Speaker 0: Thirty seconds later, he's given a baton round, a round that contains three forty millimeter rubber projectiles. He again heads over to the police line to fire it into the crowd. At 02:18PM, after a few minutes of confusion inside the room, the house calls a recess during its debate over an objection to the electoral votes from Arizona. Speaker 2: Without objection, the chair declares the house in recess pursuant to clause 12 b of rule one. Speaker 0: At 02:16PM, the parliamentarian doors are opened from the inside, providing another access point for demonstrators to enter the building. Down on the West Plaza, officer Thou refers to police activity as quote, shooting zombies. Speaker 1: Alright. We're completely around. At Speaker 0: 02:18PM, after a few minutes of confusion inside the room, the house calls a recess during its debate over an objection to the electoral votes from Arizona. Speaker 2: Without objection, the chair declares the house in recess pursuant to clause 12 b of rule one. Speaker 0: At 02:18PM, police body cam picks up a tense conversation among officers where one officer admits that they're hitting innocent people. Speaker 1: And not only that, we're taking out one and ten of them are getting way easier. It's it's we're multiplying them by hitting them. Speaker 0: At 02:24PM, John Earl Sullivan is recording as he is one of the first of the demonstrators to enter the Capital Rotunda. Speaker 1: 2021 y'all. This is insanity. Holy What is this? What is life? Speaker 0: At the same time, a few blocks away, MPD officers are discussing new plans to enter the capital to support US Capitol Police. Speaker 1: They're gonna burn that building down. Speaker 8: That's fine. And we'll figure it out. Alright. Speaker 1: They better reach out to the military right now is what they better do. Get the National Guard suit up, get them down here. Speaker 8: Do you know where we're suiting up, we're going in? We are? Yes. When? Damn. Did you hear that? Speaker 0: Still at 02:24PM, Mike Pence is moved from the senate chamber to his office across the hall. The senate remains in session as senator for Kentucky Mitch McConnell speaks on the floor. Also, at 02:24PM, president Trump tweets, Mike Pence didn't have the courage to do what should have been done to protect our country and our constitution, giving states a chance to certify a corrected set of facts, not the fraudulent or inaccurate ones which they were asked to previously certify. USA demands the truth. This would be a significant tweet to the January 6 committee, for they claimed that it was the motivation for a surge into the capital complex. Speaker 11: Our investigation found that immediately after the president's 02:24PM tweet, the crowds both outside the capital and inside the capital surged. Speaker 0: What the January 6 committee failed to mention was that it officers misusing munitions and CS gas at that same time that led to a surge. Speaker 1: Hey, Rich. Yeah. Put it on the scaffolding. DC Speaker 0: MPD officer Cowrie, at the urging of officer Thou, misfires a CS gas canister that eventually forces police to fall back and lose their position. As officers on the West Plaza, unequipped with gas masks, struggle breathing, the plume of CS gas can be seen from the overhead camera on the lower right corner of your screen. It blows over the entire area of the West Plaza that the police had secured for nearly an hour. Within three minutes of the officer CS gas misfire, the police line on the West Plaza entirely collapses. Back on the East Side at 02:24PM, demonstrators are able to force open doors from the inside. These are the Columbus doors, which lead a short way to the rotunda of the capital. Back outside on the West Plaza, an elderly woman is violently pushed by police down a set of concrete stairs three times, which incites the crowd around her. Speaker 8: Hey. Did you hear that? We're trying to make it to the Hanover Gardens. We're going Speaker 1: in. Alright. So we down in long guns? What do we Yes. Speaker 8: Straight up. Any any munitions you have, CDU. Speaker 0: At 02:28PM, in an interesting exchange, a press photographer on scene at the East entrance of the capital taps a demonstrator on his hip and shoulder to move him out of the way so he can presumably get a better shot of the action. Back out on the south side of the West Plaza, a demonstrator is taken down by six police officers. He receives multiple punches while in a face down prone position. At 02:30PM, a security camera at the crypt lobby shows demonstrators gaining access to the capital via overhead lift doors. At this same time, the house is called into final recess. Speaker 2: Without objection, the house is gonna go back into recess. Speaker 0: At 02:31PM, Washington DC mayor Muriel Bowser orders a curfew from 6PM that evening to 6AM the following morning. At 02:33PM, a frustrated police officer can be heard venting about being, in his words, set up. Speaker 1: They set up the fuck up. That's what they did. They set up for They set up 64. Yeah. Absolutely. And then they asked y'all to come in two hours later. They set us up. I'm gonna be as real as I can be. We are going to get overrun on the steps of the capital right now. We're getting fucking hammers. Okay? If you guys go down there, the bank appliance is working very minimally. There's 10,000 to one. We're gonna lose the fucking steps, and we're getting people hurt like a mother. Speaker 0: Demonstrators are seen entering from the West Side of the capital, while police officers watch them walk through the doors. Just feet away at 02:35PM, minutes after losing the West Plaza, officer Aliotto throws a gas canister from the West Terrace into the crowd that has amassed on the West Plaza. This, along with other gas canisters sent into the crowds, gets thrown back at the officers. Most of these officers still do not have gas masks. At the same time on the West Terrace, officers are repeating the same mistakes they made one level lower on the West Plaza. An errant CS gas round is again fired into their held position on the West Terrace. The spreading gas will eventually effectuate a retreat back into the capital through a narrow tunnel. This mistake would prove to be incredibly significant for the events that are yet to come. The retreat into the capital through the West Terrace Tunnel would create the conditions for the next standoff between demonstrators and police that would take place over the following hours. Instead of showing force outside of the tunnel, the police make the questionable decision of barricading themselves behind locked double doors, giving up the tactical position, and retreating to a defensive posture. At 02:39PM, Metropolitan Police Department reinforcements arrive at the capital, entering through the east carriage door. At the same time, police officers discussed being unprepared for what they encountered. Speaker 1: I didn't know we were coming up for this. I wanna make sure we all had our mask. Speaker 3: I didn't realize how bad I Speaker 1: they set us up to fail. They did. There was no way we were winning that. And you've now you got at least four platoons that are just gassed out. Yeah. Literally. Because us, 54 doesn't have masks. Yeah. Oh, remember, we're supposed to be rapid response just to buy time for the hard platitudes to come. They didn't come. They didn't ask for them. This is bullshit. Who cares about the street? Like, prioritize. Get yes. Secure the capital. At Speaker 0: 02:42PM, journalist Taylor Hanson is walking behind Ashley Babbitt, an air force veteran from California, as she turns a corner and approaches the speaker's lobby, guarded by three police officers. MPD officer Luke Foskett approaches a window and looks out upon the crowd on the western side of the Capitol Building. Speaker 1: You're live. Right? Yeah. Yeah. Speaker 0: Moments later, members of the house seek shelter in the gallery while officers barricade entry into the chamber. It is at this moment that the only firearm to be discharged inside the capital that day can be loudly heard. The story of that gunshot is quite possibly the most tragic story of that Speaker 1: day. There's a gun. There's a gun. There's a gun. There's gun. He's got a gun. He's got a Speaker 0: The shot heard was a single round fired by lieutenant Michael Bird. It strikes Ashley Babbitt in the neck. And she falls back into the upper landing of the stairwell. Speaker 1: She's done. She's dead. She's dead. She's dead. I caught her. She's dead, you piece of shit. One shot in the capital. Report of a shooting in the capital. Trying to ascertain information now. Speaker 0: At 02:46PM, approximately the same time as Ashley Babbitt is shot by Capitol Police officer Byrd, a series of smoke and signal flares are activated at various locations around the Capitol. Flare. There's some kind of a flare in the sky there. As the smoke clears, we again spot Ray Epps leaving the area and flanked by several individuals before leaving the Capitol Grounds for the day. Meanwhile, demonstrators continue to enter the Capitol Building. The first demonstrator enters the Senate Chamber. Speaker 6: Unit 7, Speaker 1: we got protesters that are outside of the Senate chamber. Speaker 0: Over the course of the next thirty minutes, the Senate Chamber will become a significant location of the day. Along with the Capital Rotunda, the Capital Corridors, and the West Terrace Tunnel. Prior to this point in the day, many demonstrators were free to roam the hallways and chambers of the building, meeting little resistance from Capitol Police. Speaker 7: The police here are willing to work with us and cooperate peacefully like our First Amendment allows. Gather more Americans under the condition that they will come and gather peacefully to discuss what needs to be done to save our country. Speaker 0: Capital police officer Robichaud asks a small group of demonstrators to remain peaceful. Speaker 7: Show us no attack, no assault, remain calm. We're not doing this all. We're We're going to be heard. I will Everybody, this must Speaker 1: be peaceful. This has to be peaceful. Times, we have the right to peacefully assemble. Speaker 0: Robichaud then proceeds to escort at least one demonstrator, Jacob Chanceley, throughout various locations in the capital. At 02:46PM, additional demonstrators continue to enter the senate Chamber. Security footage shows no capital police presence in the senate Chamber at this time. At this point in the day, many of the demonstrators on the outside have no idea that Capitol has even been breached. Let's go back to the multi view to see what's going on around the Capitol Grounds. On the Southeast Side, a group of MPD officers arrived to assist Capitol Police with clearing out the inside of the Capitol. Speaker 1: One twenty two ground. We're sending MPD through the South door of the Capitol. There's about 25 units in hard gear. Speaker 0: Back on the West Plaza, an enormous American flag has been draped over the scaffolding. On the East Side of the capital, demonstrators have overtaken the stairs and continue to gather on the lawn. Back in the rotunda at 02:48PM, we see demonstrators peacefully roaming around and taking photographs. The only law enforcement officers visible are standing in the doorway. As demonstrators continue to roam the hallways, one officer has a concerning realization. Speaker 1: They make it up here. They can go right to the 2nd Floor. They just don't realize it. Speaker 0: Back at the West Terrace Tunnel, a demonstrator activates a fire extinguisher into the tunnel towards dozens of law enforcement officers. Speaker 1: Motor 13, we need munitions and 50 officers on the rotunda steps, at top the of the step. We need munitions to clear these steps. Speaker 4: You wanna push forward? Speaker 1: Push them back? No. Right now. No. Wait. Okay. Because we gotta get numbers. Speaker 2: Yeah. Speaker 6: I'm seeing stars right now. Speaker 0: Inside the senate chamber, demonstrators are rummaging through desks looking for intel. Speaker 1: Objection to the Arizona. Speaker 0: More demonstrators arriving on the outside and more officers arriving on the inside. Speaker 1: Hold it. Hold it, baby. Stop. Stop. It's the only way we're gonna hold this door. Speaker 0: At 02:55PM, law enforcement begins to move demonstrators out of the capital from various locations. Speaker 1: We are American. I pray for everyone of you, for your safety. You need to give communism what you need to do. You need to give communism to protect these people. We're patriots. Sir. How much it cost for you to betray your duty and your people? Speaker 0: But they continue to struggle to control the Rotunda and West Plaza Tunnel. Richard Barnett, the demonstrator who posed for this photo in house speaker Nancy Pelosi's office, attempts to persuade an officer to let him back in to retrieve his flag. Speaker 6: Four eighteen Franks are informational. I have a group of about 20 to 30 officers that are cordoned off on the south side of the reconnaissance stairs. We're just gonna hold the line over here, so we get some kind of control on this crowd. There's no enforcement we can take at this time. Speaker 8: Hey, man. Glad to see you guys. You guys are patriots. Speaker 1: Look at Speaker 8: this guy. He's got covered in blood. God bless you. Speaker 4: You good, sir? Speaker 1: Do you need medical attention? Speaker 3: I'm good. Thank you. Alright. Speaker 0: Jacob Chanceley takes a seat at the senate dais. He decides to leave a note for vice president Pence. Speaker 6: Now that you've done that, Speaker 4: can I get you guys to walk out of Speaker 8: this room, please? Yeah. Speaker 5: Yes, sir. Speaker 3: There's 4,000,000 people coming in. Speaker 4: So it's a of control. Speaker 7: We love you guys. We love the cops. It's only Speaker 8: a matter of time. Speaker 1: Opportunity. Thank you, heavenly father. Amen. Sir, I have 75 people inside the Senate Chambers just for information. They are going through desks and on top of podium. Speaker 0: Back at the rotunda, dozens of MPD officers prepare to clear out all of the demonstrators. Speaker 1: One zero five, I'm currently at the main door to the Senate Chamber. Speaker 0: Back at the scuffle at the West Terrace Tunnel, the situation is rapidly deteriorating. Leading up to the tunnel are a series of steps the demonstrators are having trouble navigating. It is a very tense and dangerous situation in this area. For over an hour, the police have been inside the building behind the inner doors while demonstrators have occupied the tunnel. Speaker 6: 405 John is advising they need additional acid. Speaker 0: At 03:19PM, the police successfully expel the demonstrators from the Speaker 1: tunnel. I'm trying. Get Speaker 0: down. During the skirmish, a US Capitol police officer is dragged into the crowd of demonstrators. He is later returned to the police line and heads back to safety inside the tunnel. The demonstrators manage to hold their ground and begin to push the police back into the tunnel. This sets the stage for the final tragic conflict. Demonstrators and police are engaged in physical altercations. Sprayed chemical agents are lingering in the narrow hallway. Speaker 3: I know your pain. I know you're hurt. We had an election that was stolen from us. Speaker 0: At 04:17PM, president Trump posts a one minute video to his Twitter account, urging demonstrators to stay peaceful and go home. Speaker 3: We have to have peace. We have to have law and order Speaker 0: Twitter quickly attached a warning label on the video which read, this claim of election fraud is disputed, and this tweet can't be replied to, retweeted, or liked due to a risk of violence. This limited the reach of the message. Minutes later, Twitter would remove the entire video message from its platform. Speaker 3: I know how you feel, but go home and go home in peace. Speaker 0: As the demonstrators are pushed back by police, they fall on top of each other. Some are pressed against the ground, unable to move. A woman named Roseanne Boylan, a Trump supporter from Georgia, finds her herself pinned under the deluge of bodies. The Trump situation is critical. Speaker 1: Collapsed Speaker 4: inside that that corridor from an asphyxiation. She couldn't breathe. Brought her out onto the main steps outside of that. Several people started doing CPR on her. I tried to get her carotid pulse for several minutes and even I cut part of her jeans away so that I could try to feel her femoral pulse and I couldn't feel a femoral pulse at all. By the time that they decided to pick the person up and give them to the police officer, she had blue lips and blood was coming out of her nose. Speaker 1: Man, where the DC fire needs to go for that CPR that's going on. Speaker 4: Didn't seem hopeful at all. I don't I don't think that person will be revived. Speaker 0: Officers transport Boylan inside the tunnel and begin CPR. Speaker 6: Could you please send the ambulance that is coming for the code down at Lower West Terrace to the house door for entry? Speaker 1: Protestant? Yeah. She got I mean, she got stuck under there. She fell down and That trampled? Yeah. Speaker 0: Boylan is transported inside for one last revival attempt. Speaker 6: CDU 70 to destroying the media equipment over here at the egg. Copy. Roadcasters are destroying media equipment at the Senate AG. At Speaker 0: 5PM, as the citywide 6PM curfew looms, police are making progress securing the capital and a steady stream of demonstrators leave the capital grounds. At 05:10PM, police use tear gas to drive the remaining demonstrators from the Capitol's upper levels. Over the PA system, an announcement is made that all individuals are required to leave Capitol Hill or be subject to arrest. At 05:40PM, National Guard troops begin to arrive at the Capitol to secure the premises. One minute after the curfew goes into effect, Donald Trump sends out a final message to his supporters that day. At 8PM, the Capitol is declared secure. Speaker 5: Today was a dark day in the history of The United States Capitol. Speaker 0: Shortly after at 08:06PM, the senate resumes debate over the certification of Arizona's vote in the senate chamber. The house would reconvene about an hour later. The election results will be certified. And fourteen days later, Joe Biden will walk down the same tunnel and stairs where the police and demonstrators fought for hours and where Roseanne Boylan took her last breath to be inaugurated as the forty sixth president of The United States. 01/06/2021. A day of hope and patriotism that turned into a day of chaos and tragedy. For the past three the shadow of January 6 looms large in our politics, in our culture, and in our national conversation. Are we any closer to understanding the events of that day? Are we still in the timeline of January 6?
J6 Thousands of crowdsourced video files. Hundreds of hours of CCTV footage. Dozens of police officer body cams. One True Timeline. open.ink
Saved - January 8, 2025 at 3:26 AM

@TPostMillennial - The Post Millennial

New Tucker Carlson episode just dropped…and it’s spicy! Former police officer, congressman exposes truth of Jan. 6 https://t.co/M81l8Pi9Yb

Video Transcript AI Summary
Three years after January 6th, questions remain about the events of that day and the FBI's involvement. Congressman Clay Higgins directly questioned FBI Director Christopher Wray about whether the FBI had undercover agents among the protesters, particularly inside the Capitol. Higgins asserts that evidence suggests FBI assets were present, potentially instigating actions that led to the chaos. He believes there were over 200 FBI agents involved, manipulating the situation to entrap Trump supporters. Higgins emphasizes the need for transparency and calls for the release of all digital evidence from January 6th to the public, asserting that the American people deserve to know the truth about what transpired. He expresses concern over the implications of government actions and the need for accountability within federal agencies.
Full Transcript
Speaker 0: It has been exactly 3 years since January 6th, the events of January 6th. The racist insurrection that shocked this nation to its core, more profoundly than anything since Pearl Harbor plus the civil war. And it has taken a while, honestly, even for people who aren't on the side of the professional liars to realize there's something amiss about what happened that day. Not just the response, the largest law enforcement mobilization in the history of the United States that was obviously disproportionate, because it wasn't the worst riot that year, not even close. But the day itself, there was something about January 6th that didn't feel right, and hovering over that day has remained the question to what extent was it a setup. And we still don't really know, but what's interesting is how few people have asked that entirely legitimate question. One of the very few, really one of the only in the United States Congress, is a member called Clay Higgins from Louisiana. In case you haven't seen this clip, it's worth rewatching. This is from 2022 at Homeland Security Committee hearing where he asked it just directly of the FBI director. Why? Speaker 1: Did the FBI have confidential human sources embedded within the January 6th protesters and on January 6, 2021? Speaker 2: Well, Congressman, as I'm sure you can appreciate, I have to be very careful about what I can say about when Speaker 1: Even now, that's what you told us a few Speaker 2: years ago. Matt finish. About when we do and do not and where we have and have not used confidential human sources. But to the extent that there's a suggestion, for example, that the FBI's confidential human sources or FBI employees in some way instigated or orchestrated January 6th, that's categorically false. Speaker 1: Did you have confidential human sources dressed as Trump supporters inside the capitol on January 6th prior to the doors being open? Speaker 2: Again, I had to be very careful Speaker 1: with what be a no. Can you not tell the American people no? We did not have confidential human sources dressed as Trump supporters positioned inside the capitol. Gentlemen, Pam has expired. You should Speaker 2: not read anything into my decision not to share information Director Ray. Confidential. Speaker 1: Gentleman's time has expired. Speaker 0: What a sleazy, repulsive, little authoritarian liar Chris Wray is. That's obvious when you watch that tape. The sad part is so few tapes like that exist because so few have confronted him directly and asked questions to which the entire country has a right to know the answer like that one. Clay Higgins did that. Congressman from Louisiana Louisiana Lafayette joins us in studio. Congressman, thanks so much for coming up. Speaker 1: Thank you for having me, Tuck. Speaker 0: So that was over a year ago that you asked that question, which is a central question, and you asked it as I think is appropriate without any embarrassment at all on behalf of your constituents and the rest of the country. Are you any closer to the answer now? Speaker 1: Well, we're closer to being in a position where we can reveal the answers that we already have. Much of the evidence that we have compiled from investigative effort over the the course of the last couple of years. Some offices like my own would have operated in silos of investigative endeavor, have now been able to come together now that we have a republican majority and we have access to the to the to the staffs of the appropriate investigative committees. And so I sit on the oversight committee and we republicans run that committee now, therefore we control the staff. So when you can magnify the efforts that individual, members of congress have have have pushed within our own offices. When you can magnify those efforts by the the skill and the numbers of staff from the committees, you you get a lot of evidence reviewed professionally and aligned and assembled into essentially a case file. And in in this case, this is a big file because the the the involvement of of certain actors, and you could say deep state actors within the federal government, to set the stage for, what happened in in j 4, 5, and 6, and and to, entrap thousands of Americans from across the country and lure them into this this set stage on j 4, 5, and 6. The people that were involved in that is is is quite a large web. So, yes, sir. We do have a great deal of evidence compiled, and we are we are gradually, professionally, rolling that evidence out. So you sort Speaker 0: of answered the question right there in larger terms. You just said that elements within the federal government, I assume law enforcement intel and military, and I'm using your words, lured Americans to Washington into what you called a trap. Yes, sir. So that would I mean, that's a shocking and I assume that's a that's a sober conclusion based on the evidence. That's what you're saying. Speaker 1: That's that would be my sober assessment as an investigator, and I'm, you know, I'm quite a I love my country, and and I've I've always been a staunch defender of the thin blue line. And I I would proudly count the FBI amongst that number. They're just like brothers to me. So to find that level of, of conspiratorial corruption at the highest levels of the FBI has been very troubling to me as a man, as a cop, and and yet did you know, you follow the evidence wherever it leads, and Yes. This is what investigators do. So, when I asked Christopher Wray that that question, for instance, I already knew the answer. I had reviewed compelling evidence that the that FBI had assets, human assets, dressed as Trump supporters inside the capitol prior to the doors being open and the masses allowed in. So now I I knew that the FBI was deeply involved. I'd seen evidence even at that time with, that the FBI had embedded themselves into various groups online across the country of Americans who were essentially voicing their their concerns and airing their grievances with each other about COVID oppression. Those Americans were targeted by the FBI, almost universally, Republicans and and, largely Trump supporters, but the FBI worked undercover to infiltrate those conversations and become a significant part of those individual Americans' communications. And when you dig into the evidence that we've we've had revealed through through some criminal cases that I've I've followed and worked with the families of j six political detainees and Americans that have been persecuted for their involvement in in the capital that day. And some of that evidence is shockingly reveals that the the the FBI agents that were operating undercover within the online groups across the country were were the first ones to plant the seeds of of, suggestions of of a more radical occupation of the capital and and they were sort of testing the waters of who amongst that group would would begin acknowledging that, you know, yeah, may maybe we should do that. Maybe we should plan for an occupation like that. But if you look at the the origins of those conversations, it it was started by the the FBI undercover guy that was operating inside the group. And then months later, on January 4th, 5th, 6th, many of those Americans met for the first time in person when they gathered for the massive rally where American patriots assembled to object to to everything that had happened during 2020, the COVID oppression, and the the stunning results of what we believe was a compromised election cycle in November 2020. So Americans gathered at their own capital to to appropriately air grievances and protest at their capital, but embedded amongst their number was an FBI asset that had been working from within their group online for many months. So this was the level of of manipulative effort that the FBI invested into American citizenry and our our assembly online to, and to exercise our rights under the first amendment, to talk to each other about whatever we wanna talk about, including the the the insidious suppressions of COVID that we were suffering across the country. So and our concerns about where the election was going, the whole mail in ballot thing, we could see the stage was being set for a compromised election cycle possibly, and to our horror that's what happened. So FBI had fingerprints on this thing from from many months prior to j 4, 5, and 6. Speaker 0: I wanna go back to something you said in the first sentence, which is you have seen evidence and that's for your questions to Chris Wray that there were FBI assets dressed as Trump supporters within the capital. So that is proof of entrapment because, of course, the federal government could have prevented entry into the capital building. Aren't that many doors. You work there, you know. But they allowed people in on purpose to entrap them. That's what that proves, I think. Does it not? Speaker 1: Well, it's certainly condemning. It's another piece of the of the strategy that the that the government employed to sort of complete the entrapment of Americans that they had had, infiltrated and then prodded and provoked with online with the with the those original seeds planted of of, actions like, you know, what type of gear to wear and and and just in language that incited behavior that could go the wrong way. You know, pushing actions of of legal and legitimate peaceful protest to an edge where where those Americans would likely not have gone had they not been been, you know, encouraged by the FBI plant amongst their number that they didn't know was there. So by the time it was actually j 6 and you had you had, masses of Americans assembled outside the capitol, almost, like, 99.9%, 100% peaceful. On the inside, you had FBI assets dressed as Trump supporters that knew their way around the capitol. Before the doors even open. Before the doors open. Or else how are you gonna get around the capitol? You've been there many times. You need a guide to get from whatever door you go in. It's a labyrinth. It's, yeah, it's it's a maze inside there. So you that's right. So there's no way just Americans, most of which, had never been to the capitol, There's no way they can come in some random door that gets opened and then get their way directly to the to the statuary or the house chamber or the senate chamber. It's just not possible. So the the the FBI assets that were dressed as Trump supporters that were inside the capitol were there, I believe, and evidence indicates that they were there to to specifically waive in the the Trump supporters that had gathered outside the capitol, and the doors open and they were allowed in. And on the inside were were oh, there's some more Trump supporters, but really those were FBI assets, law enforcement assets that knew their way around the capital. And they they waved those guys in, said, come on. Follow us. And they they're the ones that led them on the path directly. Now how do you think of guys? Never been to the capital. Gotta gotta come into the capitol all amped up on on emotion and make his way straight to Nancy Pelosi's office. Come on. It's like I couldn't get to there's no way. I've been there for 7 years. Could come in some random door at the capitol and make my way to Nashville. Everything is unmarked. Speaker 0: I mean, those leadership offices are unmarked. So how would Speaker 1: you know? It's confusing to get around in the capitol. Every American that has been there knows this. When you go on a tour, you bring your family to DC, you go through the capital, you have to have a guide. And and on January 6th, the guides were FBI assets, the law enforcement assets, and they were dressed as Trump supporters. They were positioned inside the capitol prior to the doors being open so that the Americans that had assembled outside the capitol, once allowed in, could be brought directly to the areas where the FBI, the DOJ, and the deep state actors knew would be the most, the most sort of condemning criminal action of of Americans being a lot being inside the capital, protesting without permit and things. So they knew they were setting the stage for arrest and prosecution. It's such a crime. Who who planned this, do you think? I think factions planned this. I wouldn't say who talked about it because that, yeah, I don't think there was one person that that planned this, but I believe the the faction of, establishment liberals within the FBI and the Democrat Party and our intelligence services to to another extent, use their massive powers of surveillance and, investigative, assets that they have across the country, confidential informants, registered informants, non registered informants, voluntary informants. It's a it's a complex web of of FBI assets across the country that can be activated. So if you have authority at some of the highest levels in the FBI, it doesn't take much, the faction within the FBI and within our intelligence services that would coordinate with with the most extreme liberal, factions within a Democrat party that were desperate to keep Trump out of office, and and, you know, worked within the the theater of operations, shall we say, that had been that had been set by the COVID alleged medical emergencies nationwide and millions and millions of mail in ballots. There's no daylight between the the compromised election cycle of November 2020 and ultimately what happened on on on j6. So you ask who planned this? This would be the combination of several several of the most extreme liberal anti Trump, anti America First factions that, that were in positions of authority within our federal law enforcement organizations and the the Democrat party across the country. Speaker 0: Can when you say that there were FBI assets in the crowd, it in the building beforehand and and certainly outside, What's the scale of this? You're talking, like, 10, 20? No. Speaker 1: Based upon some very conservative, but, like, hard investigative effort evaluation of of the numbers from putting together eyewitnesses and and videos and, and affidavit statement, and whistleblower statements, and court records that have been revealed through individual criminal cases where j6 defendants have been prosecuted, and smart attorneys have forced, admissions by the DOJ and the FBI, but those admissions have been sealed within the parameter of that criminal case by protective order by the judge, so they I I can't share them, but I've seen them. So real hard objective and conservative, estimates would would put the number of FBI assets in the crowd outside and working inside at at well over 200. 200? Yeah. Speaker 0: Yeah. So you're in law enforcement. Yeah. Yep. Before you came to congress in the military as well, that seemed that's an extraordinary number. Is it? Speaker 1: Well, no. When you think about the scope of the operation, if you were gonna do this, you would need you would Speaker 0: need that relative to so like when, I don't know, Minneapolis burned down or when Saint John's, the Episcopal Church of Carson, the White House in Lafayette Square was set ablaze, and all the secret service agents were injured. Were there 200 FBI assets in the crowd among Antifa then? Speaker 1: I mean, I I don't know how many undercover agents FBI would have in a situation like that, but but but but j 6 was the was the was the final act prior to arrest and prosecution of of Americans that that were identified as as Trump supporters. I mean, the objective was to destroy the entire MAGA movement, to to forever stain the, the patriotic fervor that was associated with with the America First Mega Movement that had won in 2016 and we believe won again in 2020, and the the establishment on both sides, both major parties were determined to smash that out of existence, not just by defeating Trump, but by destroying the reputations of the movement itself by creating this narrative that was totally false, but was heavily pushed that mega Republicans, America First Republicans are somehow a danger to our republic and a a domestic terror threat, which is a whole another story about what the FBI has done to tagging Americans as, suspected domestic terrorists and and following us as we travel across the country. But the the bottom line is that, 200 as a I I believe is a conservative number. First of all, I think there were there's many more, But a number that I'm comfortable going on record with is that we believe that there were that there were easily 200 FBI undercover assets operating in the crowd, outside the capital, embedded into groups that entered the capital or provoked entry of the capital, and working with FBI assets that would have included Metro Police and Capitol Police that would dress as Trump supporters inside the capital because those were the guys that knew their way around the capitol. So given the scope of the operation and the number of doors where entry was allowed or even encouraged, and the number of people that were actually outside the capital and it entered, we believe 200 is a conservative number. Yes, sir. Speaker 0: It's it's shocking what you're saying. It confirms everyone's worst suspicions about this. It's clearly true. Did you come across any evidence that the the DOD, the military, either Defense Intelligence Agency or National Guard or any part of the US military played any role in this at all? Speaker 1: I have not seen that. I've heard the echoes of that suspicion, and I have I have observed, circumstantial evidence that that has been presented to me, that I've that I have reviewed, but to but to me, it does not rise to the level that I would call actionable from an investigative perspective. So there's some there was some suspicion, but in in in law enforcement the thresholds you're looking across is reasonable suspicion that would prompt a criminal investigation, and then the next threshold is probable cause, which you need for arrest. And then of course in our system, finally, the last threshold is is, is conviction, guilt beyond a reasonable doubt. So the I I did review evidence, Tucker, regarding some suspicions of military involvement in some way, but and I and I've I have reviewed some of that evidence that that had been that I've been able to get my hands on, and, I do not think that the the military was, was involved, not at the level, most certainly not at the level of the of the FBI and, over the course of all of 2020. And then on j 4, 5, and 6, the FBI working in coordination with other law enforcement assets that that they roped into the operation Right. From Metro PD, from DC, and and, the Capitol Police was sort of sort of tricked into participating with the with what the FBI had been staging for, you know, 10 months. Just a bit Speaker 0: if you take 3 steps back, this is not democracy. So the federal agencies serve under the oversight of the elected president, and then on under the oversight of the elected congress. Their elected people get to make the decisions. You have a Republican president. You now have a Republican congress, and neither one can get a straight answer from the FBI. No no one has any control of the FBI. You're describing a government within a government. Speaker 1: Well, in America, a question becomes reasonable men would would would ask when we face a crisis like this, who investigates the investigate? Right. And the answer in America is is congress. So we we have the responsibility to investigate through the appropriate committees, which would we're certainly we're certainly doing that now that we have a republican majority in control of the committees, but we don't have the power to arrest. We can we can give criminal referrals based upon our investigative efforts, but we have to have a DOJ that's receptive to the criminal referrals. So we we've hit quite a a brick wall, have we not? Constitutionally, we we have the responsibility to investigate objectively, and and and anyone that knows me know that's exactly what I'm I'm pursuing. I do not have I'm not trying to create a crime to fit a narrative to blame on the FBI. I'm following the evidence, and and to my horror, it implicates our FBI at the highest level, and a and a a conspiracy within our government at the highest level to create the the, to set the stage for a compromised election cycle in 2020, and then the the the actions that took place on j 4, 5, and 6, and then the the criminal investigation, arrest, and prosecution of Americans that they were able to entrap and document with the thousands of cameras that were operating that day and use that evidence that they knew they were setting up to investigate, arrest, and prosecute the Americans that they had entrapped. So Congress can investigate these things, and we and we are, and we will reveal these horrific truths, and we will have criminal referrals. But until you have a a a president running the executive branch that will clean house at the DOJ and FBI at the highest levels and put American patriots in place that will be that will act upon the criminal referrals that that congress provides, then none of those guys are gonna get arrested because they're not gonna arrest themselves, and we don't have arrest authority. Speaker 0: I'm a little surprised and don't expect to be critical of your colleagues in the Republican conference, but, I mean, they do control the house. Impeachment is a thing. Chris Wray is still the FBI director. I watched Republicans, some of whom I know, cheer the murder of Ashley Babbitt who was unarmed woman less than 55, by Michael Byrd. They were Michael Byrd side, and it I have to say for a lot of Republican voters and I count myself among them. Very clarifying. If you're cheering Ashley Babbitt's murder shooting women now, that's okay because she likes Trump. And the Republicans were like, yeah. I was happy. Like, a lot of them thought that. What the hell? Speaker 1: Yeah. I was and it it made me sick. Me too. You know, I'm there's a a great responsibility when you when you wear a badge in America. I mean, think about it. To be to be the to be the designated servant of your community that has that has the the authority to, to deny the freedom of a fellow American in the land of the free. Like, that's a heavy responsibility. So the the escalation of of force is must be appropriate in order to affect a lawful arrest, and and a a bad a bad shoot is the worst thing that an officer can possibly be involved in in his in his career. It's it's, you know, we it's it's it's the thing of nightmares for for good police officers. So to take what was what was from a law enforcement perspective was clearly a bad shoot because there's some basic rules you just cannot violate. You have to attempt to effect an arrest before you can go to deadly force. There was there was no attempt to arrest Ashley Batman. There were there were officers on the other side of the window she was climbing through. There were officers on the interior side of the window she was climbing through. There was no indication that had been that this had been going on for an hour, and there was there was no reports on the radio or anywhere else of of gunfights. So there was no reason at that point to expect that Ashley Babin or anybody else in the in the crowd was gonna produce a firearm and start firing on police officers. Why? Because it had not happened. So that's part of the totality of circumstance that a police officer is responsible for knowing. We stay in constant communication with our radios. We know what's going on. That officer that that that pulled that trigger would shot a a American woman who was clearly in a in like a physically compromised position climbing through the broken glass of a of a window is not, you know, it's not like she just stepped into the cage in MMA and she was ready to fight. She was climbing through a window draped in a flag. There's police officers on the other side of the window. There's police officers on the interior side of the window. So you have plenty enough officer presence. If you wanna arrest that woman, then by all means, pull it through the window, you know, put flex cuffs on her and throw her in the corner. We'll get to you later, ma'am. We're kinda busy right now. That's what you do. You'd have grabbed that woman and pulled her through the and threw her in the corner, or handed her back to somebody that could pull her back, you know, from that front line right there. So understand that very well, I understand officers have to make split second decisions, but you never you never make a decision to use lethal force unless it's absolutely called for and required, if you're losing a fight attempting to effect an arrest, then then, yeah, if if there's if if the officer's life is in danger and he's all by himself, but there's never should be a circumstance where you just pull the trigger and a woman climbing through a window that's clearly unarmed. There's no evidence of gunplay from the crowd that she's coming from. You got officers on both side of where she is. If you gotta arrest her, then by all means, arrest her. You know, to put flex cups on her and and move on. So, you know, she'd nannle the next person trying to come through the window, but she don't shoot her. So that was a Speaker 0: bad issue. An invest a reveal investigation. Was cheered. Speaker 1: Yep. Why do you think that was? And there's this in there's this insanity that has taken hold in the in the the minds and hearts of many otherwise reasonable American citizens where they did they they hate Trump so much. Like, they're they're so deeply embedded, and they're they've sold their souls to the establishment that when we had an America first president and and he and he, like, stopped the, the military industrial complex forward momentum and and he and he began restoring power to individual members of congress and restoring individual rights and freedoms and sovereignty of the state, and he took away the actions of the cartels and and brought this this real common sense approach to the executive branch and was leading our country in that beautiful direction. This was interfering with the business model of the establishment. So many career politicians on both sides of the aisle, and I, you know, I don't like those guys, man. I'm not one of them. And I I served my country in congress, but, I I don't consider myself a politician by any means. I'm a servant to We The People. Some of these guys, man, they pop out of the womb to be to be politicians. They get groomed their whole life, you know, to be a a career politician. And those are the ones that had this instinctive cheer for something really bad happening to a Trump supporter. You know, they their true color showed in that moment and was an ugly color. Yeah. That's it. Speaker 0: We shouldn't be shooting women, number 1. I couldn't agree more. So where where does this go from here? You have this corpus of information. It sounds like it's definitive. When does the public see the detail, and what's the process after that? Speaker 1: It's a good question. So evidence from criminal investigations by nature is rather secretive, but there is a, a tremendous compilation of data that I think should be made completely available to the public, and that's the digital files from from j 4, 5, and 6. This is where, speaker Mike Johnson can be a champion for for that will be remembered for throughout history as the speaker of the house that fully released unredacted, digital files from j 4, 5, and 6 completely to the American people. And within that data, there is full truth, and and the American people, it is the only staff large enough to, you know, frame by frame, go through 80,000 hours of digital evidence. Nobody has a staff big enough to do that, but we can crowdsource it to the American people. So you ask when will this evidence be released? I'd I've I've been encouraging speaker Johnson, as I did speaker McCarthy, to, my god, man, release this data to the American people. Speaker 0: Why won't why won't they? Speaker 1: I believe speaker Johnson will, but but Mike is a is is quite a skilled constitutionalist attorney himself, and he's a very measured, patient, faithful man. So, I have I extend trust to to speaker Johnson when he says that it's his intention to fully release the the call the j6 tapes, but really it's digital evidence, it's more than it's more than just video evidence, it's it's a lot. You know, radio transcripts, the whole thing. I I believe my speaker Johnson knows that this is a significant, duty that he must he he he must perform for the American people. It's a moment in history where where, you know, I believe our lord and savior has placed him in that in that position of service to the country, and he has a responsibility to to fully release that data. And then the American people will see for themselves what some of us have already learned to our horror to be true. Speaker 0: Congressman Hinggens, thank you very much. Free speech is bigger than any one person or any one organization. Societies are defined by what they will not commit. What we're watching is the total inversion of virtue.
Saved - January 8, 2024 at 11:06 PM

@TuckerCarlson - Tucker Carlson

We don’t need to guess about what happened on January 6th. It was one of the most videotaped events in human history. A new documentary proves that most of what you’ve heard about that day is a lie. https://t.co/924EyuNrKf

Video Transcript AI Summary
The speaker discusses the lack of knowledge surrounding the events of January 6th, claiming that the media and political class have focused on it while suppressing alternative narratives. They argue that despite the extensive footage available, there has been no comprehensive timeline of the day. The speaker suggests that January 6th is being used by both the Democratic and Republican parties to achieve their own goals, such as suppressing the population and preventing Donald Trump from running for president again. They highlight a documentary called "January 6th: A True Timeline" that presents a different perspective on the events, including law enforcement being overwhelmed and claims of being set up. The speaker concludes that the public should watch the documentary and draw their own conclusions.
Full Transcript
Speaker 0: An awful lot has happened to American society into the world over the past 3 years but for our media and political class most of it goes on mentioned because they're talking about something else they're talking about January 6th the most solemn day in American history moment worse than Pearl Harbor worse nine eleven worse than the American Civil War. That's what they're telling us. It's hard to respond to this because even now 3 years later most Americans have no real sense of what happened on January 6th and any attempts to tell them have been suppressed by the big tech companies or shouted down by NBC News and CNN and other news organizations. That's odd if you think about it. Why do most of us have no real idea what happened? There's probably no event in American history that was filmed by more people from more angles than January 6th. And yet until very recently no one had put together a timeline. What happened? People walked of them from the White House to the Capitol, some of them went inside the building and we've been talking about the aftermath. But how did all of that happen? It's on tape. Why haven't we seen it? Well, if you've watched Joe Biden recently, you know why you haven't seen it. Because January 6th is a perfect way for the Democratic Party and by the way the Republican Party for the party that controls this country, the Uniparty, to get what it wants, to suppress the population, to keep Donald Trump from running for president again, and to put its enemies in jail. Just the other day, Joe Biden often derided as senile. Didn't seem senile at all as he gave a speech about January 6th. He seemed like a fascist. Watch this. Watch Joe Biden celebrate the fact that his political opponents were sent to prison and listen as the crowd applauds him bragging about how these Trump voters are rotting in prison. Why? Speaker 1: Since that day, more than 1200 people have been charged for their assault on the Capitol. Nearly 900 of them have been convicted or plead guilty. Collectively to date, they have been sentenced to more than 840 years in prison. What's Trump done? Instead of calling him criminals, he's called these these insurrectionists Patriots. Speaker 0: He's a vicious and cruel and hollow man and really gets the for any of that but it was on display in that speech is on display all around us and the only reason they get away with it is because again most of us have no real idea what actually happened on January 6th, but it is knowable because it was filmed from thousands of angles and that tape still exists to some extent it's still being suppressed by the Republican Speaker of the House by the way who could release it but hasn't memo to the Speaker go ahead and release that video but there's still enough in the public domain that a group filmmakers decided to put it all together. Now there's very little editorial commentary in their new documentary it's called January 6th a true timeline and it should be the most famous film in the United States but it's not we're hoping that changes soon the movie lays out the day's events moment by moment it shows you what actually happened at the Capitol from video that they did not shoot but collected once again from the public domain in some cases is from liberal journalists who are on the scene. And they discovered a lot. For example at 224 while crowds outside the capital were still going growing the president then president president Trump tweeted this the USA demands the truth that's a very famous tweet the January 6th special commission, the fake committee of liars who, quote, investigated January 6th, made reference to that tweet repeatedly. They claimed it was the reason that protesters breached the capital. But that's a lie, like so much of what they said. Video from that day collected in this documentary tells a very different story. At the moment that Trump tweeted that, Metro police law enforcement on the scene appeared to have accidentally tear gas themselves and run away from the scene that's what the video shows and that left a path to the capital wide open but assess for yourself here's the video Speaker 2: Our investigation found that immediately after the president's 2:24 PM tweet, the crowds both outside the capital And inside the capital surged. Speaker 3: What the January 6th committee failed to mention was that it was officers misusing and CS gas at that same time that led to a surge. Speaker 4: Hey, Rich. Put it up the step. Speaker 3: DC MPD officer, Cowry, at the urging of officer Thao, misfires a CS gas canister that eventually forces police to fall back and lose their position. As officers on the West Plaza, unequipped with gas masks, Struggle breathing. The plume of CS gas can be seen from the overhead camera on the lower right corner of your screen. It blows over the entire area of the West Plaza that the police had secured for nearly an hour. Within 3 minutes of the officer CS gas misfire, the police line on the West Plaza entirely collapses. Speaker 0: So we now know that there were more than 200 plainclothes federal informants in the crowd. Some of them were already inside the capital before it was breached before law enforcement opened the doors for the protesters in some cases they were already inside so you can draw your own conclusions from that. But we also know that a lot of law enforcement on the ground, those were local DC cops, Metropolitan PD you'd saw on that tape, and some of the Capitol Police had nothing to do with any kind of setup. In fact, they were the victims of it. As you could see in that clip, law enforcement on the scene were completely overwhelmed and the body Kim, video shot throughout the day shows that. You see cops repeatedly telling each other that leadership has failed them and that's true. And that they've been quote, set up. Watch this. Speaker 3: At 2:33 PM, a frustrated police officer can be heard venting about being, In his words, set up. Speaker 4: They set up up. That's what they did. They set up they set up 64. Absolutely. And then they asked No. For 2 hours later, they set us up. They needed everybody by the way. No. By the way, they set us for pizza. No. We ain't got it. We're doing we put away here with some Speaker 3: At the same time, police officers discuss being unprepared for what they encountered. Speaker 4: I didn't know we are coming up for this. I wanna make sure we all had our I didn't realize how bad I they set us up to fail. Hey, Dave. There was no way we were winning that. And you've now you got at least 4 platoons that are just gassed out? Yeah. Literally. Because us, 54 doesn't have masks. Yeah. Well, remember, we're supposed to be rapid response just to buy time for the party to use to come. They didn't come. They didn't ask for. Speaker 0: Yeah. Those aren't racist insurrections. Those are cops and they know exactly what happened. They got set up and so did a lot of people that day. It wasn't like federal authorities didn't know there was gonna be a big demonstration. They knew very well. They've been talking about it for weeks. It's not a guess it's proven it's a fact so they knew what was up they've been set up now one of the protesters you may recognize from that day is a man called Jacob Chansley often called the media the QAnon Shaman he's the guy with a painted face and horns now the media repeatedly told us that he and Ashlee Babbit the military veteran who was murdered that day the unarmed woman who was shot to death by Michael Byrd that he was a threat to public safety and completely out of control. But, of course, the tape shows just the opposite as does this documentary. When Metro PD made their way to the senate floor and asked Chansley to leave, Chansley complied immediately. He thanked officers and said, quote, god bless you as he left. Watch this. Speaker 4: Let's go. Let's go. Thank you. Thank you, officer. Speaker 0: Thank you for your patience. We really appreciate it. Thank you for your patience. We love you. God bless you. That's what they said to the cops. Right these are the racist insurrection. Jacob Chansley did a hard time in prison but there he is telling cops he loves them as he walks peacefully unarmed out of the Senate chamber. So you may have concluded correctly that virtually everything you have heard he screamed at you for 3 years about January 6th is a lie and this tape proves it it's an hour long it is well worth your time we hope every American watches it and draws the obvious conclusion which is that our leadership class is poisonous power mad and dangerous they're the dangerous ones not the people who showed up at the Capitol to protest the theft of their democratic election the people who set it up in the 1st place joining us now is David Summerall. He's one of the producers of this documentary and we're very glad to have him join us. David thanks so much for coming on. So you've been involved in, in trying to figure out what happened that day for the last 3 years and you did this amazing public service for the rest of us by putting together this documentary. Tell us some of the things that you learned from this. Speaker 5: Well, I think it's the things we didn't learn from anybody else. The select committee had every opportunity with all the evidence put a, you know, documentary out that showed what happened that day. And it and it's been interesting working with families, with the lawyers, you know, all the defendants that we can find that we can try to help and, go through this footage to find that their stories are all true that they tell. You know, If you notice, nobody's been charged by the FBI for lying about what they witnessed on January 6th, which I think is a big point. But the the discovery in this video I think the public really needs to see and that's why they've kept it hidden and dangled it like a carrot over the public for so long for 3 years when it tells a different story and the hostages you know they deserve to be released there there's no reason to keep people that were peaceful You know, guys like Chansley, like you said, you know, god bless you. And then they put him in prison. So I don't understand, you know, why the public Didn't understand more about it other than they couldn't see it. And I hope they are properly outraged from this film.
Saved - January 22, 2024 at 8:40 PM

@RealAlexJones - Alex Jones

BREAKING: New Jan. 6th Pipe Bomb Information Released By Darren Beattie https://t.co/fHU1Voo6sk

Video Transcript AI Summary
Kamala Harris, then VP-elect, was secretly in the DNC building on January 6th, but kept it hidden until recently. The Secret Service, responsible for her protection, showed bizarre behavior when a pipe bomb was discovered near their vehicles. They did not react or evacuate the area, even allowing children to walk near the bomb. The timing of the bomb's discovery coincided with the initial breach on the Capitol by the Peace Monument. This suggests coordination and raises questions about the true intentions behind the pipe bomb incident. The full truth is yet to be revealed, but it is clear that there is a cover-up and efforts to control the narrative. The story is expected to unravel in the coming months, possibly with the help of whistleblowers.
Full Transcript
Speaker 0: Now this is a secret service detail that's exhibiting such bizarre behavior. Now why is the secret service there in the first place? Well, as I mentioned, Kamala Harris, who was then VP elect, was in the DNC building. Here's something crazy, Alex, and I know you know this, but it's really important to emphasize. This is gonna be a big part of how this all blows up in their face. Kamala Harris kept it secret that she was in the DNC building on January 6th. She covered that up for almost a year before it leaked, and still she hasn't acknowledged it. Now think about this. Kamala Harris is one of the most politically opportunistic creatures on this planet. Why on earth would Kamala Harris forego the opportunity to milk politically the fact that she was within a hair's width of losing her life to this ostensible MAGA hyphen Speaker 1: Stop right there. We're gonna go back to this, but let me just add context to back you up. How many Democrats like AOC and others got caught lying saying they were in the capital and were scared and almost got killed in favor of their lives when they were in office buildings down the road? So here she is with an actual pipe bomb right up at the window where she's at, and they don't want this out for some reason. That is another big thing here that doesn't make sense. Speaker 0: It's it's simply inexplicable. It does not lend itself to an innocent explanation. Think furthermore, you know, you've you've made a big deal about this and rightly so. Think about Joe Biden's big speech on the 3rd anniversary, January 6th. Imagine him foregoing the opportunity to mention that his vice president almost lost her life to the pipe bomb. Why would he neglect to mention that? While other networks lie to you about what's happening now, Infowars tells you the truth about what's happening info wars.comforward/doke. Speaker 1: Alright. Next hour, I'm gonna plunge into the globalist making more announcements about all the food and commodities they're gonna cut off, including coffee to save the planet. We got the big news, obviously, on the New Hampshire primary coming up tomorrow. We've got massive military news and so much more. And I'm gonna get more into the globalist in their own publications saying, we're done. We're being destroyed. Everyone hates us. Oh, you haven't figured it out yet that I've seen videos on Instagram with 40,000,000 views. You got 100 of thousands of comments, and I can't find one that doesn't hate Klaus Schwab and Bill Gates in the New World Order. Yeah. You guys are screwed. Roger Stone talks about it. You're still here. Everywhere he goes, everybody just loves him. Black, white, Hispanic, old, young. He used to get tons of hate. Same with me. In the last year and a half, Oh, I think I've been yelled at twice. Used to happen every time I went out in public. This is a big deal, folks. And and and world leaders confronting the globalists and saying they're criminals to their faces last week, but they need to gain the world's trust back. Now they're not gonna give up, though. They're gonna stage crises, launch wars. They're trying to launch a race war here in America. They've got the Fed front running around to create this illusion of mask right wing supremacist out there. And somebody who's been all over this probably more than anybody is doctor Darren j Beatty, the, of course, speechwriter, adviser to president Trump, revolver dot news, former professor of political science at Duke University, and he served the 1st Trump White House, probably back in 2nd. And he has been at tip of the spear on January 6th, a lot of the research Tucker Carlson's used and others have used, that's really proven to be very accurate. And now the pipe bomb, we now learn is identical to training pipe bombs. They manipulated the footage. There's a lot here, and we learn more every day since this story really exploded last week, pun intended. So, doctor, thank you for joining us. Please give us the latest on this. Speaker 0: Well, it's great to be back with you and, you know, we've been on this from the beginning, and I commend you for being there with us from the beginning, because now as this story is about to blow up, you know, there's an amazing push to damage control, but I think the regime understands that it can't be entirely contained at this point. There's a whole universe of investigation that we created related to the pipe bomb over the course of years of major groundbreaking reports. But this latest breakthrough comes courtesy of a Capitol Police video. Now there have been a lot of talk about, all the Capitol Police footage and the new speaker had promised to release the full 40000 hours, but initially released something like 90, and there was all this talk about it of, you know, the capital police or the flash bags and this or that. And my attitude toward the release footage has always been, it's very useful in terms of reinforcing our existing understanding that we have footage of the Capitol Police aggravating the crowds and flash bombing the crowds, but we already knew that. There are already footage like that. We have footage of Capitol Police letting people into the capital, scandalous, but we already knew that. There was already footage of that. There's one piece of footage, however, that till recently when largely unnoticed, that comes courtesy of Thomas Massie, which I think amounts to a true breakthrough in the pipe bomb case and the regime is freaking out about, and that is a brief 7 minute clip from the Capitol Police surveillance footage. They were so reluctant to release this, by the way. It took a tremendous amount of pressure, and, ultimately, Kevin McCarthy, under a tremendous amount of pressure, had to force the Capitol Police to release the 7 minute clip. So here it is. And this is the clip that's a subject of a mega viral Fred, and that I contextualize in a really bombshell piece on revolver.news. And so I'll walk your audience through it a little bit. So it starts out and I see you guys are a little bit ahead of me on the b roll. So I don't know if you can you can start from the beginning if you Speaker 1: want to beginning in a minute, but explain to people why this is so big. And, again, the response of the panic shows you where there's smoke, there's fire just like they would try to sue anybody. We talk about Seth Rich, and now we know there was a cover up, in that. So so they are very afraid of this just like we saw Oh, around Ray Speaker 0: Epps. Absolutely. And, I mean, I've always said based on our research, there's the, you know, 2 smoking guns of the Fed's erection. One is Ray Epps, the other is the pipe bomb. And incidentally, these two stories as the pipe bomb story unfolds and unravels with finality, the Ray Epps story and the pipeline story will converge. Perhaps not necessarily with Ray Epps himself, but the story of that first, that initial attack on the west perimeter of the capital by the peace monument at 12:53, that story will converge with the pipe bomb story because one of the smoking guns of the pipe bomb story, which we've reported on extensively for years, is the remarkably coincidental timing of the pipe bombs' discovery. The first pipe bomb was discovered allegedly by a random pedestrian in a behind a trash can in a back alley by the Capitol Hill Club. It was discovered at 12:40 PM with 20 minutes left on the dial. So set up precisely is to convey the impression it's going off at 1, which is when the certification proceeding was to begin. The person who discovered that first pipe bomb called it in and the Capitol Police began responding at 12:50. That's 3 minutes before the Ray Epps breach on the west perimeter, that iconic footage by the bike rack where Ray Epps is whispering in a guy's ear, that occurred at 12:53, Capitol Police began responding to the first pipe bomb at 12:50, 3 minute time span. And then as we see in this new footage, which is footage of the DNC bomb being discovered, this begins at 1:0:5. So scarcely 15 minutes after that first pipe bomb is discovered, the second one is discovered in a video that I'll explain shortly. But And Speaker 1: and for those that are missing it, for Democrats that are tuned in, I understand they're low IQs. I'm serious. This shows coordination. It's all been coordinated for that time. Speaker 0: Well, Alex, let me tell you this. The timing was so profoundly the synchronicity was so profoundly striking that the publicly endorsed theory by then head of the capital police, Steve Sund, was that the pipe bombs were never intended to go off, but rather they were planted in order to divert resources from that west perimeter attack in the capital, which is a plausible theory, especially because, again, another bombshell report from a long time ago, we showed that there were mechanical timers equipped on these pipe bombs. These pipe bombs were planted the evening before between 8 and 9 PM. Speaker 1: Yeah. Yeah. For those who don't know, an egg an egg timer isn't digital, So it's it only is an hour long. So, again, it's ridiculous. Speaker 0: And due to the National Forensics, explosive report, there's no remote detonation capability. So if the person actually intended for the bomb to go off, it would have gone off at most an hour after being planted. So around 9 PM in a back alley would be a total dud, totally meaningless. So the theory that these were planted as a diversion corresponds with the mechanical timer issue and also most strikingly with the timing of their discovery. What are the chances that these pipe bombs are sitting around, the DNC one sitting around for 17 hours, the RNC one for 16 hours, undiscovered and then magically both are discovered within a 15 minute window of the initial attack on the Capitol and certification proceeding. There's simply no way that that's a coincidence. The only problem is, if these were planted as an intended diversion, how did the pipe bomber count on 1, a random pedestrian and 2, a plain closed Capitol police officer. How did he count on these people discovering the bomb within a 15 minute time frame that corresponds to that attack. Speaker 1: And then you talk about the fusion and and and we'll get to that. Speaker 0: That I will leave as that question I will leave as an exercise for the reader. So now let's go to the video footage that is so explosive and even as a self contained matter in the footage is remarkable. So the footage begins at around 1:0:5, again, scarcely 15 minutes after the first one was discovered, where an individual with a backpack comes into frame and walks over to a Metro PD SUV. Now both the Metro PD SUV and the black SUV are part of Kamala Harris' protection detail in the secret service. Kamala Harris, then VP elect, was in the building, the DNC building at the time. So here's the guy we can watch in real time. He's approaching the vehicle, and he informs both cars, both, secret service details, that there is a pipe bomb within feet of them. Now, the thing that's striking about this is that there's zero concern whatsoever in reaction to this information. Speaker 1: Now the first thing you do is you move the vehicles away. You told everybody in the building, evacuate see this. I Speaker 0: in the clips are on my Twitter thread, so possibly your guys can, like, b roll it along. So here here the guys informing the vehicles. Now it's gonna be over a minute before they even bother getting out of the vehicle after having been informed of these pipe bombs. Notice the people just casually crossing the street in the direction of the pipe bombs, not even warned about it. In fact, most scandalously of all, there's a group of children at around the 109 minute mark at 109, group of children cross that street and walk within feet of the pipe bomb as the secret service people are there, the secret service people are utterly unconcerned for their protectee, Kamala Harris. They're utterly here it is. Utterly unconcerned for the safety of these children who are walking across the street or about to, and utterly concerned for their own safety. They're standing within feet of the bomb right by that bench. So either they are they have no preservation instincts and completely and flagrantly violate protocol that would pertain to the discovery of a bomb as a secret service agent, or somehow they knew that the bomb was fake. And then again, another troubling question emerges, how do they know it's fake? Look at them just casually standing around. Look at this. They're letting this group of children cross the street and walk within feet of where the bomb is. Do these people look at all concerned about the bomb? No. How do they know its fate? How do they know that? Speaker 1: Mean, their body language is like they are walking over to a snow cone stand or something or, to How do they Speaker 0: know that? Now watch this. Shortly after, there's gonna be a Capitol Police officer that comes into the right side of the frame. He's gonna walk right up to it and take a picture. Look at that. It's on the right hand side. Look at this. He's taking a picture, thumbs up, and then he leaves. And then for the first time ever, they actually speed things up, and they get the hell out of there. The first time they ever move. Look at this. They're getting the hell Speaker 1: out of there. Now it's time to be part of the production. Now Speaker 0: and here's the here's the crazy thing. So they're unconcerned for themselves. They're unconcerned for the children. They don't care about Kamala Harris, and yet and this guy walks right up to takes a picture, and I'm informed very reliably by high level source who've seeing this video, this is just a 7 minute video. There's a lot more video that's not out yet. But there's video after this of the authorities using a bomb safe robot to diffuse this pipe bomb. The robot that the bomb that they just let children walk right by, it's safe enough for that, but it's so dangerous they need to use a bomb safe robot. Speaker 1: That's where the theater where the theater comes in. Speaker 0: That's the theater. Now, let let me let me just reinforce some contextual facts on this. Now this is a secret service detail that's exhibiting such bizarre behavior. Now why is the secret service there in the first place? Well, as I mentioned, Kamala Harris, who was then VP elect, was in the DNC building. Here's something crazy, Alex, and I know you know this, but it's really important to emphasize. This is gonna be a big part of how this all blows up in their face. Kamala Harris kept it secret that she was in the DNC building on January 6th. She covered that up for almost a year before it leaked, and still she hasn't acknowledged it. Now think about this. Kamala Harris is one of the most politically opportunistic creatures on this planet. Why on earth would Kamala Harris forego the opportunity to milk politically the fact that she was within a hair's width of losing her life to this ostensible MAGA hype And Speaker 1: stop right there. We're gonna go back to this, but let me just add context to back you up. How many Democrats Like AOC and others got caught lying, saying they were in the capital and were scared and almost got killed to favor their lives when they were in office buildings down the road. So here she is with an actual pipe bomb right up at the window where she's at, and they don't want this out for some reason. That is another big thing here that doesn't make sense. Speaker 0: It's simply inexplicable. It does not lend itself to an innocent explanation. Think furthermore, you know, you've you've made a big deal about this and rightly so, think about Joe Biden's big speech on the 3rd anniversary, January 6th. Imagine him foregoing the opportunity to mention that his vice president almost lost her life to the pipeline. Why would he neglect to mention that? It had the truth has to be so dark and so damning and so embarrassing for them to cover it up when it goes completely against their political interests, and it's not as though they've moved on from January 6th. Biden gave this huge speech on the 3rd Speaker 1: They're running on Trump's the dictator. They're planning a takeover. They're gonna have martial law. They're gonna kill us all. So let me ask you this. Let me ask you this, doctor, and finish up other points on this. But but larger picture, then we move into speculation. What do you think really went on? What was supposed to happen? Why are they always never want to talk about the pipe bomb? I mean, we I guess we're forced to speculate, but clearly something's been covered up here. Speaker 0: Yeah. I mean, it's clear a cover up. I am 100% certain. This is a cover up. This is a phony operation. And, you know, usually these things we get to the point where any reasonable in person digesting information in good faith comes to an obvious conclusion, and I think that's where we are based on our extensive reporting on REEPS. But in this case, in the pipe bomb case, I think we're actually gonna get the smoking gun. We are so close. We are one step removed from actually getting the smoking gun, and then they're gonna be in full damage control mode. Speaker 1: You mean the smoking gun the the smoking gun that they or somebody close to them Planet. I think it's clear they know it. It's all set up. You can see the body language. You get Speaker 0: it. One other thing, Alex. When this happens, I guarantee you, the the feds, the people responsible for this operation, they are scrambling and brainstorming right now to think about how they can maximize damage control. Number 1, by feeding the final steps of this story to more domesticated journalists, so Revolver News doesn't get credit because they don't wanna lend legitimacy to us, because then the next thing we cover can't be ignored and they can't dismiss it as conspiracy theory. So they're gonna try to launder this story to a more friendlier domesticated media source because it's gonna come out in every single Speaker 1: Doc, we only have a few minutes left. So totally agree with you. But but but you don't like to speculate, but we know it's clearly a FBI training device. They clearly Act like it's no big deal for a long time, then suddenly put on a Kabuki theater for everybody. Harris covers up. She's in the building. Somehow, she was gonna be written into the narrative that somebody tried to go after her, but for some reason, they decided not to go with that. So we're having to speculate now. But but but you say it's about to break. A, what is about to break? And then speculating or talking to a lot of smart people that you do, there's also a lot of whistleblowers. Do do we know what the narrative was? Speaker 0: Well, you know, truthfully, I am disinclined to speculate just because we're so close, I wanna stick with what's rock solid, but I can say with absolute confidence, this was an op. They're now at they know that this has reached escape velocity. The thread that I did on this is, like, 11,500,000 views. We did an interview with Tucker concurrently with that with millions of views, that this is an escape velocity. And this latest video is so damning that, you know, at the very least, they have to explain the flagrant violation of protocol for these secret service agents doing nothing while children walk by the bomb and, you know, there there has to be an extra Speaker 1: What they're dreading is congressional hearing just like Ray Epps became a major point. This is about the McConnell experience. Speaker 0: I just wanted I wanna squeeze in one final point in it, because the the core strategy of their damage control is going to be to cordon off the pipe bomb story, which is going to be a huge scandal in its own right, but they're gonna try to cordon that off to prevent it from metastasizing narratively into other dimensions, January 6th, but they cannot do that because of the perfect synchronicity between the timing of the pipe bombs discovery and that initial breach on the capital by the peace monument. When it's exposed that the finally, that the pipe bomb thing was an op, it will necessarily follow. The next domino necessarily is that that peace monument breach was a fed up in precisely the way that we described in our now classic piece called Meet Ray Epps part 2. These two stories are going to converge. Speaker 1: We have a few minutes left. Speaker 0: Anything to do about it. Speaker 1: A few minutes left. When do you expect this? Because it's already been exploding. Again, no pun intended, but it is exploding. Obviously, so much pressure. They have to charge him, then no prison time, when he's there coordinating way more than anybody else and then people did that that that did nothing get 20 years, he's there saying, I Coordinated. Go in, go in, go in, ramming signs into people, and he gets, no jail time. Speaker 0: Absolutely. I mean, they're desperately trying to tie up the loose ends there. And so, you know, when we see it, we say no jail time. They waited, you know, almost 3 years to charge him with anything. And whereas he was one of the first people put on the FBI's most wanted list. So they think that people are so dumb that even if they give him a misdemeanor charge, a phony to mean a wrist slap charge 3 years after January 6th, and don't give him any jail time. They think they're refuting us by saying, oh, look. See, you said he was he was fed because we didn't charge him. Well, he finally got a misdemeanor charge. I guess you guys are debunked. I guess you guys are conspiracy theorists now because, you know, we finally charged you with an issue. Speaker 1: When he got charged that it would be no time spent. Speaker 0: Yeah. Well, but even if there was time Ben, it wouldn't change the fundamental analysis. What's out there is out there. So no matter what they have done, it's like they can't put the toothpaste back in the tube. The Ray Epps story is already out there and there's no explanation for, you know, the full range of things that we've put forth to the public, year for years now. Like, a misdemeanor charge, even if they did give him 6 months, wouldn't have explained it. Speaker 1: We only got about a minute left. Thanks for the time. Revolver dot news. Amazing work. You've been just over the target for years In in in 30, 40 seconds, what what's the time frame? You obviously know a lot more you're not staying on air. I've got some of the same intel coming in, and, obviously, we shouldn't. You'll you'll go too far. Just let it naturally come out, but they're definitely scared of this. Well, what what what's the timetable here? Speaker 0: Well, I couldn't say specifically, but I I suspect this will all unravel in the coming couple months, maybe even sooner. Speaker 1: What I've heard is there's whistleblower is about to come out. Speaker 0: Well, you know, there are a lot of whistleblowers of different varieties, and some have current information, some don't, unfortunately, and sometimes that's malicious. Sometimes it's just, you know, a a well intentioned mistake. And so I think it's really important to severely vet any information coming out because again, as part of the limited hangout as part of the damage control strategy, oftentimes, the government will give sort of fake or half fake information to people or whistle blowers to serve to discredit, the story when certain aspects are shown to be false. So we all need to be very careful and severely evaluate and vet information coming out in the next couple months. Speaker 1: I totally agree. But in summation, of all the different federal operations and operators that, you know, too many to count, they admitted in federal court, too many operators to count while the FBI director tried to deny it. This is gonna be cut and dry at the feds trying to do some nasty stuff, and they're in a lot of trouble, and that's good. Doctor Beatty, thank you so much. Speaker 0: Dave, thank you, Alex. Speaker 1: Alright. We're gonna start the next hour and come back and get into the latest WF videos that are so insane. They're coming for your food. They're coming for your coffee. It's just not just your gas powered stoves and everything else. We're gonna be hitting it all next hour. I'm gonna be open the phones up. Michael Yon joins us, from Panama with the most shocking information yet, they're building giant highways in roads, bridges, huge UN camps. Remember, we're funded by you. So we try to bring you products that really work, that are great so that when you order them, you see how great they are and be and and reorder. Most people that buy our products reorder them. The problem is the majority of viewers and listeners never go to infowarsstore.com and get great products. Books, films, t shirts, highly rated water filtration, systems, the lowest prices. It's all at infowarsstore.com, and we're selling out of our 1st run of this. Methylfolate next level foundational energy with b complex, we don't know what methyl folate does. You need to learn about methyl folate at infowarsstore.com. Next level Foundational Energy got some other big specials as well. And please don't forget our great sponsor, doctor jonesnaturals.com. It's just one word, dr jonesnaturals.com. Doctorjonesnaturals.com has all those great silver products that have not been available for so long at infowarsstore.com are now available exclusively at doctorjonesnaturals.com. No space. Just doctorjonesnaturals.com. More than 50 great products, many of them not available at infowarsstore.com, but it supports the broadcast as well. Doctorjonesnaturalsdot com, and they have the amazing nano silver toothpaste sold out for so long, back in stock, the original super blue non fluoride toothpaste. Well, we've had a lot of amazing successes against the globalist, and it really is because of the listeners of this broadcast. And the fact that we're historically informed and had a lot of great guests, and we really understand the point in history that humanity is right now. So everybody knows where information is hardcore, extremely informative, and game changing. But what about the products at infowarsstore.com? These products, if you'll just try them, you'll be addicted to. I don't sell products that don't work. I don't sell products that aren't game changing. I don't sell products that aren't Very past. Just like our information is the most hardcore armor piercing information out there that cuts right to the lies. These products at infowars.com are the supplement equivalent to our information. So our DNA force plus, our real red pill plus, are 40% off individually right now. They're the new big sale. But Heather, they're an unprecedented 50% off, and both these products are selling out. In fact, we're very close to selling out a DNA force plus, About a week left to that, about 2 weeks left for real red pill. You say, well, then why are you discounting it? Because we need the funds in here right Now so if you wanna experience game changing power to your cells and boosting your entire body, not your immune system, you need to take advantage of this. So here's the combo name I gave it. 2 powerhouse formulas, 1 supercharge Special. So it's the supercharged combo special at infowarsstore.com. It would take me an hour To tell you what's a real red pill plus in DNA force plus. Go to infowarswar.com, research it yourself, and then try it and experience it. Thanks for your support.
Saved - August 15, 2024 at 9:47 PM

@bennyjohnson - Benny Johnson

LEAKED DNC Security Footage IMPLODES FBI January 6th ‘Pipe Bomb’ Lies | This Changes EVERYTHING 🚨 https://t.co/eZxJ27uSLl

Saved - September 21, 2024 at 1:30 AM

@bennyjohnson - Benny Johnson

BOMBSHELL Report EXPOSES January 6th Cover Up by Pelosi and Mark Milley | Trump VINDICATED https://t.co/6bjWSLCSEt

Saved - January 21, 2025 at 2:16 AM

@InvestigateJ6 - InvestigateJ6

BREAKING: NEW JAN 6 FOOTAGE RELEASED FROM THE PRODUCERS OF J6: A TRUE TIMELINE! FOOTAGE SHOWS THE FIRST MOMENTS OF J6 IN PRECISE DETAIL TIMESTAMPED MINUTE BY MINUTE: FROM THE TRUMP ELLIPSE SPEECH TO CROWDS ROAMING THE HALLS OF THE CAPITOL WITH ALL NEW MUST SEE 2025 J6 FOOTAGE!

Video Transcript AI Summary
President Trump, during his speech, announces that the crowd will march to the Capitol to demand Congress count only lawful electors. As the crowd heads east, Vice President Mike Pence arrives at the Capitol for the electoral vote certification. A large group gathers at the Capitol, breaching barricades and clashing with police. Tensions rise as police deploy less lethal munitions against the crowd, which includes warnings that are not captured on video. As Trump finishes his speech, chaos ensues with police struggling to maintain control. A surge in the crowd follows a tweet from Trump criticizing Pence, leading to further confrontations. Misuse of crowd control munitions by police contributes to the situation escalating, resulting in demonstrators entering the Capitol as police lines collapse.
Full Transcript
Speaker 0: 15 minutes into his remarks, president Trump mentions for the first time that after his speech, the crowd will be walking to the Capitol. Speaker 1: Now it is up to congress to confront this egregious assault on our democracy. And after this, we're gonna walk down, and I'll be there with you. We're gonna walk down we're gonna walk down to the capital. We have come to demand that congress do the right thing and only count the electors who have been lawfully slated, lawfully slated. I know that everyone here will soon be marching over to the capitol building to peacefully and patriotically make your voices heard. Speaker 0: At 12:30 PM, the US Capitol Police report, a very large group heading to the capitol from eastbound on Pennsylvania Avenue. Speaker 2: Those are Speaker 3: 50. Those look like we're gonna have an ad hoc march stepping off here. There's a crowd surge heading east. Speaker 0: President Trump won't be finished speaking at the Ellipse for another 40 minutes. At 12:36, vice president Mike Pence arrives at the US Capitol. Vice president's motorcade has just arrived at the Capitol in advance of the joint session. The certification is to begin in 24 minutes at 1 PM EST. As Mike Pence arrives, a crowd is already assembled at the barricades in front of the east plaza of the capitol. Speaker 1: Mike Pence has to agree to send it back. Speaker 0: At 12:45 PM, a DC police camera captures what looks like a wall of people suddenly arriving about a block west of the Capitol. Video footage captured moments later shows demonstrators gathering at Peace Circle where Pennsylvania Avenue terminates as a street and turns into Pennsylvania Walkway, a path that leads directly to the west side of the capitol. Back outside where the crowd has gathered at Peace Circle, there are 2 sets of metal barricades here behind which only 5 capitol police officers can be seen guarding this entrance while every member of congress convenes in the building behind them. Just south of this path, a man in a black ski mask removes a barrier and waves the crowd onto the west lawn of the capitol while members in the crowd shout at him. With this view, you can see the moment that the first set of bike racks come down and the crowd begins to quickly advance on the second set of gates. This would become the first major breach of the capitol grounds and skirmish with capitol police. Moments later, the barricade is pushed directly into the police line. Looking over the west side of the capitol from a security camera on the exterior dome, we can see how quickly the crowd is able to fill the area in front of the west plaza. From this point forward, those in the crowd entering onto Capitol grounds may have seen no indications or warnings that they were in an area that was previously guarded by police and secured by barriers. Inside the Capitol, vice president Mike Pence is entering the house chamber to convene the joint session to certify the electoral votes. President Donald Trump is still speaking to a large crowd at the Ellipse, unaware of the crowd that is already amassed at the Capitol. Back outside on the west plaza, United States Capitol Police Deputy Chief Waldo orders the less lethal team to get into position. Speaker 3: Unit 6, I need less lethal teams that could come up from the upper west stairs and take an elevated position. They're not compliant, climbing, sapling. Let me know when the less lethal teams are in place. Speaker 0: 1 minute later, the less lethal team moves into place. At 1:0:6 PM, deputy chief Waldo orders the less lethal team to launch. Speaker 3: Unit 6, I got a crowd fighting with officer pushing, going for textiles. I have given warnings about chemical munitions. I need to let the lethal team position above me to identify the agitator to start deploying. Bunch. Bunch. Bunch. Speaker 0: US Capitol Police inspector Lloyd is seen signaling officers above on the terrace to open fire on the crowd. Joshua Matthew Black, a 46 year old man from Alabama, is shot with a round that tears open and lodges in his cheek. Safety procedures for using these rounds state not to fire at someone at eye level. Deputy chief Waldo orders a second deployment of munitions. Speaker 3: I need more of the assessor legal teams over here. The indirect firing is not working. They are still, non compliant. We've continued to give, I've continued to give multiple warnings about, typical munitions being released. They are not dispersing. Speaker 0: Although Chief Waldo has broadcast over the radio twice that he has given warnings, no video that day captures these warnings. DC law on crowd dispersal procedures states that before any munitions are used against a crowd, officers must issue at least 3 clearly audible and understandable orders to disperse using an amplification system as well as to provide participants reasonable and adequate time to disperse and a clear safe route for dispersal. President Trump is finishing his speech at the Ellipse at 1:12 PM. In a rarely seen split screen view, let's simultaneously see different events happening around the Speaker 1: capitol in real time. So let's walk down Pennsylvania Avenue. I wanna thank you all. God bless you, and God bless America. Thank you all for being here. This is incredible. Thank you very much. Speaker 2: Dallas from Arizona. Speaker 1: Is the objection in writing and signed by a senator? Speaker 0: It is. As representative Paul Gosar and senator Ted Cruz make a challenge on the floor of the house, MPD officer Daniel Thau arrives at the southwest section of the plaza. His body cam shows him and nearby officers spraying demonstrators with an inflammatory agent. From a different officer's body cam, the familiar face of Ray Epps can be seen in the area that the police are trying to control. Back where we can see simultaneous angles, we can see Trump waving to the crowd after his 1 hour and 11 minute speech, the last speech he will give in front of a crowd as president of the United States. Ray Epps is at the front of the police line speaking to officers. Speaker 2: Appreciate that. Speaker 0: At 1:13 PM, officer Thao is frantically calling for more munitions. Speaker 2: Hey, captain. Hey. We need blaster this. What do we got? I can't get We gotta get something, man. Come on. We got it back. Speaker 0: At 1:15 PM, officer Thao crosses the line and engages with demonstrators. As the scuffle ensues, he discharges 2 rounds from his taser, also known as an ECD. After expending all his munitions, officer Thao yells at the officers on the west terrace of the capital above them to start shooting what they have into the crowd. The less lethal team fires into the crowd for a third time. 1:17 PM. A second wave of DC Metropolitan Police officers show up on the east side of the capitol. They are the first to bring in explosive ammunition rounds that they will soon distribute to officers on west plaza. Officer Tara Tindall is crouched on the ground readying CS gas rounds. Commander officer Robert Glover gives the first audible authorization to deploy explosives into the crowd. Speaker 2: Standby. Standby. Standby. Deploy. Speaker 0: Around 1:30 PM on the southwest side of the plaza, officers push the crowd back and are able to establish a police line again. The police will hold this line for about an hour. Speaker 2: Stay modified. Stay modified. Speaker 3: Stay on the floor. 33 k at Bri Street. Speaker 0: At 1:32 PM, an officer laments that chucking grenades into the crowd is just gonna make things worse. Speaker 2: This is gonna make it worse. And it's not. Hold on. Hold on. Hold on. Speaker 0: Moments later, the same officer seems to have changed his mind and is actively searching for munitions to discharge in the crowd. Speaker 2: I'm coming out with smoke. I got the burner no matter what I want. Speaker 0: A burner or hot burning smoke grenade can get extremely hot and become a fire risk. Speaker 2: I need triple chasers. Speaker 0: After not receiving approval to use the triple chaser, officer Thao appears to be reprimanded by another officer for his use of smoke moments earlier. Another captain tells officer Thao to hold on discharging CS gas into the crowd. Speaker 2: Hey. Frank, you got anything else? Speaker 0: Back on the west plaza of the capital, officer Thao receives a Stinger 40 millimeter, 60 caliber rubber balls round and rushes to fire it into the crowd. Speaker 2: Alright. I need a round. Good CF. Speaker 0: 30 seconds later, he's given a baton round. He again heads over to the police line to fire it into the crowd. At 2:18 PM, police body cam picks up a tense conversation among officers where one officer admits that they're hitting innocent people. Speaker 2: And and not only that, we're taking out 1 and 10 of them are getting rain here. It's it's we're multiplying them by hitting them. Speaker 0: At 2:24 PM, president Trump tweets, Mike Pence didn't have the courage to do what should have been done to protect our country and our constitution. Speaker 4: Our investigation found that immediately after the president's 2:24 PM tweet, the crowds both outside the capital and inside the capital surged. Speaker 0: What the January 6th committee failed to mention was that it was officers misusing munitions and CS gas at that same time that led to a surge. Speaker 2: Hey, Rich. Yeah. Speaker 0: At the urging of officer Thao, a DC MPD officer attempts to fire a CS gas canister into the crowd. A short time later, after being gassed out, the police are forced to fall back and they soon lose their position. As officers on the west plaza, unequipped with gas masks, struggle breathing, the plume of CS gas can be seen from the overhead camera on the lower right corner of your screen. It blows over the entire area of the west plaza that the police had secured for nearly an hour. Within 3 minutes of the officer CS gas misfire, the police line on the west plaza entirely collapses. Speaker 2: We got tear gas when we were in the middle of a prayer. We were kneeling down a break. If they'd never thrown the concussion grenades, if they'd never used a pepper spray, this wouldn't happen. It was a peaceful protest. I was standing within 15 feet of the line of officers. They started firing at us before anybody did anything to them. We were not rushing them. There was no advance on them. They just started throwing concussion grenades and pepper spray. Speaker 0: I set up up. That's what Speaker 2: they did. They set up they set up 64. Absolutely. And then they asked that to come in 2 hours later. They set us up. They need everybody right away. No. By the way, they set up a. I'm a bitch. Realize how it could be. We are going to get over the road on the steps of capital right now. We're taking. Okay? If you guys go down there, the tank appliances working very minimally. There's 10,000 to 1. You're gonna lose the steps, and we're getting people hurt like a Speaker 0: Demonstrators are seen entering from the west side of the capital while police officers watch them walk through the doors. Speaker 2: At least 3 mortally wounded, if not 3 dead today. 2 older men by the ambulance and this girl shoving in. No. Excuse me. Hello?
Saved - January 21, 2025 at 11:16 AM

@InvestigateJ6 - InvestigateJ6

@charliekirk11 NEW J6 TIMELINE FOOTAGE RELEASED:

@InvestigateJ6 - InvestigateJ6

BREAKING: NEW JAN 6 FOOTAGE RELEASED FROM THE PRODUCERS OF J6: A TRUE TIMELINE! FOOTAGE SHOWS THE FIRST MOMENTS OF J6 IN PRECISE DETAIL TIMESTAMPED MINUTE BY MINUTE: FROM THE TRUMP ELLIPSE SPEECH TO CROWDS ROAMING THE HALLS OF THE CAPITOL WITH ALL NEW MUST SEE 2025 J6 FOOTAGE!

Video Transcript AI Summary
President Trump announces that after his speech, the crowd will march to the Capitol to demand Congress count only lawful electors. At 12:30 PM, Capitol Police report a large group heading toward the Capitol. By 12:45 PM, demonstrators gather at Peace Circle, where a man removes a barrier, leading to the first breach of the Capitol grounds. As the crowd grows, Vice President Pence enters the Capitol for the electoral vote certification. At 1:06 PM, police begin deploying less lethal munitions against the crowd. Tensions escalate, and by 2:24 PM, Trump tweets criticizing Pence, prompting a surge in the crowd. Misuse of munitions by police leads to chaos, and the police line collapses as demonstrators enter the Capitol.
Full Transcript
Speaker 0: 15 minutes into his remarks, president Trump mentions for the first time that after his speech, the crowd will be walking to the Capitol. Speaker 1: Now it is up to congress to confront this egregious assault on our democracy. And after this, we're gonna walk down, and I'll be there with you. We're gonna walk down we're gonna walk down to the capital. We have come to demand that congress do the right thing and only count the electors who have been lawfully slated, lawfully slated. I know that everyone here will soon be marching over to the capitol building to peacefully and patriotically make your voices heard. Speaker 0: At 12:30 PM, the US Capitol Police report, a very large group heading to the capitol from eastbound on Pennsylvania Avenue. Speaker 2: Those are Speaker 3: 50. Those look like we're gonna have an ad hoc march stepping off here. There's a crowd surge heading east. Speaker 0: President Trump won't be finished speaking at the Ellipse for another 40 minutes. At 12:36, vice president Mike Pence arrives at the US Capitol. Vice president's motorcade has just arrived at the Capitol in advance of the joint session. The certification is to begin in 24 minutes at 1 PM EST. As Mike Pence arrives, a crowd is already assembled at the barricades in front of the east plaza of the capitol. Speaker 1: Mike Pence has to agree to send it back. Speaker 0: At 12:45 PM, a DC police camera captures what looks like a wall of people suddenly arriving about a block west of the Capitol. Video footage captured moments later shows demonstrators gathering at Peace Circle where Pennsylvania Avenue terminates as a street and turns into Pennsylvania Walkway, a path that leads directly to the west side of the capitol. Back outside where the crowd has gathered at Peace Circle, there are 2 sets of metal barricades here behind which only 5 capitol police officers can be seen guarding this entrance while every member of congress convenes in the building behind them. Just south of this path, a man in a black ski mask removes a barrier and waves the crowd onto the west lawn of the capitol while members in the crowd shout at him. With this view, you can see the moment that the first set of bike racks come down and the crowd begins to quickly advance on the second set of gates. This would become the first major breach of the capitol grounds and skirmish with capitol police. Moments later, the barricade is pushed directly into the police line. Looking over the west side of the capitol from a security camera on the exterior dome, we can see how quickly the crowd is able to fill the area in front of the west plaza. From this point forward, those in the crowd entering onto Capitol grounds may have seen no indications or warnings that they were in an area that was previously guarded by police and secured by barriers. Inside the Capitol, vice president Mike Pence is entering the house chamber to convene the joint session to certify the electoral votes. President Donald Trump is still speaking to a large crowd at the Ellipse, unaware of the crowd that is already amassed at the Capitol. Back outside on the west plaza, United States Capitol Police Deputy Chief Waldo orders the less lethal team to get into position. Speaker 3: Unit 6, I need less lethal teams that could come up from the upper west stairs and take an elevated position. They're not compliant, climbing, sapling. Let me know when the less lethal teams are in place. Speaker 0: 1 minute later, the less lethal team moves into place. At 1:0:6 PM, deputy chief Waldo orders the less lethal team to launch. Speaker 3: Unit 6, I got a crowd fighting with officer pushing, going for textiles. I have given warnings about chemical munitions. I need to let the lethal team position above me to identify the agitator to start deploying. Bunch. Bunch. Bunch. Speaker 0: US Capitol Police inspector Lloyd is seen signaling officers above on the terrace to open fire on the crowd. Joshua Matthew Black, a 46 year old man from Alabama, is shot with a round that tears open and lodges in his cheek. Safety procedures for using these rounds state not to fire at someone at eye level. Deputy chief Waldo orders a second deployment of munitions. Speaker 3: I need more of the assessor legal teams over here. The indirect firing is not working. They are still, non compliant. We've continued to give, I've continued to give multiple warnings about, typical munitions being released. They are not dispersing. Speaker 0: Although Chief Waldo has broadcast over the radio twice that he has given warnings, no video that day captures these warnings. DC law on crowd dispersal procedures states that before any munitions are used against a crowd, officers must issue at least 3 clearly audible and understandable orders to disperse using an amplification system as well as to provide participants reasonable and adequate time to disperse and a clear safe route for dispersal. President Trump is finishing his speech at the Ellipse at 1:12 PM. In a rarely seen split screen view, let's simultaneously see different events happening around the Speaker 1: capitol in real time. So let's walk down Pennsylvania Avenue. I wanna thank you all. God bless you, and God bless America. Thank you all for being here. This is incredible. Thank you very much. Speaker 2: Dallas from Arizona. Speaker 1: Is the objection in writing and signed by a senator? Speaker 0: It is. As representative Paul Gosar and senator Ted Cruz make a challenge on the floor of the house, MPD officer Daniel Thau arrives at the southwest section of the plaza. His body cam shows him and nearby officers spraying demonstrators with an inflammatory agent. From a different officer's body cam, the familiar face of Ray Epps can be seen in the area that the police are trying to control. Back where we can see simultaneous angles, we can see Trump waving to the crowd after his 1 hour and 11 minute speech, the last speech he will give in front of a crowd as president of the United States. Ray Epps is at the front of the police line speaking to officers. Speaker 2: Appreciate that. Speaker 0: At 1:13 PM, officer Thao is frantically calling for more munitions. Speaker 2: Hey, captain. Hey. We need blaster this. What do we got? I can't get We gotta get something, man. Come on. We got it back. Speaker 0: At 1:15 PM, officer Thao crosses the line and engages with demonstrators. As the scuffle ensues, he discharges 2 rounds from his taser, also known as an ECD. After expending all his munitions, officer Thao yells at the officers on the west terrace of the capital above them to start shooting what they have into the crowd. The less lethal team fires into the crowd for a third time. 1:17 PM. A second wave of DC Metropolitan Police officers show up on the east side of the capitol. They are the first to bring in explosive ammunition rounds that they will soon distribute to officers on west plaza. Officer Tara Tindall is crouched on the ground readying CS gas rounds. Commander officer Robert Glover gives the first audible authorization to deploy explosives into the crowd. Speaker 2: Standby. Standby. Standby. Deploy. Speaker 0: Around 1:30 PM on the southwest side of the plaza, officers push the crowd back and are able to establish a police line again. The police will hold this line for about an hour. Speaker 2: Stay modified. Stay modified. Speaker 3: Stay on the floor. 33 k at Bri Street. Speaker 0: At 1:32 PM, an officer laments that chucking grenades into the crowd is just gonna make things worse. Speaker 2: This is gonna make it worse. And it's not. Hold on. Hold on. Hold on. Speaker 0: Moments later, the same officer seems to have changed his mind and is actively searching for munitions to discharge in the crowd. Speaker 2: I'm coming out with smoke. I got the burner no matter what I want. Speaker 0: A burner or hot burning smoke grenade can get extremely hot and become a fire risk. Speaker 2: I need triple chasers. Speaker 0: After not receiving approval to use the triple chaser, officer Thao appears to be reprimanded by another officer for his use of smoke moments earlier. Another captain tells officer Thao to hold on discharging CS gas into the crowd. Speaker 2: Hey. Frank, you got anything else? Speaker 0: Back on the west plaza of the capital, officer Thao receives a Stinger 40 millimeter, 60 caliber rubber balls round and rushes to fire it into the crowd. Speaker 2: Alright. I need a round. Good CF. Speaker 0: 30 seconds later, he's given a baton round. He again heads over to the police line to fire it into the crowd. At 2:18 PM, police body cam picks up a tense conversation among officers where one officer admits that they're hitting innocent people. Speaker 2: And and not only that, we're taking out 1 and 10 of them are getting rain here. It's it's we're multiplying them by hitting them. Speaker 0: At 2:24 PM, president Trump tweets, Mike Pence didn't have the courage to do what should have been done to protect our country and our constitution. Speaker 4: Our investigation found that immediately after the president's 2:24 PM tweet, the crowds both outside the capital and inside the capital surged. Speaker 0: What the January 6th committee failed to mention was that it was officers misusing munitions and CS gas at that same time that led to a surge. Speaker 2: Hey, Rich. Yeah. Speaker 0: At the urging of officer Thao, a DC MPD officer attempts to fire a CS gas canister into the crowd. A short time later, after being gassed out, the police are forced to fall back and they soon lose their position. As officers on the west plaza, unequipped with gas masks, struggle breathing, the plume of CS gas can be seen from the overhead camera on the lower right corner of your screen. It blows over the entire area of the west plaza that the police had secured for nearly an hour. Within 3 minutes of the officer CS gas misfire, the police line on the west plaza entirely collapses. Speaker 2: We got tear gas when we were in the middle of a prayer. We were kneeling down a break. If they'd never thrown the concussion grenades, if they'd never used a pepper spray, this wouldn't happen. It was a peaceful protest. I was standing within 15 feet of the line of officers. They started firing at us before anybody did anything to them. We were not rushing them. There was no advance on them. They just started throwing concussion grenades and pepper spray. Speaker 0: I set up up. That's what Speaker 2: they did. They set up they set up 64. Absolutely. And then they asked that to come in 2 hours later. They set us up. They need everybody right away. No. By the way, they set up a. I'm a bitch. Realize how it could be. We are going to get over the road on the steps of capital right now. We're taking. Okay? If you guys go down there, the tank appliances working very minimally. There's 10,000 to 1. You're gonna lose the steps, and we're getting people hurt like a Speaker 0: Demonstrators are seen entering from the west side of the capital while police officers watch them walk through the doors. Speaker 2: At least 3 mortally wounded, if not 3 dead today. 2 older men by the ambulance and this girl shoving in. No. Excuse me. Hello?
Saved - January 21, 2025 at 6:37 AM
reSee.it AI Summary
A new video detailing the events of January 6 has been released, showcasing the timeline from Trump's speech to the crowd's movement in the Capitol. One participant noted that Ray Epps appeared early in the footage but was not mentioned until later. In response, the original poster encouraged viewers to watch the full film, explaining that the clip shared was only a brief excerpt with additional footage included.

@InvestigateJ6 - InvestigateJ6

BREAKING: NEW JAN 6 FOOTAGE RELEASED FROM THE PRODUCERS OF J6: A TRUE TIMELINE! FOOTAGE SHOWS THE FIRST MOMENTS OF J6 IN PRECISE DETAIL TIMESTAMPED MINUTE BY MINUTE: FROM THE TRUMP ELLIPSE SPEECH TO CROWDS ROAMING THE HALLS OF THE CAPITOL WITH ALL NEW MUST SEE 2025 J6 FOOTAGE!

Video Transcript AI Summary
President Trump, during his speech, announces a march to the Capitol to demand Congress count only lawful electors. As the crowd heads to the Capitol, Vice President Mike Pence arrives for the electoral vote certification. A large group gathers at the Capitol, breaching barricades and clashing with police. Tensions escalate as police deploy less lethal munitions, but warnings about their use are not clearly communicated. As Trump finishes his speech, violence erupts, and police struggle to maintain control. A tweet from Trump at 2:24 PM coincides with a surge in the crowd, leading to further chaos. Misuse of gas and munitions by police contributes to the breakdown of their line, allowing demonstrators to enter the Capitol.
Full Transcript
Speaker 0: 15 minutes into his remarks, president Trump mentions for the first time that after his speech, the crowd will be walking to the Capitol. Speaker 1: Now it is up to congress to confront this egregious assault on our democracy. And after this, we're gonna walk down, and I'll be there with you. We're gonna walk down we're gonna walk down to the capital. We have come to demand that congress do the right thing and only count the electors who have been lawfully slated, lawfully slated. I know that everyone here will soon be marching over to the capitol building to peacefully and patriotically make your voices heard. Speaker 0: At 12:30 PM, the US Capitol Police report, a very large group heading to the capitol from eastbound on Pennsylvania Avenue. Speaker 2: Those are Speaker 3: 50. Those look like we're gonna have an ad hoc march stepping off here. There's a crowd surge heading east. Speaker 0: President Trump won't be finished speaking at the Ellipse for another 40 minutes. At 12:36, vice president Mike Pence arrives at the US Capitol. Vice president's motorcade has just arrived at the Capitol in advance of the joint session. The certification is to begin in 24 minutes at 1 PM EST. As Mike Pence arrives, a crowd is already assembled at the barricades in front of the east plaza of the capitol. Speaker 1: Mike Pence has to agree to send it back. Speaker 0: At 12:45 PM, a DC police camera captures what looks like a wall of people suddenly arriving about a block west of the Capitol. Video footage captured moments later shows demonstrators gathering at Peace Circle where Pennsylvania Avenue terminates as a street and turns into Pennsylvania Walkway, a path that leads directly to the west side of the capitol. Back outside where the crowd has gathered at Peace Circle, there are 2 sets of metal barricades here behind which only 5 capitol police officers can be seen guarding this entrance while every member of congress convenes in the building behind them. Just south of this path, a man in a black ski mask removes a barrier and waves the crowd onto the west lawn of the capitol while members in the crowd shout at him. With this view, you can see the moment that the first set of bike racks come down and the crowd begins to quickly advance on the second set of gates. This would become the first major breach of the capitol grounds and skirmish with capitol police. Moments later, the barricade is pushed directly into the police line. Looking over the west side of the capitol from a security camera on the exterior dome, we can see how quickly the crowd is able to fill the area in front of the west plaza. From this point forward, those in the crowd entering onto Capitol grounds may have seen no indications or warnings that they were in an area that was previously guarded by police and secured by barriers. Inside the Capitol, vice president Mike Pence is entering the house chamber to convene the joint session to certify the electoral votes. President Donald Trump is still speaking to a large crowd at the Ellipse, unaware of the crowd that is already amassed at the Capitol. Back outside on the west plaza, United States Capitol Police Deputy Chief Waldo orders the less lethal team to get into position. Speaker 3: Unit 6, I need less lethal teams that could come up from the upper west stairs and take an elevated position. They're not compliant, climbing, sapling. Let me know when the less lethal teams are in place. Speaker 0: 1 minute later, the less lethal team moves into place. At 1:0:6 PM, deputy chief Waldo orders the less lethal team to launch. Speaker 3: Unit 6, I got a crowd fighting with officer pushing, going for textiles. I have given warnings about chemical munitions. I need to let the lethal team position above me to identify the agitator to start deploying. Bunch. Bunch. Bunch. Speaker 0: US Capitol Police inspector Lloyd is seen signaling officers above on the terrace to open fire on the crowd. Joshua Matthew Black, a 46 year old man from Alabama, is shot with a round that tears open and lodges in his cheek. Safety procedures for using these rounds state not to fire at someone at eye level. Deputy chief Waldo orders a second deployment of munitions. Speaker 3: I need more of the assessor legal teams over here. The indirect firing is not working. They are still, non compliant. We've continued to give, I've continued to give multiple warnings about, typical munitions being released. They are not dispersing. Speaker 0: Although Chief Waldo has broadcast over the radio twice that he has given warnings, no video that day captures these warnings. DC law on crowd dispersal procedures states that before any munitions are used against a crowd, officers must issue at least 3 clearly audible and understandable orders to disperse using an amplification system as well as to provide participants reasonable and adequate time to disperse and a clear safe route for dispersal. President Trump is finishing his speech at the Ellipse at 1:12 PM. In a rarely seen split screen view, let's simultaneously see different events happening around the Speaker 1: capitol in real time. So let's walk down Pennsylvania Avenue. I wanna thank you all. God bless you, and God bless America. Thank you all for being here. This is incredible. Thank you very much. Speaker 2: Dallas from Arizona. Speaker 1: Is the objection in writing and signed by a senator? Speaker 0: It is. As representative Paul Gosar and senator Ted Cruz make a challenge on the floor of the house, MPD officer Daniel Thau arrives at the southwest section of the plaza. His body cam shows him and nearby officers spraying demonstrators with an inflammatory agent. From a different officer's body cam, the familiar face of Ray Epps can be seen in the area that the police are trying to control. Back where we can see simultaneous angles, we can see Trump waving to the crowd after his 1 hour and 11 minute speech, the last speech he will give in front of a crowd as president of the United States. Ray Epps is at the front of the police line speaking to officers. Speaker 2: Appreciate that. Speaker 0: At 1:13 PM, officer Thao is frantically calling for more munitions. Speaker 2: Hey, captain. Hey. We need blaster this. What do we got? I can't get We gotta get something, man. Come on. We got it back. Speaker 0: At 1:15 PM, officer Thao crosses the line and engages with demonstrators. As the scuffle ensues, he discharges 2 rounds from his taser, also known as an ECD. After expending all his munitions, officer Thao yells at the officers on the west terrace of the capital above them to start shooting what they have into the crowd. The less lethal team fires into the crowd for a third time. 1:17 PM. A second wave of DC Metropolitan Police officers show up on the east side of the capitol. They are the first to bring in explosive ammunition rounds that they will soon distribute to officers on west plaza. Officer Tara Tindall is crouched on the ground readying CS gas rounds. Commander officer Robert Glover gives the first audible authorization to deploy explosives into the crowd. Speaker 2: Standby. Standby. Standby. Deploy. Speaker 0: Around 1:30 PM on the southwest side of the plaza, officers push the crowd back and are able to establish a police line again. The police will hold this line for about an hour. Speaker 2: Stay modified. Stay modified. Speaker 3: Stay on the floor. 33 k at Bri Street. Speaker 0: At 1:32 PM, an officer laments that chucking grenades into the crowd is just gonna make things worse. Speaker 2: This is gonna make it worse. And it's not. Hold on. Hold on. Hold on. Speaker 0: Moments later, the same officer seems to have changed his mind and is actively searching for munitions to discharge in the crowd. Speaker 2: I'm coming out with smoke. I got the burner no matter what I want. Speaker 0: A burner or hot burning smoke grenade can get extremely hot and become a fire risk. Speaker 2: I need triple chasers. Speaker 0: After not receiving approval to use the triple chaser, officer Thao appears to be reprimanded by another officer for his use of smoke moments earlier. Another captain tells officer Thao to hold on discharging CS gas into the crowd. Speaker 2: Hey. Frank, you got anything else? Speaker 0: Back on the west plaza of the capital, officer Thao receives a Stinger 40 millimeter, 60 caliber rubber balls round and rushes to fire it into the crowd. Speaker 2: Alright. I need a round. Good CF. Speaker 0: 30 seconds later, he's given a baton round. He again heads over to the police line to fire it into the crowd. At 2:18 PM, police body cam picks up a tense conversation among officers where one officer admits that they're hitting innocent people. Speaker 2: And and not only that, we're taking out 1 and 10 of them are getting rain here. It's it's we're multiplying them by hitting them. Speaker 0: At 2:24 PM, president Trump tweets, Mike Pence didn't have the courage to do what should have been done to protect our country and our constitution. Speaker 4: Our investigation found that immediately after the president's 2:24 PM tweet, the crowds both outside the capital and inside the capital surged. Speaker 0: What the January 6th committee failed to mention was that it was officers misusing munitions and CS gas at that same time that led to a surge. Speaker 2: Hey, Rich. Yeah. Speaker 0: At the urging of officer Thao, a DC MPD officer attempts to fire a CS gas canister into the crowd. A short time later, after being gassed out, the police are forced to fall back and they soon lose their position. As officers on the west plaza, unequipped with gas masks, struggle breathing, the plume of CS gas can be seen from the overhead camera on the lower right corner of your screen. It blows over the entire area of the west plaza that the police had secured for nearly an hour. Within 3 minutes of the officer CS gas misfire, the police line on the west plaza entirely collapses. Speaker 2: We got tear gas when we were in the middle of a prayer. We were kneeling down a break. If they'd never thrown the concussion grenades, if they'd never used a pepper spray, this wouldn't happen. It was a peaceful protest. I was standing within 15 feet of the line of officers. They started firing at us before anybody did anything to them. We were not rushing them. There was no advance on them. They just started throwing concussion grenades and pepper spray. Speaker 0: I set up up. That's what Speaker 2: they did. They set up they set up 64. Absolutely. And then they asked that to come in 2 hours later. They set us up. They need everybody right away. No. By the way, they set up a. I'm a bitch. Realize how it could be. We are going to get over the road on the steps of capital right now. We're taking. Okay? If you guys go down there, the tank appliances working very minimally. There's 10,000 to 1. You're gonna lose the steps, and we're getting people hurt like a Speaker 0: Demonstrators are seen entering from the west side of the capital while police officers watch them walk through the doors. Speaker 2: At least 3 mortally wounded, if not 3 dead today. 2 older men by the ambulance and this girl shoving in. No. Excuse me. Hello?

@Amy31129057 - QuestionIt

@InvestigateJ6 Ray Epps was early in the video at 2:38, yet no mention of him until the 7:01 minute mark..... ??

@InvestigateJ6 - InvestigateJ6

@Amy31129057 Watch the full film. This is a short clip with additional new footage added.

@InvestigateJ6 - InvestigateJ6

Tucker wants every American to watch this film and learn the truth about January 6. J6: A TRUE TIMELINE @J6TrueTimeline 🇺🇸 watch the footage at open.ink/collections/J6 https://t.co/tsGI4JimT6

Video Transcript AI Summary
The movie details the events of the day at the Capitol, presenting a clear account of what transpired. It should be widely recognized in the United States. For it to gain that recognition, Mike Pence needs to agree to send it back. The situation was orchestrated to lead to failure, but we did not succumb to that outcome. Winning was not an option.
Full Transcript
Speaker 0: The movie lays out the day's events moment by moment. It shows you what actually happened at the Capitol, and it should be the most famous film in the United States. The only way that can happen is if Mike Pence agrees to send it back. They set us up to fail. They didn't. There was no way we were winning that.
Saved - January 20, 2025 at 11:07 PM

@RealAlexJones - Alex Jones

BREAKING: Trump Says Nancy Pelosi May Have Orchestrated January 6 WATCH LIVE https://t.co/8B8Q4Z3IIP https://t.co/bjZ1evl0TC

Video Transcript AI Summary
I gained a new respect for the situation, but much of it was make-believe. I offered Nancy Pelosi 10,000 soldiers for security at the Capitol, which she admitted on tape. She claimed it was her responsibility, yet she rejected the offer. If she had accepted, January 6 might not have happened. She seemed to want the chaos, and now evidence has been destroyed. In other news, there’s a commemorative coin for the battle for the republic 2024, featuring Donald Trump as the 47th president, set to be inaugurated on January 20, 2025. Get your coin now at the altshowstore.com.
Full Transcript
Speaker 0: Gained a whole new respect for me, but it was just make believe stuff, and there were a lot of make believe stories made up. So rather than suffer the wrath, like the story with Nancy Pelosi, I offered to 10,000 soldiers. She knows it. She admitted it on tape that her daughter made. She's a videographer or whatever you call her, which I'm glad she is. Oh, she can't be in good stead with Nancy. But Nancy said it was my responsibility. As she's leaving the capitol. She said it was and it was. She's in charge of security at the capitol. But I offered them up to 10,000 soldiers, even more. One time I said more, as many as you need. But you needed 4, 500. If 4, 5 you need 10,000. That would be more than the number of people there by lot. But, we offered her 10,000. Think of it. 10,000 soldiers. In other words, j 6 wouldn't be j 6. There would have been no j 6. But, she rebuffed them. She didn't like it. No. She didn't like it. Maybe she wanted that to happen, but she's guilty as hell. And now we would have to go through the process because they destroyed all evidence. They deleted everything. Speaker 1: It is the battle for the republic 2024 commemorative coin on one side, and the other side commemorates the 47th president of the United States, Donald Trump, getting inaugurated on January 20, 2025. Get your coin now at the altshowstore.com.
Saved - January 21, 2025 at 6:40 AM

@InvestigateJ6 - InvestigateJ6

@IanCarrollShow Thanks Ian. Can you analyze the TRUE J6 TIMELINE for the world? EVERYTHING THEY TOLD YOU ABOUT J6 WAS A LIE!

@InvestigateJ6 - InvestigateJ6

BREAKING: NEW JAN 6 FOOTAGE RELEASED FROM THE PRODUCERS OF J6: A TRUE TIMELINE! FOOTAGE SHOWS THE FIRST MOMENTS OF J6 IN PRECISE DETAIL TIMESTAMPED MINUTE BY MINUTE: FROM THE TRUMP ELLIPSE SPEECH TO CROWDS ROAMING THE HALLS OF THE CAPITOL WITH ALL NEW MUST SEE 2025 J6 FOOTAGE!

Video Transcript AI Summary
President Trump announces to the crowd that they will walk to the Capitol to demand Congress count only lawful electors. As the crowd heads toward the Capitol, Vice President Mike Pence arrives for the electoral vote certification. A large group gathers at the Capitol, breaching barricades and clashing with police. Inside, Pence convenes the session while Trump continues his speech. Tensions escalate as police deploy less lethal munitions against the crowd, leading to injuries. Amidst the chaos, Trump tweets criticizing Pence, prompting a surge in the crowd. Misuse of gas and munitions by police causes them to lose control of the situation, allowing demonstrators to enter the Capitol. The scene becomes increasingly chaotic, with reports of injuries and fatalities among both police and protesters.
Full Transcript
Speaker 0: 15 minutes into his remarks, president Trump mentions for the first time that after his speech, the crowd will be walking to the Capitol. Speaker 1: Now it is up to congress to confront this egregious assault on our democracy. And after this, we're gonna walk down, and I'll be there with you. We're gonna walk down we're gonna walk down to the capital. We have come to demand that congress do the right thing and only count the electors who have been lawfully slated, lawfully slated. I know that everyone here will soon be marching over to the capitol building to peacefully and patriotically make your voices heard. Speaker 0: At 12:30 PM, the US Capitol Police report, a very large group heading to the capitol from eastbound on Pennsylvania Avenue. Speaker 2: Those are Speaker 3: 50. Those look like we're gonna have an ad hoc march stepping off here. There's a crowd surge heading east. Speaker 0: President Trump won't be finished speaking at the Ellipse for another 40 minutes. At 12:36, vice president Mike Pence arrives at the US Capitol. Vice president's motorcade has just arrived at the Capitol in advance of the joint session. The certification is to begin in 24 minutes at 1 PM EST. As Mike Pence arrives, a crowd is already assembled at the barricades in front of the east plaza of the capitol. Speaker 1: Mike Pence has to agree to send it back. Speaker 0: At 12:45 PM, a DC police camera captures what looks like a wall of people suddenly arriving about a block west of the Capitol. Video footage captured moments later shows demonstrators gathering at Peace Circle where Pennsylvania Avenue terminates as a street and turns into Pennsylvania Walkway, a path that leads directly to the west side of the capitol. Back outside where the crowd has gathered at Peace Circle, there are 2 sets of metal barricades here behind which only 5 capitol police officers can be seen guarding this entrance while every member of congress convenes in the building behind them. Just south of this path, a man in a black ski mask removes a barrier and waves the crowd onto the west lawn of the capitol while members in the crowd shout at him. With this view, you can see the moment that the first set of bike racks come down and the crowd begins to quickly advance on the second set of gates. This would become the first major breach of the capitol grounds and skirmish with capitol police. Moments later, the barricade is pushed directly into the police line. Looking over the west side of the capitol from a security camera on the exterior dome, we can see how quickly the crowd is able to fill the area in front of the west plaza. From this point forward, those in the crowd entering onto Capitol grounds may have seen no indications or warnings that they were in an area that was previously guarded by police and secured by barriers. Inside the Capitol, vice president Mike Pence is entering the house chamber to convene the joint session to certify the electoral votes. President Donald Trump is still speaking to a large crowd at the Ellipse, unaware of the crowd that is already amassed at the Capitol. Back outside on the west plaza, United States Capitol Police Deputy Chief Waldo orders the less lethal team to get into position. Speaker 3: Unit 6, I need less lethal teams that could come up from the upper west stairs and take an elevated position. They're not compliant, climbing, sapling. Let me know when the less lethal teams are in place. Speaker 0: 1 minute later, the less lethal team moves into place. At 1:0:6 PM, deputy chief Waldo orders the less lethal team to launch. Speaker 3: Unit 6, I got a crowd fighting with officer pushing, going for textiles. I have given warnings about chemical munitions. I need to let the lethal team position above me to identify the agitator to start deploying. Bunch. Bunch. Bunch. Speaker 0: US Capitol Police inspector Lloyd is seen signaling officers above on the terrace to open fire on the crowd. Joshua Matthew Black, a 46 year old man from Alabama, is shot with a round that tears open and lodges in his cheek. Safety procedures for using these rounds state not to fire at someone at eye level. Deputy chief Waldo orders a second deployment of munitions. Speaker 3: I need more of the assessor legal teams over here. The indirect firing is not working. They are still, non compliant. We've continued to give, I've continued to give multiple warnings about, typical munitions being released. They are not dispersing. Speaker 0: Although Chief Waldo has broadcast over the radio twice that he has given warnings, no video that day captures these warnings. DC law on crowd dispersal procedures states that before any munitions are used against a crowd, officers must issue at least 3 clearly audible and understandable orders to disperse using an amplification system as well as to provide participants reasonable and adequate time to disperse and a clear safe route for dispersal. President Trump is finishing his speech at the Ellipse at 1:12 PM. In a rarely seen split screen view, let's simultaneously see different events happening around the Speaker 1: capitol in real time. So let's walk down Pennsylvania Avenue. I wanna thank you all. God bless you, and God bless America. Thank you all for being here. This is incredible. Thank you very much. Speaker 2: Dallas from Arizona. Speaker 1: Is the objection in writing and signed by a senator? Speaker 0: It is. As representative Paul Gosar and senator Ted Cruz make a challenge on the floor of the house, MPD officer Daniel Thau arrives at the southwest section of the plaza. His body cam shows him and nearby officers spraying demonstrators with an inflammatory agent. From a different officer's body cam, the familiar face of Ray Epps can be seen in the area that the police are trying to control. Back where we can see simultaneous angles, we can see Trump waving to the crowd after his 1 hour and 11 minute speech, the last speech he will give in front of a crowd as president of the United States. Ray Epps is at the front of the police line speaking to officers. Speaker 2: Appreciate that. Speaker 0: At 1:13 PM, officer Thao is frantically calling for more munitions. Speaker 2: Hey, captain. Hey. We need blaster this. What do we got? I can't get We gotta get something, man. Come on. We got it back. Speaker 0: At 1:15 PM, officer Thao crosses the line and engages with demonstrators. As the scuffle ensues, he discharges 2 rounds from his taser, also known as an ECD. After expending all his munitions, officer Thao yells at the officers on the west terrace of the capital above them to start shooting what they have into the crowd. The less lethal team fires into the crowd for a third time. 1:17 PM. A second wave of DC Metropolitan Police officers show up on the east side of the capitol. They are the first to bring in explosive ammunition rounds that they will soon distribute to officers on west plaza. Officer Tara Tindall is crouched on the ground readying CS gas rounds. Commander officer Robert Glover gives the first audible authorization to deploy explosives into the crowd. Speaker 2: Standby. Standby. Standby. Deploy. Speaker 0: Around 1:30 PM on the southwest side of the plaza, officers push the crowd back and are able to establish a police line again. The police will hold this line for about an hour. Speaker 2: Stay modified. Stay modified. Speaker 3: Stay on the floor. 33 k at Bri Street. Speaker 0: At 1:32 PM, an officer laments that chucking grenades into the crowd is just gonna make things worse. Speaker 2: This is gonna make it worse. And it's not. Hold on. Hold on. Hold on. Speaker 0: Moments later, the same officer seems to have changed his mind and is actively searching for munitions to discharge in the crowd. Speaker 2: I'm coming out with smoke. I got the burner no matter what I want. Speaker 0: A burner or hot burning smoke grenade can get extremely hot and become a fire risk. Speaker 2: I need triple chasers. Speaker 0: After not receiving approval to use the triple chaser, officer Thao appears to be reprimanded by another officer for his use of smoke moments earlier. Another captain tells officer Thao to hold on discharging CS gas into the crowd. Speaker 2: Hey. Frank, you got anything else? Speaker 0: Back on the west plaza of the capital, officer Thao receives a Stinger 40 millimeter, 60 caliber rubber balls round and rushes to fire it into the crowd. Speaker 2: Alright. I need a round. Good CF. Speaker 0: 30 seconds later, he's given a baton round. He again heads over to the police line to fire it into the crowd. At 2:18 PM, police body cam picks up a tense conversation among officers where one officer admits that they're hitting innocent people. Speaker 2: And and not only that, we're taking out 1 and 10 of them are getting rain here. It's it's we're multiplying them by hitting them. Speaker 0: At 2:24 PM, president Trump tweets, Mike Pence didn't have the courage to do what should have been done to protect our country and our constitution. Speaker 4: Our investigation found that immediately after the president's 2:24 PM tweet, the crowds both outside the capital and inside the capital surged. Speaker 0: What the January 6th committee failed to mention was that it was officers misusing munitions and CS gas at that same time that led to a surge. Speaker 2: Hey, Rich. Yeah. Speaker 0: At the urging of officer Thao, a DC MPD officer attempts to fire a CS gas canister into the crowd. A short time later, after being gassed out, the police are forced to fall back and they soon lose their position. As officers on the west plaza, unequipped with gas masks, struggle breathing, the plume of CS gas can be seen from the overhead camera on the lower right corner of your screen. It blows over the entire area of the west plaza that the police had secured for nearly an hour. Within 3 minutes of the officer CS gas misfire, the police line on the west plaza entirely collapses. Speaker 2: We got tear gas when we were in the middle of a prayer. We were kneeling down a break. If they'd never thrown the concussion grenades, if they'd never used a pepper spray, this wouldn't happen. It was a peaceful protest. I was standing within 15 feet of the line of officers. They started firing at us before anybody did anything to them. We were not rushing them. There was no advance on them. They just started throwing concussion grenades and pepper spray. Speaker 0: I set up up. That's what Speaker 2: they did. They set up they set up 64. Absolutely. And then they asked that to come in 2 hours later. They set us up. They need everybody right away. No. By the way, they set up a. I'm a bitch. Realize how it could be. We are going to get over the road on the steps of capital right now. We're taking. Okay? If you guys go down there, the tank appliances working very minimally. There's 10,000 to 1. You're gonna lose the steps, and we're getting people hurt like a Speaker 0: Demonstrators are seen entering from the west side of the capital while police officers watch them walk through the doors. Speaker 2: At least 3 mortally wounded, if not 3 dead today. 2 older men by the ambulance and this girl shoving in. No. Excuse me. Hello?
Saved - June 18, 2025 at 2:04 AM

@TheEXECUTlONER_ - 👉M-Û-R-Č-H👈

New footage of Nancy Pelosi and her reactions to January 6th. It was a setup from the beginning. https://t.co/sEgY3iqVjt

Video Transcript AI Summary
Following an armed insurrection, the speaker calls for the resignation of the Capitol Police chief but wants the focus to remain on the President. There will be an after-action review, but the speaker does not want the review to be on par with the insurrection and impeachment. Schumer is reportedly going to fire the Senate Sergeant at Arms. The speaker states that they can pull the card out for Q&A if Audrey finishes the card. They can say they will call for something, but they don't know because they don't have all the blue dogs with them on this subject. Someone mentions that a person briefed on a plan with numbers and stakeholders signed off on it. Another person says that in a conversation, someone was very transparent about underestimating the crowd size and the president's influence. The speaker asks if they will stay there all day or until the National Guard arrives.
Full Transcript
Speaker 0: Who's that? Who Speaker 1: didn't? Who are they talking about? The police. No sense of Speaker 2: urgency. Okay? Wow. Speaker 1: I care what it is. They should have a much more anticipation about the National Speaker 0: Guard. Members Speaker 1: want this impeachment. Yes, Drew. Speaker 0: Aren't going to the opening, ma'am. Speaker 1: Okay. Go ahead. Speaker 0: Alright. I'm gonna put Henry on. Also in the room is Jamie Fleet and Terry and myself. And, obviously, Henry is gonna go through the opening with you. Okay? I'm putting you on speaker. Okay. Speaker 2: Go ahead, Henry. Alright. So I'm just gonna start reading. Yesterday, the president of The United States incited an armed insurrection against America. The gleeful president has committed Speaker 0: the Speaker 2: president. I'm to president president once more. Justice will be done to those who carried out these acts, which were acts of sedition. To those who strove to deter us from our responsibility, you have failed. This assault did not divert the congress from our solemn constitutional purpose, to validate the overwhelming election of Joe Biden and Kamala Harris. Despite the desecration of our capital, we upheld in front of the country and the world the Medmont principle that the people are sovereign, and that they hold the power to choose their leaders through the ballot. And those who fail to present to prevent the assault on our capital must be held to account. That is why I'm calling for the resignation of capital police chief Stevenson. We salute all who sacrificed to keep members, staff, and the capital health community safe. But yesterday was a profound Speaker 1: Wait. Wait a minute. Let let me just say this. I think our focus has to be on the president. Let's not divert ourselves. We're gonna have an after after review. I've never liked Son. I think he should've gone a long time. Speaker 0: Ma'am, the press is very focused on this. Schumer just Schumer it's just now a political breaking news alert that Schumer is gonna fire the senate sergeant at arms. Speaker 1: I I don't even exactly. Speaker 0: Yeah. But it's it's it's immaterial. The heads are rolling is what we're saying. Speaker 1: Well, I I I I don't wanna have it on a par with the insurrection and the impeachment and the rest of that. If they ask, I will respond, but I'm not doing it on a par because the diversionary is active. Speaker 0: Understood. Understood. So we'll can pull this card out. If Audrey's gonna finish this card, we can pull it out for q and a. Speaker 1: Okay. And then we can't say we want p Jim. We can say we'll call for we don't know because we don't have all the blue dogs with us on this subject. Curious. So let's look at those words. Okay. What else you got? Speaker 2: I'm just finishing. Speaker 1: I'm just saying, I have to declare Speaker 3: I think that it was the plan that they briefed on with the numbers, stakeholders that have signed off on it, we had some anxiety sort of third tier rank. He's done some well on some things on the operational side. But he's not strong leader. Speaker 0: Blow You know, Speaker 1: we've been holding on his retirement. I understand that, but he wasn't going before the inauguration. Is that correct? But was he just incapable? I mean, he's a secret service guy. Speaker 3: He he in our conversation with him immediately preceding this meeting, was very transparent about what he thought of the states that he may order, which were underestimating the crowd size and underestimating the president's influence on Saudi Arabia. Speaker 1: Then I will say that, further announcing that They had a recess session. It's a complete victory. McGovern's in the chair now in their proceeding. He's in the chair, mister McGovern. So what's the prospect? We're gonna stay here all day for the rest of our lives or what? We're here until what? Until the National Guard decides to come and and get rid of these people?
View Full Interactive Feed